America First Legal Profile picture
Jun 4 13 tweets 4 min read Read on X
🚨The New Biden Executive Order is a DISASTER for the American people. Overall, it makes things WORSE and will eventually damage our ability to secure the borders. Follow along🧵 Image
In short, the new EO establishes a "floor" of illegal immigration only triggered when there are 2,500 daily encounters or more over a 7-day period. Do the math = roughly 76,041 each month.

This means that Joe Biden is OKAY with 912,500 illegals flooding the U.S. every year! Image
It goes AWAY if there are less than 1,500 daily encounters = 547,500 annually, 45,625 monthly.

Remember, Obama's Secretary of Homeland Security said that above 1,000 encounters would be a "bad day."

This makes "bad days" the new normal.

REALIZE JUST HOW RADICAL THIS IS.

Congress has repeatedly told the Executive to secure the border. In the Secure Fence Act, it defined operational control as the prevention of ALL unlawful entries to the United States. Not just some. Certainly not thousands each day. Image
It exempts out from the count and the suspension on entry any illegal alien minor (i.e., predominantly teenagers). There were over 8,500 of those in April 2024 alone. And since the beginning of FY2021, over 510,000! Image
GAPING LOOPHOLES (just like the Senate bill, shocker), including: Image
And this loophole--"noncitizens who arrive in the United States at a southwest land border port of entry pursuant to a process the Secretary of Homeland Security determines is appropriate to allow for the safe and orderly entry of noncitizens into the United States." Image
So basically, if you go through @SecMayorkas's illegal CBPOne app and just show up at a port of entry, no problem. You still get in.
DHS and DOJ are also issuing an IFR that pretends to restrict eligibility for asylum for covered aliens. But that bar will be full of exceptions that swallow the rule.
It does NOTHING about the MILLIONS Biden has already let into the United States. Nothing.
And the ACLU has already promised to sue and stop it. If you think Team Biden didn't expect (or arrange) that, we have some oceanfront property in Arizona...

Biden will lose. Biden will roll over. Presidential authority will be intentionally kneecapped.
This Executive Order is a disaster and is an attempt to make the American people accept as the "new normal" historic high levels of illegal immigration.

The critical issue is whether the action facilitates catch-and-release or catch-and-deport.

whitehouse.gov/briefing-room/…
This facilitates catch and release. The acceptable number of illegal crossings is ZERO.

This is an attempt to repackage the failed, disastrous Senate bill. The ACLU will sue and stop it. Biden will throw his hands up and "blame" Congress for his own disaster. All for politics.

• • •

Missing some Tweet in this thread? You can try to force a refresh
 

Keep Current with America First Legal

America First Legal Profile picture

Stay in touch and get notified when new unrolls are available from this author!

Read all threads

This Thread may be Removed Anytime!

PDF

Twitter may remove this content at anytime! Save it as PDF for later use!

Try unrolling a thread yourself!

how to unroll video
  1. Follow @ThreadReaderApp to mention us!

  2. From a Twitter thread mention us with a keyword "unroll"
@threadreaderapp unroll

Practice here first or read more on our help page!

More from @America1stLegal

Jun 4
/1🚨NEW LAWSUIT🚨

We just filed a federal lawsuit against @allyfinancial for illegal discrimination.

Ally has allegedly engaged in illegal anti-white and anti-male hiring practices in violation of Civil Rights law.

THREAD: Image
/2 Partnering with co-counsel at @ConMcPLLC, we filed a lawsuit on behalf of its client against Ally Financial—a top 25 bank holding company in the United States.

