Emil O W Kirkegaard Profile picture
Feb 4 4 tweets 2 min read Read on X
Education attainment is often given as the best example of heritability not being noticeably stronger than shared environment. But this conclusion is somewhat incorrect because of the assortative mating bias. In this study of Finnish and Dutch families, heritabilities were estimated at 55% and 66%, compared with shared environment of 16% and 13%.

frontiersin.org/articles/10.33…Image
In this Norwegian family study, heritability for education was estimated at 55%, close the above. Shared environment was 27%.

nature.com/articles/s4146…
Image
As usual, beware that variances are deceptive. If heritability is 60% and shared environment is 15%, this doesn't mean that genetics is 4x as important. You need to take the square root to get the path coefficients. These are 0.77 and 0.39. Thus, genetics is about 2x as powerful.
To fully set it out in numbers. If you increase the genetic potential for a person by 1 standard deviation, there education goes up by 0.77. If you somehow increase the relevant shared environment factors, education goes up by 0.39 standard deviation.

• • •

Missing some Tweet in this thread? You can try to force a refresh
 

Keep Current with Emil O W Kirkegaard

Emil O W Kirkegaard Profile picture

Stay in touch and get notified when new unrolls are available from this author!

Read all threads

This Thread may be Removed Anytime!

PDF

Twitter may remove this content at anytime! Save it as PDF for later use!

Try unrolling a thread yourself!

how to unroll video
  1. Follow @ThreadReaderApp to mention us!

  2. From a Twitter thread mention us with a keyword "unroll"
@threadreaderapp unroll

Practice here first or read more on our help page!

More from @KirkegaardEmil

Jan 15
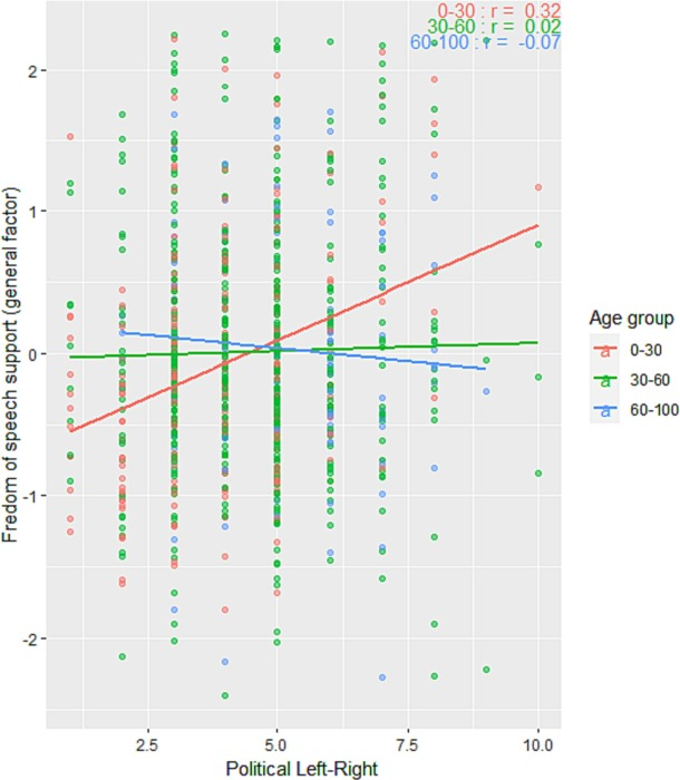
Among those below 30, support for freedom of speech is a Right-Wing thing. This interaction with age was seen in both UK and US samples.

Image
Image
Image
Of the more familiar factors, support for freedom of speech predictors were:

- being a man
- intelligence
- valuing freedom (duh)
- intellectual humility
Image
Image
Authors found that one could break down free speech support into 4 subdimensions. Image
Read 5 tweets
Jan 7
Who likes big butts? Who prefers breasts instead? @MrGeorgeFrancis and I decided to look into this in more detail using national and subnational data.

