Crémieux Profile picture
Jun 20 20 tweets 6 min read Read on X
In 2014, David Graeber wrote an article for the Guardian in which he argued "Working-class people... care more about their friends, families, and communities. In aggregate... they're just fundamentally nicer."

The Economist put up a similar article at the time.

Were they right? Image
To make his case, Graeber wove a nice little narrative together about how the rich don't need to care, so they don't, and thus they're bad at empathy and they do things like hiring out the sons and daughters of the poor to do the job when empathy is needed. Image
The meat of Graeber's case was a set of two social psychological papers.

The first was a set of three studies in which the poor appeared to outclass the rich at tasks like the Mind in the Eyes, or figuring out the emotions of people they're talking to. Image
The main effects from these studies had p-values of 0.02, 0.02, 0.04, 0.01, 0.04, 0.03, and 0.04.

This first article was severely p-hacked. To make matters worse, one of the studies featured priming and two of them used "subjective" measures of social class.
The second article was a series of seven studies that were, at times, just bizarre. Image
In the first two studies, students watched cars at a four-way intersection and tallied up how often the "upper-class" and "lower-class" cars cut off other vehicles and pedestrians.

What's an upper-class car? Beats me. It was based on student judgment.

p's = 0.046 and 0.040.
In the rest of the studies, things were similarly dodgy: almost all of the p-values were barely less than 0.05, the hypotheses were unbelievable, priming was featured, low power was abused, and liberties were taken in sampling and in defining key variablesImage
So what happens next?

Some researchers looked at these studies and the media coverage saying that the rich were bad at being empathetic, were selfish, etc. and thought

Wait, why does every field but social psychology say the opposite?
Social psychology, alongside nutrition, is a paragon of the replication crisis. Not in a good way, mind you, in the sense that remarkably many of its studies failed to replicate

Studies from outside social psychology got less coverage, but indicated the rich were more prosocial.
The researchers decided to use large, population-representative samples with objective measures of social class to figure out if the rich were more prosocial or antisocial than the poor

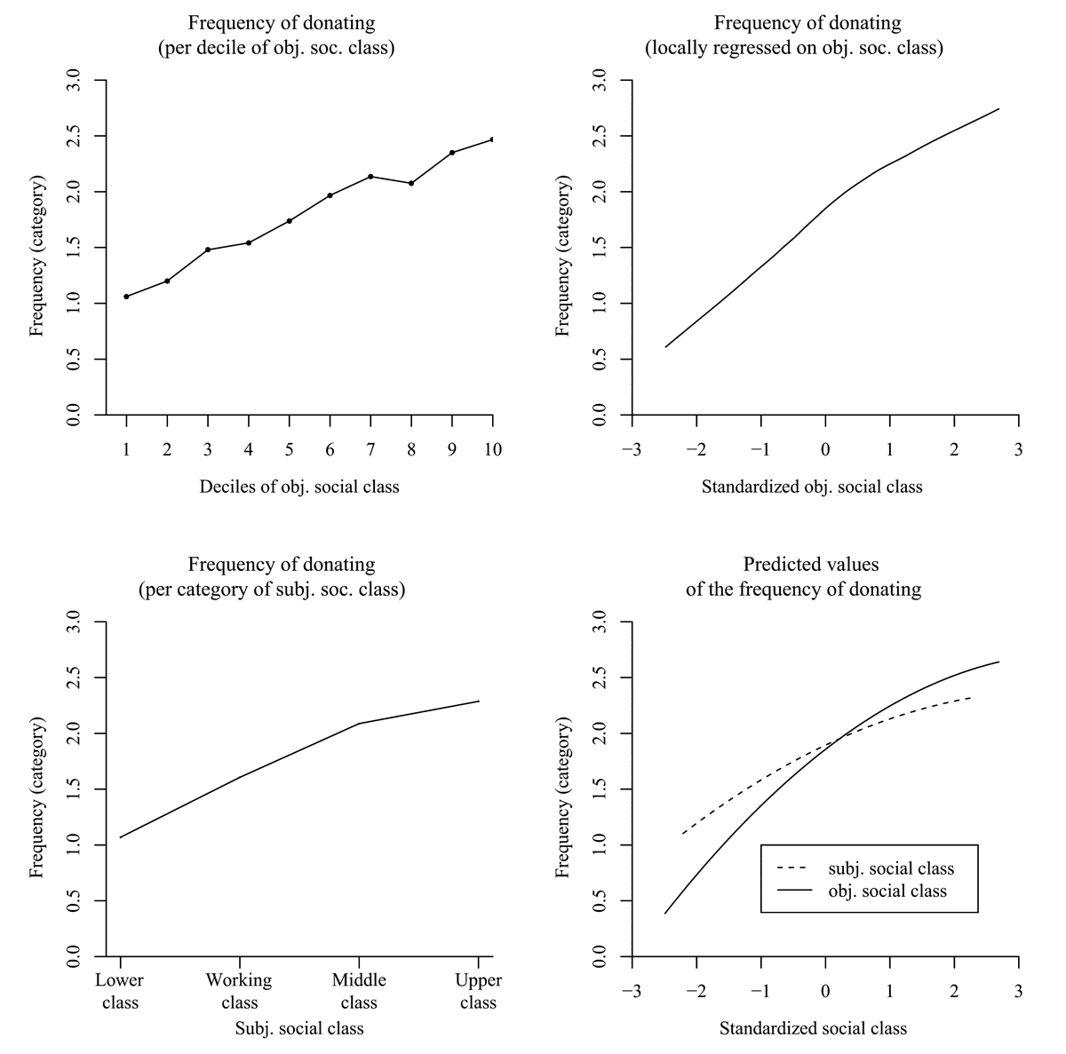
To start, in these two studies from Germany (SOEP) and the U.S. (CEX) they donated more often Image
This is key. The reason is, some studies had indicated that the poor donate relatively larger portions of their incomes.

