🧵🧵
1. Well, the courts are now CLOSED for 2023!
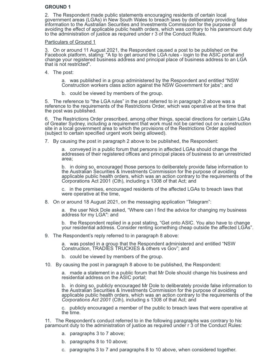
2024 is looking to be a big year in the courts for the Freedom Movement. We're expecting a few judgments/decisions and a number of cases to progress. Here is a list of freedom movement & other cases of interest:
2. Anti-lockdown activist mentioned the other day that one of her priorities for 2024 is court cases - "both offensive & defensive" !!

On the defensive side, she's being prosecuted by Consumer Affairs Victoria for alleged unlawful fundraising.
Image
Image
3. Monica is pleading not guilty to the charges. Her next court date is 22nd January (a mention).
4. On the "offensive side", Monica is suing Victoria Police for alleged unlawful arrest over this incident:
5. After numerous failures to comply w/ court deadlines including vacating the original trial date, it appears Monica *may* be applying to discontinue the proceedings.

A hearing is listed for 23 Jan to hear the application.
6. Still on the "offensive side", Monica has announced she's planning on suing Brett Sutton for the 21 days she spent in custody.

Considering she ELECTED to spend the time in custody, this will certainly be an interesting case...
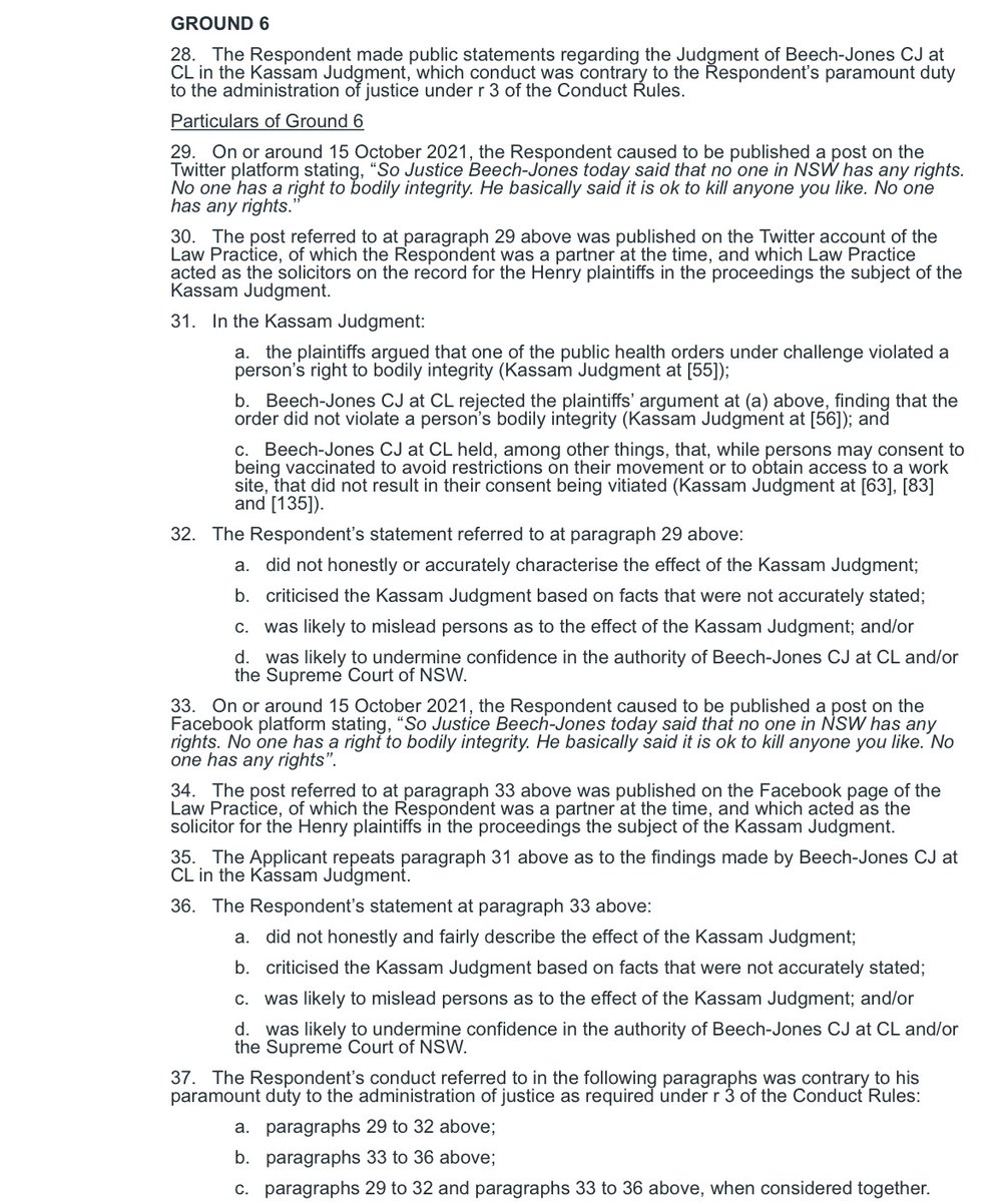
7. The NSW Law Society is seeking disciplinary orders against anti-mandate lawyer Nathan Buckley.