The lawsuit alleges that, in pursuit of its diversity goals, Ally engaged in illegal race- and sex-based hiring practices and discriminated against AFL’s client in violation of Civil Rights laws.
/3 In this case, AFL’s plaintiff is a veteran who spent over two decades performing intelligence and counterterrorism work for the U.S. Armed Forces, including in Iraq and Afghanistan.
Read 10 tweets
Jun 3
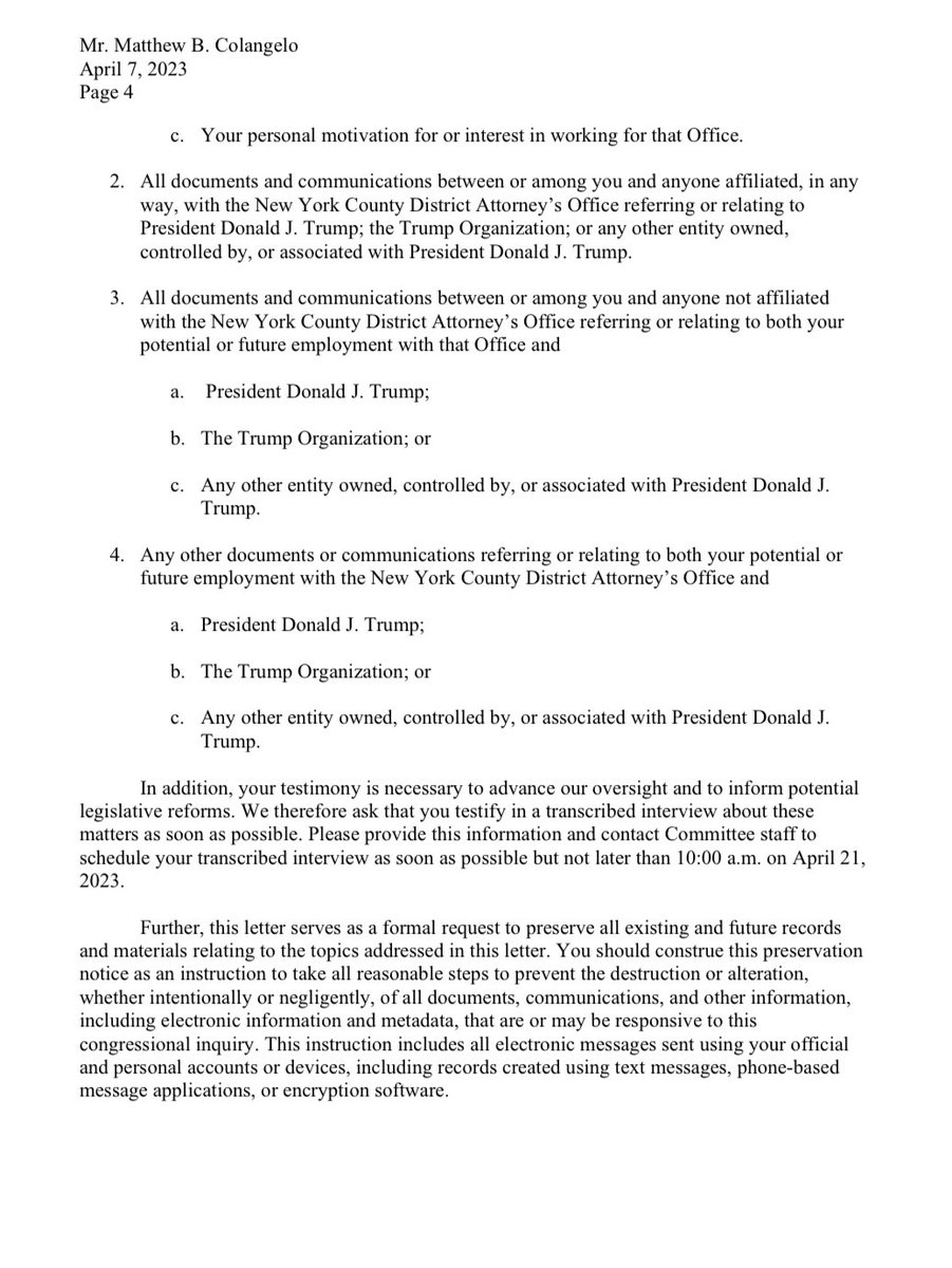
/1🔎 We’re investigating the improper involvement of the Biden DOJ in the Manhattan DA’s prosecution of President Trump with 3 new investigations seeking communications from top Biden DOJ officials, such as:

🚨Matthew Colangelo
🚨Matt Klapper
🚨Marshall Miller

THREAD:

Image
Image
Image
/2🚨The first investigation seeks communications between Colangelo and the New York County District Attorney’s Office, Special Counsel Jack Smith, Jay Bratt, David Harbach, and the group called “Citizens for Responsibility and Ethics in Washington” (CREW)
Image
Image
/3🚨The second investigation seeks communications between Matt Klapper and the New York County District Attorney’s Office, Special Counsel Smith, Bratt, Harbach, Colangelo, the Public Integrity Section of the DOJ, and CREW. Klapper is the Chief of Staff to Attorney General Merrick Garland. Klapper is a longtime Democratic political operative.Image
Image
Read 7 tweets
Jun 3
/1🚨We just opened 3 new investigations into the Manhattan DA’s abusive prosecution of President Trump. We are demanding:

