Hillel Neuer Profile picture
Jun 3 53 tweets 21 min read Read on X
Dear @AntonioGuterres: Acting under Article 3 of the United Nations Code of Conduct, we today filed a Complaint over financial misconduct by Francesca Albanese. We demand that you disclose all illegal payments she took since 2022, and all her expenses:
🧵 unwatch.org/wp-content/upl…

Image
Image
We requests that you commence an immediate and independent investigation into serious allegations that Ms. Albanese has been illegally requesting payments for work done in her official UN capacity, in gross violation of her solemn obligations under the Code of Conduct. /2
Art. 3 of the Code of Conduct prohibits Albanese from taking remuneration from “any governmental or non-governmental source” for activities in pursuit of her mandate. Albanese herself admitted she “cannot take [an] honorarium for anything she does in her official capacity.” ⤵️ /3 Image
Yet as the evidence shows, Ms. Albanese has been engaged in a practice by which she knowingly and unethically circumvents this prohibition — requesting instead that, in exchange for her lectures, payments by external groups be made indirectly to her research assistant. /4
In response to @realrabbilinda's request for Albanese to address student protesters at Columbia University on May 7th, Albanese’s office replied: “She cannot take honorarium for anything she does in her official capacity. However, she kindly asks for this honorarium to be transferred to the Fellowship of her volunteer which supports her mandate and work.”

“Could you please provide some detail on the sum of the honorarium? The research institute will then send you the invoice for payment.” /5Image
In other words, the Albanese correspondence confirms the following:

· As remuneration for speaking, Ms. Albanese “kindly” asked that payment of an honorarium be made to her assistant. An unnamed “research institute” issues the invoices.

· This same payment was acknowledged by Ms. Albanese to be improper for her to accept. Thus Ms. Albanese was “kindly” asking that a payment be made indirectly to her assistant which she knows was improper for her to accept directly.

· Contrary to later claims by her colleague Sara Troian that “it was me proposing” that the funds be sent, the original email from Albanese’s UNSROPT office made clear that the proposal was made by Ms. Albanese herself: “she kindly asks for this honorarium to be transferred to the Fellowship of her volunteer which supports her mandate and work.” /6
Secretary-General Guterres, in light of the foregoing, we respectfully request that you commence an immediate and independent investigation into Ms. Albanese’s violations of the Code of Conduct.

Moreover, under the transparency guarantees enshrined in Resolution 16/21, in which the Council highlighted “the need for full transparency in the funding of the special procedures,” we further request:

(a) Full UN disclosure, including with dates and amounts, of all honoraria or other payments received by UN Special Rapporteur Francesca Albanese—either directly or indirectly including via Ms. Sara Troian, or via any other assistants or “institutes,” since her tenure began on 1 May 2022;

(b) Name of the “institute” which, as per Ms. Albanese’s office, is issuing the invoices for such payments in exchange for Ms. Albanese’s lectures or lobbying activities; and

(c) An explanation as to how UN human rights officials can legally ask for or accept funds from any non-UN sources, paid via Ms. Albanese’s office or otherwise, in exchange for the performance of lectures or any other functions related to her UN mandate and work. /7
2. Palestinian Lobby Group Says It “Sponsored” Francesca Albanese’s $20,000 Australian Visit

Second, Mr. Secretary-General, we request that the remit of your investigation into Albanese’s financial practices include an examination and disclosure of information relating to her November 2023 trip to Sydney, Australia, together with an additional six flights—to Melbourne, Adelaide, Canberra, Melbourne again, then Auckland and Wellington in New Zealand—which is estimated to have cost $22,500.