But, those studies all looked at donations among those who donated. In other words, they didn't account for differences in the likelihood of donating at all.
Account for that difference, and a proposed curvilinear relationship between relative amounts of donations and poverty disappears. Now, the rich just donate more absolutely and relatively!Image
In the GSS, measures of both objective and subjective social class were available, so they could be discriminated and... it appears subjective social class might be weaker than objective social class as a predictor of at least this prosocial behavior: Image
You could argue donations aren't a great metric.

Fine.

So look at volunteering, which the rich in the SOEP were more likely to do (and do more frequently—not shown here). Image
In the GSS, the same result emerged: the objectively and subjectively rich volunteered more usually (and frequently—again, not shown here).

This happens despite the poor having more free time and the rich spending more time each week gainfully employed on average. Image
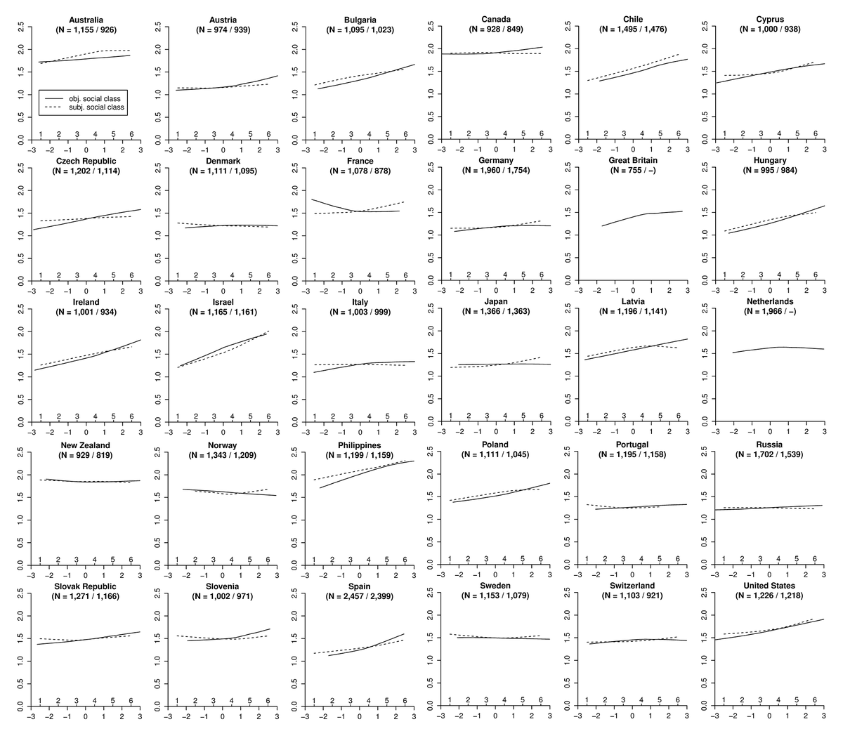
If you look in the ISSP—a large international survey covering more than 30 countries—the rich are more likely to volunteer at all in aggregate, and they volunteer more frequently, although there is some heterogeneity across countries in the frequency of volunteering relationship: Image
You could argue that the poor are more selfish because they're poor. And, OK! But even in the setting of the well-known trust game, the rich were more trusting and more trustworthy: Image
Since the poor commit more crime, are more likely to act indecent and loud, show less trusting and trustworthy behavior, and so on, we really have no reason to believe Graeber's article and so many others like it.

