Ghana Crimes Profile picture
Oct 16 11 tweets 2 min read Twitter logo Read on Twitter
🚨Ghana Govt Spent $5.5M On “unused” Pegasus Spyware

About Pegasus:
Pegasus is a powerful spyware that remotely accesses a mobile phone's contents and location info, generating live feeds using microphone and camera functions, and can install itself without user interaction. Image
Details:

The NSO Group claimed that the Pegasus software was never operational in Ghana but there has been evidence pointing to the contrary as some of its employees confessed to having trained Ghanaian officials on how to use the spyware.
Some Ghanaian activists have also alleged that they, alongside journalists and political opposition, were the targets of the spyware.
With the revelation, the Gov’t of Ghana tried former govt officials for their roles in procuring the spyware, and those found guilty were jailed.
Freedom House group also cited a report which alleged former director of Ghana’s CID, Maame Tiwaa Addo-Danquah, confirmed that the country’s security forces had access to Israeli company Cellebrite’s digital forensics, a tool she stated was used for decrypting encrypted devices.
The Government of Ghana claimed that the hacking tool was a gift from the US, UK, and Interpol.
In the report, the authors noted that Ghana had also acquired spyware technology from two other Israeli companies, Quadream and Mer Group as well as telecommunication interception
technology from an unnamed Swiss company.
The details of these technologies and their costs are shrouded in secrecy.
The report also noted that Ghana is implementing a safe city project, the Integrated National Security Communications Enhancement Network (ALPHA) project which will incorporate the use of facial recognition CCTV cameras.
These CCTV cameras are being installed around Accra,
Ghana’s capital city, its regional capitals, entry ports, and other state infrastructure, and are powered by Chinese company Huawei’s facial recognition AI.

The contract for Phase 2 of the project, to install 8,400 CCTV cameras, was signed in 2018 with Phase 2 of the project
financed with US$200m from the ExportImport Bank of China and US$35.5m from Barclays Bank of Ghana. Other components of the project include the installation of 50 automatic number plate recognition (ANPR) devices at checkpoint sites, expansion of an existing data centre, and
establishment of a backup data centre, a video transmission network, and an intelligent video analysis system. Huawei maintains that its surveillance system is for public safety and improved security but there have been reports from Uganda that the same Huawei AI-powered facial
recognition technology was used to target for arrest hundreds of supporters of opposition politician Bobi Wine. This suggests that the system is liable to abuse.

Reference:

opendocs.ids.ac.uk/opendocs/bitst…

• • •

Missing some Tweet in this thread? You can try to force a refresh
 

Keep Current with Ghana Crimes

Ghana Crimes Profile picture

Stay in touch and get notified when new unrolls are available from this author!

Read all threads

This Thread may be Removed Anytime!

PDF

Twitter may remove this content at anytime! Save it as PDF for later use!

Try unrolling a thread yourself!

how to unroll video
  1. Follow @ThreadReaderApp to mention us!

  2. From a Twitter thread mention us with a keyword "unroll"
@threadreaderapp unroll

Practice here first or read more on our help page!

More from @GhanaCrimes

Oct 17
If Ghana Scholarship secretariat won’t give you scholarship, then these are LIST of Fully Funded Scholarships for International Students in US,UK,CA,AUS,BEL,NED &SWITZ👇👇
📌Karsh International Scholarships at Duke University 🇺🇸 Deadline: 1 Nov 2023/2 Jan 2024 (Annual)

📌British Chevening Scholarships 🇬🇧
Deadline: 7 November 2023
ousf.duke.edu/merit-scholars…
chevening.org
📌Fulbright Foreign Student Program USA 🇺🇸
Deadline: varies, Feb-Oct 2023

📌Commonwealth Master’s Scholarships for Developing Commonwealth Countries
Deadline: 17 Oct 2023 (annual) foreign.fulbrightonline.org/about/flta-pro…
cscuk.fcdo.gov.uk/scholarships/c…
Read 15 tweets
Oct 17
🚨The real story of Dr Beckley, the infamous Ghanaian ritual killer