This figure includes expenses for her assistant Sara Troian, who accompanied Albanese on the trip. /8
Evidence indicates that Ms. Albanese, directly or indirectly via Sara Troian and the unnamed “institute,” either:

(a) improperly accepted a significant remuneration pro-Palestinian lobby groups to cover all or part of these expenses, in gross and material breach of the Code of Conduct, or

(b) improperly arranged for the UN to pay for her trip across the world, accompanied by at least one assistant, to a country that has no connection whatsoever with Ms. Albanese’s specific mandate to investigate human rights in the Palestinian territories, in a trip that involved no investigating whatsoever. /9
The first of the above two scenarios is substantiated in the statements of several Palestinian lobby groups to the effect that they “sponsored” or “supported” Ms. Albanese’s visit to Australia and New Zealand:

• Australian Friends of Palestine Association (AFOPA) stated on its website that the lobby group “sponsored Ms. Albanese’s visit to Australia.” AFOPA is a group that explicitly solicits donations to fund its lobbying work, under which category it cites the Edward Said lecture and the Press Club—both of which were performed by Francesca Albanese during her visit to Australia that was “sponsored” by AFOPA. Ms. Albanese thanked AFOPA for “organizing such a busy visit,” which included her meetings with pro-Palestinian politicians in New South Wales and South Australia, and in Canberra with politicians of the Australian Green Party and foreign ministy officials. Notably, Albanese did not thank any UN body or office for organizing her trip or meetings. /10Image
Likewise, according to an Australian government agency, Albanese’s visit to Australia was “as the guest of the Australian Friends of Palestine Association.” /11Image
See also the same language—“Ms Albanese is in Australia as the guest of the Australian Friends of Palestine Association”—at the website for Francesca Albanese's National Press Club of Australia talk, on November 14, 2023: . /12npc.org.au/speaker/2023/1…Image
Free Palestine Melbourne stated that it “supported her visit to Victoria, ACT and NSW.”
The group admits it lobbies politicians, organizes protests, and promotes the anti-Israel boycott, divestment and sanction (BDS) campaign. /13 afopa.com.au/blog/2023/11/2…
freepalestinevic.org/what-can-you-d…
Image
Australian Palestinian Advocacy Network (APAN) said it was “honoured to support the visit” to Australia of Ms. Albanese.
The group is headed by Nasser Mashni, a Hamas supporter—and convicted kidnapper.
& /14apan.org.au/spring-2023/
smh.com.au/politics/feder…
archive.is/PDgMY
APAN explicitly states that it engages in “lobbying” for Palestinians.

Indeed, during her visit, APAN facilitated “a range of meetings” for Albanese “with both parliamentarians and civil society.”
/15 apan.org.au/palestinian-yo…
apan.org.au/spring-2023/
Image
Palestinian Christians in Australia (PCIA) “supported her visit to Victoria, ACT and NSW.” The group engages in “direct lobbying” of politicians.

During her visit, Ms. Albanese helped PCIA fundraise by addressing their gala dinner.

The PLO was there.

Ticket prices for the fundraising gala were $90 for members, and $99 for non-members.

Albanese thanked PCIA, together with AFOPA and APAN, for “inviting me to this country.” Notably, Albanese did not thank the UN or mention anywhere that it was the world body that paid for the trip. /16palestinianchristians.org.au/gathering/gath…
palestinianchristians.org.au/gathering/gath…
palestine-australia.com/index.php/high…
Image
Image
Likewise, Ms. Albanese’s visit to New Zealand on November 20-21 was not organized by the UN, but rather by the Palestinians in Aotearoa Co-ordinating Committee (PACC) and Palestine Solidarity Network Aotearoa (PSNA). /17Image
The NZ lobby groups arranged public events for Albanese and for her to speak with media, politicians, and campaign groups. They also arranged for Ms. Albanese to lobby a major New Zealand sovereign wealth fund to divest from Israel-related companies. /18nzsuperfund.nz/assets/Disclos…
The notes show Albanese was accompanied by her Amsterdam-based assistant Sara Troian, described as “volunteer supporter, University of the Netherlands.”