✔️Communications between Bragg’s office with outside groups like the DNC and Biden Campaign
✔️Communications with Judge Merchan
✔️Bragg’s calendar

THREAD:

Image
Image
Image
/2 Responding to credible allegations of improper collusion between District Attorney Alvin Bragg’s office, the Biden White House and DOJ, and allied leftist dark money groups, AFL has filed 3 new New York State Freedom of Information Law (FOIL) demands…
/3🚨The first demand is for records from Alvin Bragg, Matthew Colangelo, Joshua Steinglass, Meg Reiss, Joyce Smith, Leslie Dubeck, and Sherene Crawford of communications with the Democratic National Committee, the organization called “Color of Change,” George Soros’s “Open Society Foundations,” Julie Chavez Rodriguez, Quentin Fulks, Kevin Munoz, The Biden-Harris Campaign, Loren Merchan and her company Authentic Campaign(s), the New York Office of the Attorney General, DOJ, and the group called “Citizens for Responsibility and Ethics in Washington.”Image
Image
Read 7 tweets
Jun 3
/1🚨BREAKING — Biden’s Acting Associate Attorney General Matthew Colangelo left the DOJ to help orchestrate Alvin Bragg’s political prosecution of President Trump.

We just sued the DOJ to uncover Colangelo’s records discussing President Trump before leaving the gov’t.

THREAD: Image
/2 In December 2022, New York County District Attorney Alvin Bragg hired Matthew Colangelo to reportedly “jump-start” his office’s investigation of President Trump, reportedly due to Mr. Colangelo’s “history of taking on Donald J. Trump and his family business.” Image
/3 Mr. Colangelo previously held senior positions at the DOJ and the New York Attorney General’s Office, both of which had competing investigations related to President Trump.


Image
Image
Image
Image
Read 8 tweets
May 29
/1🚨BREAKING🚨

We just filed complaints with the DOJ, EEOC, and Iowa Civil Rights Commission against @TysonFoods for alleged violations of law including:

‼️Employing illegal aliens over American citizens
‼️Racial discrimination
‼️Exploitation of child labor

THREAD: Image
/2 In light of shocking evidence of significant potential violations of law, our Center for Legal Equality filed a series of complaints related to the employment practices of Tyson Foods.

The complaints include…
/3 1️⃣A federal civil rights complaint filed with the U.S. Equal Employment Opportunity Commission (EEOC) for alleged discrimination in violation of Title VII of the Civil Rights Act of 1964. Image
Read 16 tweets
May 29
/1🚨GLASS LEWIS EXPOSED🚨

One of the most powerful financial players in the world — advising funds collectively holding $40T — continually instructs corporations and investors to unlawfully discriminate against Americans.

THREAD: Image
/2 Glass Lewis is the world’s second-largest proxy advisory firm and, along with ISS, makes up a duopoly that controls a combined 91% of the market for proxy advisory services.

In its own materials, Glass Lewis makes clear that it provides voting advice based in no small part on how committed corporations are to woke, unlawful discrimination — even at the highest levels of corporations.
/3 In its Racial & Ethnic Diversity in the Boardroom report, Glass Lewis states that 64% of companies listed on the Nasdaq and S&P 500 do not list “relevant” metrics about directors’ race and ethnicity in their proxy statements. Even so, Americans should be concerned that more than a third of these companies are still beholden to the woke dogmas that demand discrimination in the name of diversity and equity.Image
Read 16 tweets

Did Thread Reader help you today?

Support us! We are indie developers!


This site is made by just two indie developers on a laptop doing marketing, support and development! Read more about the story.

Become a Premium Member ($3/month or $30/year) and get exclusive features!

Become Premium

Don't want to be a Premium member but still want to support us?

Make a small donation by buying us coffee ($5) or help with server cost ($10)

Donate via Paypal

Or Donate anonymously using crypto!

Ethereum

0xfe58350B80634f60Fa6Dc149a72b4DFbc17D341E copy

Bitcoin

3ATGMxNzCUFzxpMCHL5sWSt4DVtS8UqXpi copy

Thank you for your support!

Follow Us!

:(