According to numerous tales, the medical doctor and occultist in Ghana was feared by everyone and reportedly feasted on his victims' flesh and drank their blood. Image
Doctor and occultist Dr Sri Yogi Ram Beckley allegedly abducted schoolchildren and sacrificed them to his gods. When he was first discovered in 1994, he lived in Fadama, Accra, and had a large collection of school uniforms as well as human skulls.
He was charged in court with kidnapping and torturing a third-grade student . Later, the court released him from his sentence.

Dr Beckley was fired in response to the Attorney General’s office’s request to halt the trial.

On June 25, 1994, after the Adjabeng Community Tribunal
Read 12 tweets
Oct 15
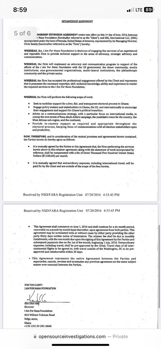
Ghana’s president illegally used public funds to pay his foreign election consultants

Despite Ghanaian laws, Ghana’s Gov’t paid KRL International for services provided for the NPP. Despite US laws, KRL Int. provided services for a foreign political party, while being paid by the Image
Gov’t of a foreign country. The KRL-NPP contract On June the 1st 2016, American PR firm KRL International entered into an agreement with I Am For Nana Foundation, an organization created by Ghana’s New Patriotic Party (NPP) to fund the presidential campaign of Nana Akufo-Addo.
According to the registration form filed with the U.S. Department of Justice (which monitor foreign lobbying), the beneficiary of the services provided by KRL was a “foreign political party”, New Patriotic Party


Image
Image
Image
Image
Read 20 tweets
Oct 14
🚨🚨👀In 2021, Community Development Alliance (CDA-Ghana) and the Commonwealth Foundation accused Gov’t of misusing $2.1bn Covid cash on corrupt deals

The report titled ‘Strengthening COVID-19 Accountability Mechanisms (SCAM)’ and Image
sighted by questions the number of deals by Ghana’s government when the nation recorded its first two cases of Coronavirus in March 2020.Starrfm.com.gh
The report state that investigations conducted revealed that there were several irregular procurements in several of the contracts awarded.
“Contract awarded to four Ghanaian garment manufacturing companies who had been given loans of $10m through the Ghana Exim Bank to produce
Read 12 tweets
Oct 12
On 1st August, Mr. Ablakwa Dropped the kitchen scandal which involves the President cousin,Gabby Otchere-Darko. This Kitchen Scandal is valued at a stupendous GHS187,356,969.55. Image
The Kitchen Scandal reveals insight into how President Akufo-Addo's "Kitchen Cabinet" operates and how destructive they have been to national progress.
And the grand master in the "Kitchen Cabinet" is Mr. Gabriel Asare Otchere-Darko.
Gabby's name has often come up in other multi-million dollar transactions such as PDS, Agyapa and recently Ameri when former Energy Minister, Agyarko accused him of unilaterally renegotiating the infamous Ameri novation agreement which led to the minister's unceremonious exit.
Read 8 tweets

Did Thread Reader help you today?

Support us! We are indie developers!


This site is made by just two indie developers on a laptop doing marketing, support and development! Read more about the story.

Become a Premium Member ($3/month or $30/year) and get exclusive features!

Become Premium

Don't want to be a Premium member but still want to support us?

Make a small donation by buying us coffee ($5) or help with server cost ($10)

Donate via Paypal

Or Donate anonymously using crypto!

Ethereum

0xfe58350B80634f60Fa6Dc149a72b4DFbc17D341E copy

Bitcoin

3ATGMxNzCUFzxpMCHL5sWSt4DVtS8UqXpi copy

Thank you for your support!

Follow Us on Twitter!

:(