With all the sponsoring local groups did Albanese really need to fly in her research assistant? Who paid for this? /19
Image
Image
Estimated Cost of Albanese's trip: $22,500
The average cost of Business Class air travel to Australia and New Zealand, departing from Albanese’s current domicile in Tunis, is at least USD $10,000. The six additional flights are estimated to have cost a total of $2500.
/20
@NZSuperFund @FranceskAlb Albanese arrived in Sydney on 9 November 2023, and is understood to have left New Zealand for her return journey to Tunisia on or around 22 November. Her hotel for 13 nights, meals, local transportation to her numerous meetings and related expenses are estimated at $5,000. /21
@NZSuperFund @FranceskAlb Assuming that Francesca Albanese's assistant Sara Troian flew in Economy Class, her flights, hotel and other expenses are estimated at $5,000.

If in fact she joined her boss in Business Class, the total would have been more than $10,000. /22
(Albanese’s visit to New Zealand is currently the object of a Freedom of Information request concerning her meetings with the foreign ministry, due to be answered by the government on 5 June 2024.) /23 fyi.org.nz/request/26287-…
Image
@MFATNZ @FYI_NZ In Australia, Albanese delivered AFOPA’s annual Edward Said Memorial Lecture in Adelaide and made media appearances, including at the National Press Club in which she parroted the Hamas narrative that Israel’s right to self-defence was “non-existent.”
/24theaustralian.com.au/breaking-news/…
Once again, it was not the United Nations which arranged Albanese's press club event, but rather a group headed by convicted kidnapper and Hamas supporter Nasser Mashni: “APAN has secured Francesca Albanese… as a speaker for the National Press Club in Canberra.” /25 Image
Secretary-General @antonioguterres, independence and impartiality are basic requirements for UNHRC Special Procedures under Article 3 of the Code of Conduct, which requires them to be “free from any kind of extraneous influence…either direct or indirect.” /26 Image
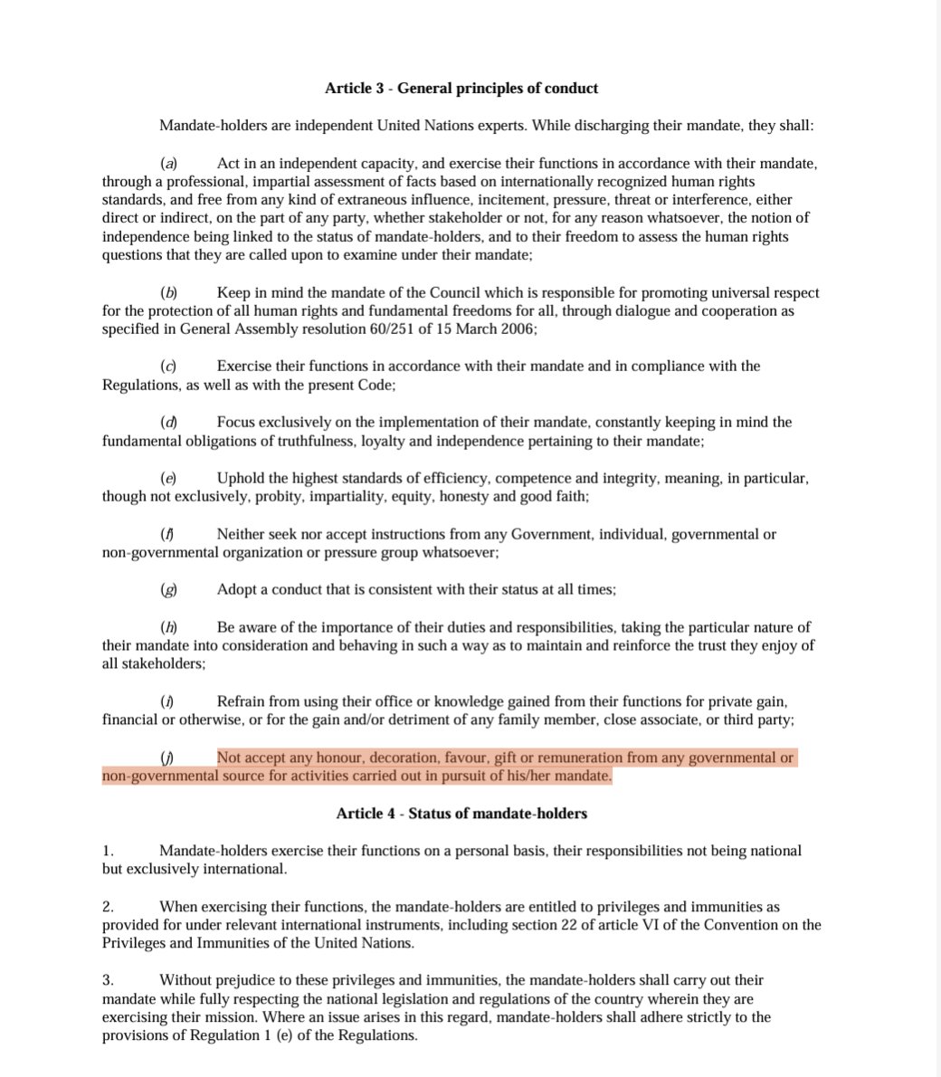