Nathan tried to stop the case progressing but was unsuccessful. The parties return to NCAT in February for a case management hearing. Image
8. Despite the Voice referendum not succeeding, suspended doctor Billy Bay is still trying to challenge its validity!

In 2023 the High Court dismissed his challenge to the Voice as an "abuse of process". He's now trying to appeal that decision... Image
9. The other suspended doctor, Mark Hobart, recently lost his appeal against the Medical Board's decision to suspend his registration. He's now filed an application for special leave to appeal in the High Court.

Like Billy, he loves a High Court challenge! Image
10. Clive Palmer reckons he's going to sue the former chair of ASIC
Image
Image
11. Lawyers behind 2 failed COVID vax challenges took Pfizer & Moderna to court, arguing their vaccines constituted GMOs.

Pfizer & Moderna applied to have the case summarily dismissed on grounds it had no prospects of success.

We're currently awaiting judgment... Image
12. 500+ ppl are part of a COVID vax injury class action against the Cth Govt. They say the decision to approve the vaccine constitutes negligence & malfeasance.

The Govt intends to apply for the case to be dismissed on grounds it's hopeless w/ no prospects of success.
Image
Image
13. Former sports presenter Warren Tredrea is suing Channel 9, claiming the network unfairly dismissed him b/c he refused to get the COVID vaccine.

After a lengthy hearing, the court has reserved its decision. Currently awaiting judgment. Image
14. Then there's suspended lawyer Serene Teffaha's class action against the Victorian Legal Services Board and the Commonwealth Bank...

#WillNeverHappen Image
15. And disendorsed OneNation candidate Rebecca Lloyd's class action against ASIC over their Director ID laws!

16. Outside the freedom movement, there are a few interesting cases too.

Moira Deeming is suing John Pesutto for defamation for allegedly calling her a Nazi sympathiser

You can read her Statement of Claim here:
Image
17. And of course, there's Bruce Lehrmann's defamation lawsuit against the Channel 10 and Lisa Wilkinson.

Judgment expected early 20204

• • •

Missing some Tweet in this thread? You can try to force a refresh
 

Keep Current with Vaxatious Litigant 💉⚖️👨‍⚖️

Vaxatious Litigant 💉⚖️👨‍⚖️ Profile picture

Stay in touch and get notified when new unrolls are available from this author!

Read all threads

This Thread may be Removed Anytime!

PDF

Twitter may remove this content at anytime! Save it as PDF for later use!

Try unrolling a thread yourself!

how to unroll video
  1. Follow @ThreadReaderApp to mention us!

  2. From a Twitter thread mention us with a keyword "unroll"
@threadreaderapp unroll

Practice here first or read more on our help page!

More from @ExposingNV

Dec 17
🧵🧵
1. Flood relief fundraisers Hayley Birtles-Eades & Adam Whittington are fighting over who is the bigger scammer!

