Victor Shi Profile picture
Feb 4 3 tweets 1 min read Read on X
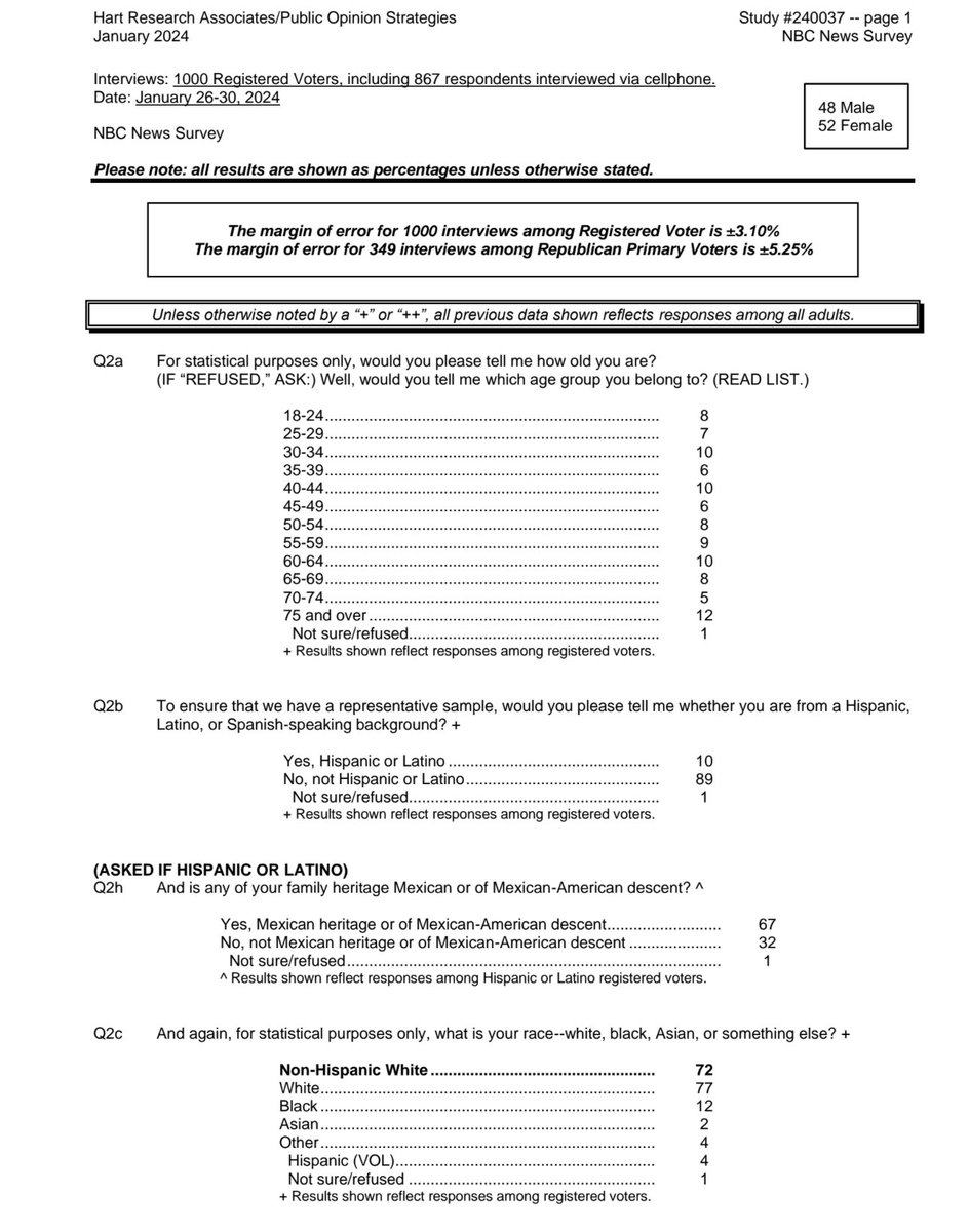
So, the latest NBC “poll” today consists of 72% of respondents who identify as white, the majority of respondents are over 50 years old, & the ONLY methodology used was calling people. But NBC isn’t mentioning any of those facts in their coverage. Failure by our media.
What you’ll hear a lot today if you tune into NBC or MSNBC is that Trump is leading Biden. Don’t buy it for one second. Instead, take a look at the following image, which spells out clearly just how bad this poll is. 54% over the age of 50, only 15% are young voters… Image
What’s more: 72% of respondents say they identify as non-Hispanic or white, only 12% Black, and 4% Asian. AND on top of all of that, the only methodology used to reach these people was by phone. Yet, NBC tries to act as if this poll is legitimate or serious. It’s not. Full stop.

• • •

Missing some Tweet in this thread? You can try to force a refresh
 

Keep Current with Victor Shi

Victor Shi Profile picture

Stay in touch and get notified when new unrolls are available from this author!

Read all threads

This Thread may be Removed Anytime!

PDF

Twitter may remove this content at anytime! Save it as PDF for later use!

Try unrolling a thread yourself!

how to unroll video
  1. Follow @ThreadReaderApp to mention us!

  2. From a Twitter thread mention us with a keyword "unroll"
@threadreaderapp unroll

Practice here first or read more on our help page!