@antonioguterres In addition, UN experts like Albanese may not accept any “favour, gift or remuneration” from any “non-governmental source for activities carried out in pursuit of his/her mandate.” /27 Image
@antonioguterres Accordingly, it is clear that the lobby groups’ stated sponsorship of Ms. Albanese’s trip constitutes a blatantly prohibited form of favour, gift or remuneration under Article 3. The financial favour further subjects Ms. Albanese to prohibited direct or indirect influence. /28
@antonioguterres Indeed, the Palestinian lobby groups in Australia have urged Albanese to sue an organization that called out­­­ her pro-Hamas remarks. /29
johnmenadue.com/australian-pea…
Secretary-General @antonioguterres, Francesca Albanese’s gross violations of UN rules and ethics, if confirmed, constitute further grounds for you to take action immediately to remove Ms. Albanese from her position as Special Rapporteur. We urge you to do so. /30
Albanese Denies Palestinian Lobby Sponsorship, Claims UN Paid For Trip
Contradicting the Palestinian lobby groups, () Albanese denied AFOPA sponsored her trip, claiming it “was paid by the UN as part of my mandate's activities.” /31afopa.com.au/blog/2023/11/2…Image
Bizarrely, rather than cite a UN source, or produce receipts showing the UN paid for the travel of her entourage, Albanese instead cited the lobby group, AFOPA: “The ‘Palestinian lobby’ falsely accused by UN Watch of funding my trip to Australia confirms the UN funded it.” /32 Image
She cited to this statement by AFOPA: “Ms. Albanese was authorized by the UN to accept AFOPA’s invitation to deliver the Edward Said Memorial Lecture. The UN funded Ms. Albanese’s travel & accommodation costs. No Palestinian Solidarity group paid for this trip.” /33 Image
But how could AFOPA know what the UN “funded” or “authorized”? Possibly, AFOPA initially paid for Albanese's expenses, and then after the controversy had the UN reimburse — in order to be able to state that “The UN funded Ms. Albanese’s travel & accommodation costs.” /34
Secretary-General @antonioguterres, in light of the foregoing, we request that you:

1. Explain in what manner the Palestinian lobby groups in Australia “sponsored” and “supported” Ms. Albanese’s trip;

/35
@antonioguterres 2. Produce copies of all expenses related to the Special Rapporteur’s trip to Australia and New Zealand, including all travel, hotel, food, and local transportation expenses, whether incurred by Ms. Albanese or other members of her entourage, including assistant Sara Troian; /36
@antonioguterres 3. Describe in detail which expenses incurred by Albanese and her entourage in connection with their trip to Australia and New Zealand were paid for by the UN; /37
@antonioguterres 4. Indicate any precedent when a Special Rapporteur was funded by the UN to fly to a country as “the guest of” a partisan lobby—and in a country unrelated to the expert's mandate—in order to perform media advocacy and lobbying on the basis of which that lobby fundraises; and /38
@antonioguterres 5. Provide all meeting notes, minutes, emails, briefing notes, file notes and such like arising from the meetings of Albanese in Australia and New Zealand, in line with the pro-active disclosure made by NZSF concerning Ms. Albanese’s November 20 lobbying meeting in Auckland. /39
@antonioguterres Secretary-General @antonioguterres, if, as Albanese claims, the UN did fund all or part of Ms. Albanese’s trip to Australia, this would constitute a gross breach of UN rules and procedures because UN funds are intended to cover only official country missions. /40
For country mandates, this means visits to the country concerned, usually at the invitation of the state. As per the Practical Guide to Special Procedures, UN funds are not available to cover informal visits such as Albanese’s trip to Australia. /41 academy.ishr.ch/upload/resourc…
The only exception would be trips to third countries to interview human rights victims, in situations where travel to the country concerned is impossible. Otherwise, no country-specific experts make official UN-funded visits to countries other than the one of their mandate. /42
In this regard, it is notable that Albanese’s trip to Australia and New Zealand does not appear in the 2023 UN list of official country visits. This confirms that her trip was not deemed by either Albanese or the UN as an official country visit that warranted UN funding. /43Image
Image
Secretary General @AntonioGuterres, all of this on top of Albanese's disgraceful antisemitism and support for terrorism, including:

• Francesca Albanese wrote that “America is subjugated by the Jewish Lobby” in an UNRWA fundraising post on Facebook. /44
@antonioguterres In Novemeber 2022, Ms. Albanese told a Hamas conference: “You have a right to resist.” /46
jns.org/un-envoy-to-ha…
Since October 7th, Albanese has systematically whitewashed Hamas’ atrocities. /47

As stated by @UKLFI:

• On 7 October 2023 she tweeted: “Today’s violence must be put in context. Almost six decades of hostile military rule over an entire civilian population (incomprehensibly ignored by too many official statements & media outlets) are in themselves an aggression, and the recipe for more insecurity for all.”  She was justifying Hamas’s horrific attack on 7 October.

• On 11 October 2023 she referred to Israel’s operation against Hamas in Gaza as a “policy of revenge”.

• On 11 October 2023 Albanese claimed that “Hamas’ crimes including rape” had not been confirmed, and that divulging information about the perpetration of rape by Hamas risks “to escalate tensions and endanger lives in a volatile context.”

• On 14 and 26 October 2023, she claimed that Israel is “carpet bombing” Palestinian civilians.

• On 21 and 27 October 2023, she claimed that Israel is not acting in self-defence and that it is committing “ethnic cleansing”.

• On 5 December 2023 Albanese spread misinformation that there were “no more functioning hospitals” and “no more medications” in Gaza.

• On 12 December 2023, she claimed that “The Israeli army is fighting everyone and everything in Gaza – including the UN.”

• On 23 December 2023 she spread the misinformation that Israel had not created any safe areas in Gaza and that it had “dropped ammunitions equal to 2 nuclear bombs including during evacuations or in “safe zones””.

• On 28 December 2023, she tweeted that “what Israel is doing to the Palestinians, especially in Gaza, is “the monstrosity of our century””.

• On 18 and 29 February 2024, she reposted misinformation that the Israeli military had opened fire against Palestinians in Gaza waiting for aid, and that Israel is “starving a population and trying to kill them when they look for means of survival”.

• On 3 March 2024, she reposted misinformation that Israel has been “intentionally starving the Palestinian people in Gaza since October 8” and called for sanctions against Israel.

• On 8 March 2024, she posted a tweet directed at Israeli women, stating “what have you done, what have you become. Dears, when you realise it, you will be haunted forever.”

• On 31 March 2024, she reposted misinformation that “Israel has created kill zones in Gaza where they kill everything that moves”.
@UKLFI Albanese has denied that the October 7th pogrom was the worst attack on Jews since the Holocaust, for which she became the first Special Rapporteur in history to be condemned for antisemitism by France as well as Germany. /48
France wrote to her that “The October 7 massacre is the biggest antisemitic massacre of the 21st century,” and “to deny it is wrong.” It was “scandalous” and “a disgrace” for her “to appear to justify it, by dragging in the name of the United Nations.” /49
Germany said it was “appalling” for the Special Rapporteur “to justify the horrific terror attacks and to “deny their antisemitic nature.”