Adam has allegedly been telling Hayley’s business partners about Hayley’s unlawful fundraising charges & calling her a liar & a fraud Image
2. Now Hayley has fired back, accusing Adam of dodgy flood fundraising himself.

“Why was Adam raising money for the floods, mmm?”, Hayley asks.

(H/t @28Cooker for the video)
@28Cooker 3. It seems Hayley has forgotten that Adam did all that fundraising on HER behalf!


Image
Image
Image
Image
Read 5 tweets
Dec 16
🧵🧵
1. “Mumbo jumbo”

Psuedolaw guru Mike Palmer has lost his appeal against “No Respondent” on grounds it was totally without merit with no basis in law or reality!
Image
Image
2. In 2022, Mike was ordered to pay $2.2m in tax liabilities (having not paid tax for many years). I tweeted about that case here:
3. In March 2023, Mike attempted to file an originating motion in the Supreme Court seeking judicial review of that decision on the following grounds: Image
Read 13 tweets
Dec 14
🧵🧵
1. Disendorsed by OneNation. Failed Senate candidate. Unsuccessful Freedom Movement “influencer” and pseudolaw guru. Small business owner. Meet Rebecca Lloyd. Image
2. In her own words, Bec “plopped” onto the scene in 2021. She’s the founder of Fair Business Australia, an anti-mandate small business support group. She gave “legal advice” to small businesses on how to fight back against COVID mandates.

Bec isn't a lawyer
3. Bec created a legal guide (a “police pack”), w/ advice on how to deal w/ police who turned up at your business to check you were compliant w/ COVID mandates. It was a PDF, which she sold for $97 a pop!
Image
Image
Read 35 tweets
Dec 6
🧵🧵
1. Just in! Suspended anti-vax COVID lawyer Nathan Buckley has LOST his application to dismiss the Law Society’s disciplinary proceedings against him!

Nathan was self represented Image
2. NSW Law Society commenced proceedings against Nathan in NCAT for disciplinary findings & orders. The LS alleged the following conduct amounted to unsatisfactory professional conduct & professional misconduct

Image
Image
Image
3. Nathan’s conduct cont..
Image
Image
Read 7 tweets
Nov 27
🧵🧵
1. WOW. Just WOW!

Lawyer for anti-lockdown group Reignite Democracy has been hit with a personal costs order for his conduct in an unfair dismissal case.

The Commissioner's decision is SCATHING! Image
2. "The submissions were, in simple terms, woefully incompetent"

"The submissions filed were so deficient & misconceived that, if the matter proceeded further, the Commission was very much open to a personal costs order against [Mr. Rogers]"
3. "When the Commission began to put Mr Rogers on notice of these matters, he abruptly interjected & said:

'That's never going to happen. I won't be paying those costs & we'll simply appeal. If you don't want to do your job, we'll get someone else to do it'
Read 37 tweets
Nov 25
🧵🧵

1. Pseudolaw guru Derek Balogh is not happy.

He’s been called out by the freedom movement for being a scammer, charging ppl money for legal & financial advice. Derek is not a lawyer nor a financial advisor
2. “Why are you attacking ME?”, Derek cries. “Why don’t you talk about my former business partners, they’re the scammers! Not me! Why don’t you talk about Reignite Democracy?”
3. Derek tries to justify why he charges ppl money. “I devote 24/7 to helping ppl”.

Derek is not a lawyer but he “represents” ppl in court. By “represents” he means he charges judges w/ treason. JFC.
Read 8 tweets

Did Thread Reader help you today?

Support us! We are indie developers!


This site is made by just two indie developers on a laptop doing marketing, support and development! Read more about the story.

Become a Premium Member ($3/month or $30/year) and get exclusive features!

Become Premium

Don't want to be a Premium member but still want to support us?

Make a small donation by buying us coffee ($5) or help with server cost ($10)

Donate via Paypal

Or Donate anonymously using crypto!

Ethereum

0xfe58350B80634f60Fa6Dc149a72b4DFbc17D341E copy

Bitcoin

3ATGMxNzCUFzxpMCHL5sWSt4DVtS8UqXpi copy

Thank you for your support!

Follow Us!

:(