Ralf Wittenbrink Profile picture
Nov 25 18 tweets 4 min read Twitter logo Read on Twitter
„Immunitätsschuld" ist ein irreführendes und gefährliches Konzept

#RSV ist so weit verbreitet, dass mehr als 80 Prozent der Kinder in UK bis zu ihrem zweiten Geburtstag infiziert sind - doch die Fallzahlen gingen während der #COVID19-Pandemie drastisch zurück. 🧵

#Coronavirus Image
Maßnahmen wie die Masken sowie die Schließung von Schulen und Kindergärten, die die Ausbreitung von #Covid verlangsamen sollten, bremsten die Infektionsraten ebenfalls aus. Jetzt ist das Virus wieder auf dem Vormarsch, vor allem in den USA, wo die Welle früher als erwartet Image
eintrifft. Dies hat Spekulationen genährt, dass die Maßnahmen zur Eindämmung der Pandemie, einschließlich der Schließungen, eine schädliche "Immunitätsschuld" verursacht haben, bei der die Kinder anfällig bleiben, weil sie nicht wie sonst üblich mit Virusinfektionen in Berührung
kommen. Doch Wissenschaftler haben das Konzept, das auf die individuelle Immunität angewandt wird, als irreführend abgelehnt. Die Diskussion um die Immunitätsschuld zeigt, wie leicht sich eine plausibel klingende Theorie als Fehlinformation verbreiten kann. In diesem Fall birgt
die Fehlinformation die Gefahr, die unbegründete Behauptung zu fördern, dass Infektionen für Kinder klinisch vorteilhaft sind, und das revisionistische Narrativ zu nähren, dass die Covid-Maßnahmen mehr schaden als nutzen. Professor Peter Openshaw, ein Arzt für
Atemwegserkrankungen und Immunologe, der sich am Imperial College London mit #RSV und #Grippe befasst, sagt, dass die derzeitige "hohe und unzeitgemäße" #RSV-Welle vermutlich darauf zurückzuführen ist, dass die Immunität von Kindern, Eltern und Betreuern nachlässt, was den Weg
für eine größere Zahl von Infektionen ebnet. Dies als Immunitätsschuld zu bezeichnen, so Openshaw, suggeriert jedoch fälschlicherweise, "dass Immunität etwas ist, in das wir investieren müssen, und dass wir durch den Schutz vor Infektionen ein Defizit aufbauen, das letztendlich
zurückgezahlt werden muss. Das wäre keine gute Botschaft für die öffentliche Gesundheit: Wir hätten immer noch offene Abwasserkanäle und würden aus choleraverseuchtem Wasser trinken, wenn man diese Idee zu Ende denken würde". Das Hinauszögern der RSV-Infektion könnte sogar von
Vorteil sein, fügt er hinzu, denn das Virus ist für Säuglinge unter sechs Monaten am tödlichsten. Weltweit ist einer von 50 Todesfällen bei Kindern unter fünf Jahren auf #RSV zurückzuführen. Es gibt keinen Beweis dafür, dass eine Person schlechter dran ist, wenn sie eine frühere
Infektion vermieden hat. "Die Immunitätsschuld als individuelles Konzept ist in der Immunologie nicht anerkannt", sagt Deborah Dunn-Walters, Professorin für Immunologie an der Universität Surrey. "Das Immunsystem wird nicht als Muskel betrachtet, der ständig beansprucht werden
muss, um in Form zu bleiben; eher ist das Gegenteil der Fall. Der ständige Ansturm von Krankheitserregern wie dem Cytomegalovirus führe dazu, dass das Immunsystem mit zunehmendem Alter nicht mehr richtig funktioniere und erschlaffe. Sie weist die Vorstellung zurück, dass
Infektionen irgendwie gut für die Gesundheit sind, und sagt, dass Impfungen ein viel sichereres Mittel sind, um die Immunität der Bevölkerung aufzubauen. Stephen Griffin, Virologe an der Universität Leeds, ist der Ansicht, dass die pädiatrischen Pandemie-Impfstoffe zu wenig
genutzt wurden. Er meint, dass wir immer noch zu selbstgefällig mit Atemwegserkrankungen bei Kindern umgehen. Zwar gibt es keinen Impfstoff gegen RSV, räumt Griffin ein, aber "wir können sowohl gegen Grippe als auch gegen Covid impfen - und tun es trotzdem nicht". Eine Änderung
dieser Norm, so Griffin, könnte dazu beitragen, die schlimmsten Auswirkungen einer für diesen Winter vorhergesagten "Dreifach-Emidemie" abzuwenden. Die britische Gesundheitsbehörde rät, dass Kinder, die für eine Grippeimpfung in Frage kommen, diese auch erhalten sollten.
Die Immunitätsschuld-Theorie findet großen Anklang, weil sie auf so viele Arten angewendet werden kann. Sie scheint die derzeitige Welle von Atemwegserkrankungen intuitiv zu erklären. Sie ist attraktiv für diejenigen, die Krankheiten bei Kindern herunterspielen wollen, und für
diejenigen, die Infektionen gegenüber Impfungen bevorzugen. Sie liefert eine nachträgliche Rechtfertigung für die Ablehnung von Maßnahmen wie Masken, obwohl es Beweise dafür gibt, dass solche Maßnahmen #Covid eingedämmt und die #Grippe praktisch vertrieben haben.
Die Immunitätsschuld spielt auch der Vorstellung in die Hände, dass man die Ebbe und Flut von Kinderkrankheiten am besten der Natur überlässt - bis man sich daran erinnert, dass der gesamte Impfplan für Kinder darauf abzielt, das Schlimmste der Natur in Schach zu halten.
Der Link zum Artikel:



#COVID19 #SARSCoV2 #MaskUp #ImpfenSchuetzt #Coronavirus #LongCovid #CleanAir #RSV #Influenza #ImmunityDebtft.com/content/064000…

• • •

Missing some Tweet in this thread? You can try to force a refresh
 

Keep Current with Ralf Wittenbrink

Ralf Wittenbrink Profile picture

Stay in touch and get notified when new unrolls are available from this author!

Read all threads

This Thread may be Removed Anytime!

PDF

Twitter may remove this content at anytime! Save it as PDF for later use!

Try unrolling a thread yourself!

how to unroll video
  1. Follow @ThreadReaderApp to mention us!

  2. From a Twitter thread mention us with a keyword "unroll"
@threadreaderapp unroll

Practice here first or read more on our help page!

More from @RWittenbrink

Nov 23
Neuartiges MRT zeigt Gehirnveränderungen bei Patienten mit #LongCovid

„Interessanterweise stellten wir nicht nur weit verbreitete mikrostrukturelle Veränderungen bei Patienten mit #LongCovid fest, sondern auch bei Patienten, die nach #COVID19 nicht beeinträchtigt waren.“ Image
Menschen, die an #LongCovid erkrankt sind, weisen andere Muster von Veränderungen im Gehirn auf als vollständig genesene #COVID19-Patienten. Dies geht aus Forschungsergebnissen hervor, die nächste Woche auf der Jahrestagung der Radiological Society of North America (RSNA)
vorgestellt werden. „Nach unserem besten Wissen ist dies die erste Studie, in der Patienten mit Long COVID sowohl mit einer Gruppe ohne Vorgeschichte von COVID-19 als auch mit einer Gruppe verglichen werden, die eine COVID-19-Infektion durchgemacht hat, aber subjektiv
Read 15 tweets
Nov 21
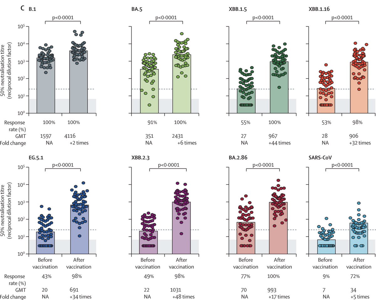
Humorale und zelluläre Immunantworten nach BioNTech XBB.1.5-Impfung

Der neue, aktualisierte BNT162b2 XBB.1.5-Impfstoff steigerte die Anti-Spike (Anti-S) IgG-Antikörper bei allen Geimpften stark und löste starke neutralisierende Reaktionen gegen …

#COVID19 #ImpfenSchuetzt Image
frühere und aktuelle #SARSCoV2-Linien aus, einschließlich EG.5.1 und BA.2.86. Insgesamt führte die #Omicron XBB.1.5-Impfung zu einem signifikanten Anstieg des Anti-S-IgG um das 2-9-fache und des Omicron Anti-S-IgG um das 3-6-fache (Abbildung A). Image
„Wir beobachteten einen signifikanten Anstieg der Neutralisierung für die heutigen SARS-CoV-2-Linien, wobei die Neutralisierung von XBB.1.5, XBB.1.16, EG.5.1, XBB.2.3 und BA.2.86 im Median um das 44-fache, 32-fache, 34-fache, 48-fache bzw. 17-fache anstieg.“ (Abbildung C) Image
Read 7 tweets
Nov 19
Nach „mildem“ #COVID19 bei jungen Menschen: Dysregulationen der Hämostase, des Stoffwechsels, der Immunantwort und der Angiogenese bei postakutem #COVID19-Syndrom