Germany said Francesca Albanese’s remarks were “a disgrace.” /50
Secretary-General @antonioguterres, the disgraceful support for terrorism and promotion of antisemitism by UN Special Rapporteur Francesca Albanese casts a shadow upon a reputation of the United Nations as whole. /51
@antonioguterres This is now compounded by serious financial improprieties. To maintain and enhance public trust in the United Nations, we urge the UN to show its commitment to openness and transparency by responding forthwith to our requests concerning the grave matters outlined above. /52
@antonioguterres Sincerely,
Hillel C. Neuer
Executive Director
United Nations Watch

CC: Ambassador Omar Zniber, President of the UN Human Rights Council
Ms. Isha Dyfan, Chair of UN Coordination Committee of Special Procedures

• • •

Missing some Tweet in this thread? You can try to force a refresh
 

Keep Current with Hillel Neuer

Hillel Neuer Profile picture

Stay in touch and get notified when new unrolls are available from this author!

Read all threads

This Thread may be Removed Anytime!

PDF

Twitter may remove this content at anytime! Save it as PDF for later use!

Try unrolling a thread yourself!

how to unroll video
  1. Follow @ThreadReaderApp to mention us!

  2. From a Twitter thread mention us with a keyword "unroll"
@threadreaderapp unroll

Practice here first or read more on our help page!

More from @HillelNeuer

Jun 2
BREAKING: UNRWA chief Philippe Lazzarini in Beirut reinstates Hamas-linked principal & union leader Fatah al-Sharif in “understandings” reached with Lebanese Prime Minister, in exchange for Islamist UNRWA union factions ending months-long strike tomorrow. refugeesps.net/post/27925/%D9…
Image
In March, under pressure from UN Watch, UNRWA chief Lazzarini suspended al-Sharif for three months without pay over his Hamas ties. Yet instead of condemning his links to a terrorist group, al-Sharif's fellow UNRWA teachers and staff backed him—and went on strike in support. /2
Contrary to UNRWA's “just a few bad apples” line on teachers' terror support, the entire UNRWA Lebanon teachers’ union—2,000 teachers—held mass strikes across Lebanon, shutting schools and services, to march on UNRWA's Beirut office to back al-Sharif. /3 unwatch.org/unrwa-teachers…
Read 14 tweets
May 28
Meet Hind Khoudary. Tonight she's a star reporter for Channel 4. She's also famous for having informed on Rami Aman & other Gaza peace activists, getting Hamas to arrest them for the crime of doing a zoom with Israeli peace activists. Shame on you @Channel4 @C4Dispatches. 🧵🔽 /1
Image
April 6, 2023: Gaza youth group founder Rami Aman holds a Zoom video call with 200 Israeli and Gaza peace activists to open a channel of communication between the two. He encourages participants to believe in peace and continue advocating for change. /2
April 8: Amnesty International’s former research consultant Hind Khoudary denounces Rami Aman in a series of vituperative posts. She tags three Hamas officials to call their attention Aman and his Zoom call. Screenshots here in this thread: /3
Read 30 tweets
May 17
BREAKING: For first time, UNRWA's former general counsel James Lindsay testifying before Congress, now exposing the agency's failure to vet staff for terrorist ties. I'm sitting right next to him—it's a damning indictment from the inside like never before.