The main source of data here are Pornhub and Google searches for body-related terms. There is strong agreement across sources. Image
The main metric from the data is the relative interest in butts versus breasts. Behold, science. Image
Since such preferences plausibly relate to life history speed, and various metrics of development of a given locality, we of course checked the relationship to intelligence at the same level: national. Image
Read 12 tweets
Jan 6
I published a new study and it's a juicy one.

The establishment's theory of race differences in socially valued metrics is that this is due to "systemic racism", a kind of Marxist conspiracy theory where the dominant group (Whites) keeps other peoples down.


Image
Image
Image
Image
There are clear testable predictions from this theory. In places where racist, White people have more power, outcomes for non-Whites, especially Blacks and Hispanics should be worse. Recall that the US demographics by county look like this.

Of course, Republicans are racist in this theory.Image
Image
Thus, the theory predicts that in these areas of the USA, Blacks and Hispanics should be particularly worse off compared to Whites. But the exact opposite is actually true. The race gaps are smaller, not larger, in Whiter and more Republican areas.


Image
Image
Image
Image
Read 10 tweets
Aug 14, 2023
Private market fans are usually a fan of private education. The trouble is that educational outcomes are mostly just genetics, so there isn't much room for improvement. One way to study this is to look at school voucher randomized trials.

This meta-analysis shows that they don't do anything for reading or math ability in the West. The results for non-Western countries are larger, but not very trustworthy due to rampant scientific misconduct in those countries. Shrug tier.

Private education probably preferable on other grounds, but not for actual learning outcomes.

Image
Image
The Participant Effects of Private School Vouchers Across the Globe: A Meta-Analytic and Systematic Review

papers.ssrn.com/sol3/papers.cf…
Reminders about rampant scientific dishonesty outside the West.

emilkirkegaard.com/p/scientific-m…
Read 4 tweets
Mar 8, 2023
Our reply is now out to Giangrande and Turkheimer's 2022 attack on our meta-analysis.

authors.elsevier.com/c/1giweaSXM2aHr
This article took a long time to publish, as the journal G&T published in didn't want to allow us a reply, so we had to appeal, and then their editor got fired for unrelated reasons. Science publishing is very political on these topics. You can read the timeline in the paper too.
In our article, we go through their article with aim to set things right. G&T used a lot of underhand tactics, and weird claims, one might consider some of them lies, as Turkheimer surely should know better.
Read 10 tweets
Jan 31, 2023
@Steve_Sailer Your Ratwiki page has in fact been edited by Oliver D Smith a few times already. By my judgement, he's hiding under a few usernames here: Johns, Danak, Brain Galaxy (banned by staff for being Smith). I see 3 people in your comments who are Oliver D Smitht too. Image
How to spot Oliver D Smith accounts:

1. Anyone who compulsively edits Karlin, Kirkegaard, Dutton, Winegard, Cofnas, etc.
2. Watch for the usual edit pattern of fanatically editing many times in a row instead of big edits.
3. British spellings like "paedophile" & missing spaces.
Oliver always lies about not editing and stalking. Here he is in the comments under the fake name Roger Yate. This user has only ever made one comment on Unz, and that's under your post, defending himself. Obvious Oliver is obvious. ImageImage
Read 4 tweets

Did Thread Reader help you today?

Support us! We are indie developers!


This site is made by just two indie developers on a laptop doing marketing, support and development! Read more about the story.

Become a Premium Member ($3/month or $30/year) and get exclusive features!

Become Premium

Don't want to be a Premium member but still want to support us?

Make a small donation by buying us coffee ($5) or help with server cost ($10)

Donate via Paypal

Or Donate anonymously using crypto!

Ethereum

0xfe58350B80634f60Fa6Dc149a72b4DFbc17D341E copy

Bitcoin

3ATGMxNzCUFzxpMCHL5sWSt4DVtS8UqXpi copy

Thank you for your support!

Follow Us!

:(