More from @Victorshi2020

Feb 5
BREAKING: House Republicans just announced they will NOT bring the bipartisan Senate border deal to a vote in the House. There are no two-sides here. Democrats & President Biden have nothing to do with our this & the media & every voter must understand that. They are traitors.
Yup here it is. Sooner or later, most Americans will realize just how much these Republicans do not care about anything facing our nation & how they only care about vengeance and pleasing Donald Trump. This is beyond shameful & revolting. There’s only ONE party to blame here. Image
A great Tweet debunking what Steve Scalisr claimed (that this bill green lights 5K arrivals of asylum seekers). Totally false and a lie. Here are the facts. House republicans have no reason to reject this other than for Trump & because Biden is POTUS. Pathetic.
Read 4 tweets
Feb 2
BREAKING: House Oversight Democrats, led by Jamie Raskin, just asked the Government Accountability Office to open an investigation into Tommy Tuberville’s months-long blockade of hundreds of military officials & how it impacted our national security. This is great & so needed.
“A duo of House Oversight Democrats are asking the Government Accountability Office (GAO) to review Sen. Tommy Tuberville’s 10-month-long blockade of military promotions, asking for a review of its impact on national security as well as military families.” thehill.com/homenews/house…
The letter from ranking member Jamie Raskin (D-Md.) and Rep. Robert Garcia (D-Calif.), obtained by The Hill, asks for a review of the “unprecedented blockade of military promotions, including the short- and long-term detrimental effects on DOD and our broader national security.”
Read 5 tweets
Jan 31
Wow. Our economy grew faster than any large advanced economy in the world in 2023 & is projected to happen AGAIN in 2024, according to new data. Don’t let Republicans take credit. This is all because of President Biden’s policies & we should be proud. Thank you, President Biden!
A great chart put together by Axios showing how much our economy grew in 2023 compared to other countries & how it’s projected to repeat in 2024 again. We are blowing it out of the water & it’s time every Democrat be loud & proud about how amazing our economy is doing under POTUS Image
More below: “By the numbers: U.S. GDP looks to have grown 2.5% in 2023, according to the IMF's hot-off-the-presses World Economic Outlook, the highest among the G7 economies (Japan was second at 1.9%).” Expected 2.1% growth next year. Pretty impressive.

axios.com/2024/01/31/us-…
Read 4 tweets
Jan 31
Damn. Rep. Swalwell just flipped the script on Republicans during their “impeachment hearing” saying, “Any shortcomings Mayorkas might have are your fault. He’s asking for authorities to do more, to have more agents, to have more resources. So his limitations are caused by you.”
This is exactly right. If Republicans truly treated the border issue as seriously as they say, wouldn’t they grant the DHS Sec. more funding? Why would they be impeaching him while he’s solving an issue they claim to be “urgent”? Totally idiots. Watch 👇

House Dems came prepared today for this hearing. They were ready to play offense and play hardball with these Republicans. They were ready to expose them for what they’re trying to do - serve Trump, not the American people, & sabotage POTUS. Bravo. /end
Read 4 tweets
Jan 30
BREAKING. Kentucky Senate Republicans just passed a bill that would BAN students from using college photo IDs as their identification for voting. Republicans are actively suppressing young voices because they are scared of us. Be alarmed & outraged. We will make them find out.
More here: “In a 27-6 party line vote, the Republican majority in the state Senate passed the bill, which would remove a student identification card issued by a university or college as an acceptable “proof of identification.’” Pay attention.

democracydocket.com/news-alerts/ke…
Worth noting: “Despite support from every Republican senator, Michael Adams, Kentucky’s Republican secretary of state, sharply criticized the bill, saying that he worries it could alienate young voters.” This is part of their playbook. Anti-democratic.

democracydocket.com/news-alerts/ke…
Read 4 tweets
Jan 30
Damn. E. Jean Carroll on Donald Trump right now on MSNBC: "He's nothing. He is like a walrus, snorting, & like a Rino flopping his hand. We don't need to be afraid of him." This is the truth. Thank you, E. Jean.
Watch here. Seeing this is so powerful. You can just tell how E. Jean Carroll is reclaiming herself and her agency after this. She isn't afraid of bullies. She isn't afraid of Trump. She is E. Jean Carroll & she is taking on this fight. Love her so much

Trump wants you to think he's strong. He wants you to think he's all mighty. He wants you to think he's relevant. He wants your attention. He's nothing. He is a deeply week, unstable person. Don't let anything he does fool you. E. Jean Carroll nails it on the head.
Read 4 tweets

Did Thread Reader help you today?

Support us! We are indie developers!


This site is made by just two indie developers on a laptop doing marketing, support and development! Read more about the story.

Become a Premium Member ($3/month or $30/year) and get exclusive features!

Become Premium

Don't want to be a Premium member but still want to support us?

Make a small donation by buying us coffee ($5) or help with server cost ($10)

Donate via Paypal

Or Donate anonymously using crypto!

Ethereum

0xfe58350B80634f60Fa6Dc149a72b4DFbc17D341E copy

Bitcoin

3ATGMxNzCUFzxpMCHL5sWSt4DVtS8UqXpi copy

Thank you for your support!

Follow Us!

:(