Image
UNRWA's former general counsel James Lindsay: “It would not be surprising to learn that as many as half of UNRWA’s employees were Hamas supporters—of whom some likely would be Hamas members—which is not that different from what the Israeli government alleged.” /2
UNRWA's former general counsel: “It is simply not true that UNRWA is ‘irreplaceable.’ /3
Read 6 tweets
May 12
BREAKING: UN halves estimate of women and children killed in Gaza. As quoted in the article, let me explain how the UN's method for casualty counting in Gaza is the complete opposite of how they act in other conflict situations such as Ukraine. 🧵
nationalpost.com/news/world/isr…
“The UN significantly adjusted Gaza casualty figures, halving the number of women and children previously reported killed. While more than 9,500 women & 14,500 children fatalities were reported by @UNOCHA on May 6, the number was two days later revised significantly downward.” /2
@Mike_Wagenheim @JNS_org: The Director of UNICEF Catherine Russell indicated in mid-March, she was citing Hamas health ministry numbers, 13,000 children had died in Gaza. The UN released totals yesterday showing that less than 8,000 children have died in Gaza as a result of the war, citing the same Hamas health ministry. Can you clarify the process for how those numbers were revised?

@UN_Spokesperson Farhan Haq:  “Yeah, the revisions are taken… you know, as we, of course, in the fog of war, it’s difficult to come up with numbers.  We get numbers from different sources on the ground, and then we try to crosscheck them.  As we crosscheck them, we update the numbers, and we’ll continue to do that as that progresses.

Q:  I mean, it’s almost half. It’s pretty significant.

UN: “Numbers get adjusted many times over the course of a conflict. Once a conflict is done, we’ll have the most accurate figures. But we’re just going with what we can absolutely confirm, which will always be the low end of what the numbers are.”

Q:  So can people consider those numbers reliable having been so off in this occasion?

UN:  “Well, you can consider them reliable from the fact that we’re continually checking them. We’ll continue to do that over the course of the war. But the numbers, you know, ultimately have to be regularly checked so that we can be sure that what we’re putting out is valid.” /3
Read 13 tweets
Apr 30
Meet Haythem “Ethan” Abid. He runs the International Red Cross in Montreal. His job is to be neutral. But Abid marches in “Free Palestine” rallies, posts Hamas videos saying hostages love their captors and accuses Israel of “terrorism” & “genocide.” He says: “Fuck neutral shit.”
Image
Image
2/ Here's the Hamas propaganda video posted by the Red Cross Head of Office:

We ask you, @ICRCPresident Mirjana Spoljaric: When will you fire him? Why were all your ICRC colleagues who saw this silent? Why is 🇺🇸@RedCross giving you $670 million per year? instagram.com/p/CzLWc4HMrcF/
Image
@ICRCPresident @RedCross 3/ For more on Haythem “Ethan” Abid, see the full story by UN Watch here: unwatch.org/icrc-head-of-o…
Read 4 tweets
Apr 23
The Swiss Parliament, before they decide whether or not to reinstate funding for UNRWA, has invited me to address their special hearing next week. I will testify as to the warnings we sent over a decade to UNRWA about its staff promotion of terrorism. They ignored every one. 🧵
2/ In September 2015 we warned UNRWA about 12 employees promoting terrorism & antisemitism, including UNRWA teacher Ramy Alshorbasy who promoted a blood libel, and staffer Wael Sallouh who cheered the June 2014 kidnapping and murder of three Israeli teens. unwatch.org/images-of-unrw…
3/ In October 2015, we warned UNRWA about 12 perpetrators including their teacher Hiba Miari who promoted Palestinian stabbing attacks against Israeli Jews & employee Hani Al Ramahi who showed the image of bloody knife with the caption “Stab Zionist dogs.”
unwatch.org/report-un-offi…
Read 16 tweets

Did Thread Reader help you today?

Support us! We are indie developers!


This site is made by just two indie developers on a laptop doing marketing, support and development! Read more about the story.

Become a Premium Member ($3/month or $30/year) and get exclusive features!

Become Premium

Don't want to be a Premium member but still want to support us?

Make a small donation by buying us coffee ($5) or help with server cost ($10)

Donate via Paypal

Or Donate anonymously using crypto!

Ethereum

0xfe58350B80634f60Fa6Dc149a72b4DFbc17D341E copy

Bitcoin

3ATGMxNzCUFzxpMCHL5sWSt4DVtS8UqXpi copy

Thank you for your support!

Follow Us!

:(