Patienten mit Postakutem COVID-19 (PACS) weisen im Vergleich zu gesunden Kontrollpersonen…

#LongCovid #Coronavirus
Image
deutlich veränderte Plasmaprotein-, Zytokin- und Lipidprofile auf. Insbesondere Veränderungen der Hämostase, der T-Zell-Proliferation, der Apoptose und des Aminosäurestoffwechsels sind möglicherweise an der Entstehung und Aufrechterhaltung von Symptomen bei PACS beteiligt. Image
Interessanterweise unterscheidet sich das Plasmaprofil von PACS-Patienten mit und ohne POTS nicht wesentlich, was darauf hindeutet, dass PACS unabhängig vom Vorhandensein von POTS mit Veränderungen des Plasmaprofils verbunden ist. Möglicherweise sind andere pathophysiologische Image
Read 6 tweets
Nov 19
Die Weigerung von Ärzten, zum Schutz vulnerabler Patienten Masken zu tragen - ein ethisches Dilemma für die Ärzteschaft

„Ärzte lehnen seit jeher den Gedanken ab, dass sie selbst ein Gesundheitsrisiko für ihre Patienten darstellen könnten. Als der …

#COVID19 #MaskUp #CleanAir Image
ungarische Arzt Ignaz Semmelweis ursprünglich das Händewaschen als Maßnahme zur Senkung des Kindbettfiebers vorschlug, wurde er verspottet und aus dem Berufsstand geächtet. Auch bei der Einführung neuer Praktiken zum Schutz nicht nur der Patienten, sondern auch der Ärzte selbst Image
vor Infektionen inmitten der AIDS-Epidemie zögerten die Ärzte in der Vergangenheit. Die Patienten sind diejenigen, die den Preis für die ablehnende Haltung der Ärzte gegenüber Änderungen in der Praxis zahlen, sei es beim Händewaschen oder bei der Verweigerung der Behandlung als Image
Read 9 tweets
Nov 16
Ansteckungen mit #Corona: Simulation zeigt, warum sich gerade viele infizieren

In den vergangenen Wochen haben sich sehr viele Menschen erneut mit #SARSCoV2 infiziert. Die Gruppe von Simulationsforschern um Kai Nagel von der TU Berlin hat nun eine mögliche Erklärung.

#COVID19 Image
Kai Nagel ist Professor für Verkehrssystemplanung an der Technischen Universität Berlin. Seit Beginn der Pandemie modelliert er die Verbreitung des #Coronavirus. Bereits Mitte Februar 2020 begann seine Arbeitsgruppe mit der Programmierung eines Simulationsmodells für die Image
Virusausbreitung. Es koppelt die Virusausbreitung an die reale Personenmobilität auf der Grundlage von Mobilfunkdaten und lässt daher Aussagen über Beiträge einzelner gesellschaftlicher Bereiche und Aktivitätstypen für das Infektionsgeschehen zu. Die Forscher berichten Ihre Image
Read 6 tweets
Nov 16
Aktueller MODUS-COVID Bericht:
Analyse des zeitlichen Abstands zwischen #COVID19 Wellen und Szenarien für den Winter 2023/2024 - maximale Inzidenz über 5000

Die Modellierer an der TU-Berlin prognostizieren in ihrem Modell einen Höhepunkt der aktuellen Welle mit …

#Coronavirus Image
mit einer maximalen Inzidenz von über 5000 Neuansteckungen pro Woche und 100.000 Einwohnern.

„Indem wir die Abnahme der Immunität im Modell verlangsamen, ergeben sich in den Simulationen höhere Infektionszahlen im Herbst und Winter 2023/24 - im Vergleich zu unseren früheren Image
Simulationen - und eine mildere Welle im darauffolgenden Frühjahr. Auf Grundlage unseres neuen Modells betrachten und simulieren wir vier Szenarien für den Winter 2023/24, die vom Modellierungsnetz für schwere Infektionskrankheiten (MONID) vorgeschlagen wurden. Diese Szenarien
Read 26 tweets

Did Thread Reader help you today?

Support us! We are indie developers!


This site is made by just two indie developers on a laptop doing marketing, support and development! Read more about the story.

Become a Premium Member ($3/month or $30/year) and get exclusive features!

Become Premium

Don't want to be a Premium member but still want to support us?

Make a small donation by buying us coffee ($5) or help with server cost ($10)

Donate via Paypal

Or Donate anonymously using crypto!

Ethereum

0xfe58350B80634f60Fa6Dc149a72b4DFbc17D341E copy

Bitcoin

3ATGMxNzCUFzxpMCHL5sWSt4DVtS8UqXpi copy

Thank you for your support!

Follow Us on Twitter!

:(