They were, at best, a relic of the replication crisis.
At worst—and this is likely what they really were—they were political wishcasting.

So let's not denigrate the rich, because it's not true that they deserve it.
To read more, check out my latest article: cremieux.xyz/p/are-the-rich…

• • •

Missing some Tweet in this thread? You can try to force a refresh
 

Keep Current with Crémieux

Crémieux Profile picture

Stay in touch and get notified when new unrolls are available from this author!

Read all threads

This Thread may be Removed Anytime!

PDF

Twitter may remove this content at anytime! Save it as PDF for later use!

Try unrolling a thread yourself!

how to unroll video
  1. Follow @ThreadReaderApp to mention us!

  2. From a Twitter thread mention us with a keyword "unroll"
@threadreaderapp unroll

Practice here first or read more on our help page!

More from @cremieuxrecueil

Jun 20
Yesterday was Juneteenth, a federal holiday in the U.S. dedicated to celebrating the day the last slaves in America were freed when the Emancipation Proclamation was enforced in Texas.

Economically, what were the fates of slaves? What about slaveowners?

🧵 Image
Starting with slaves, a paper that came out last year looked into the matter.

The paper used Census and administrative records from 1850 to 2000 to compare Black Americans whose ancestors were enslaved for different amounts of time.

Compare these trajectories: Image
One thing that stands out is that, in terms of literacy, there's a lot of convergence. In terms of occupational quality, not so much.

Depending on how you think, this might be obvious or a surprise.

The reason could have to do with Jim Crow.Image
Read 22 tweets
May 30
Over a decade ago, researchers started a trial to see if they could prevent peanut allergies

They gave a few hundred kids peanuts from ages one to five and told parents of another group to have their kids avoid the stuff

Peanut consumption reduced peanut allergy rates by a lot:Image
The initial trial and assessment (ages 1-5) was called LEAP. The follow-up at six years of age was called LEAP-On, and it involved asking kids to abstain from peanuts for a year to see if allergy rate differences persisted.

As you can see above, they did.
By the long-term follow-up, we still see a roughly 70% reduction in rates of peanut allergy.

So this annoying condition (for both sufferers and those who have to accommodate them) can be mostly eliminated by mere exposure.
Read 4 tweets
May 28
In 1942, the U.S. government forcibly removed more than 110,000 ethnically Japanese people from their homes and sent them to internment camps in remote parts of the country.

People are resilient, but losing everything is hard.

How did victims' lives turn out?🧵 Image
First, we need background.

Japanese citizens began arriving to the U.S. in the latter part of the 19th century.

The scale of migration was substantial. By 1942, 40% of Hawaii was Japanese (Hawaii wasn't a state until 1959). Image
This influx of immigrants quickly became a political problem.

1886-1911, more than 400,000 Japanese set out to American lands. Citizens called for an end, resulting in the Gentleman's Agreement of 1907:

The U.S. wouldn't harass its Japanese and Japan would restrict emigration. Image
Read 26 tweets
May 25
2024 is the hottest year on record, and it's been hotter than 2023 in part because of a global ban on shipping fuels containing sulfur dioxide.

Problem: SO2 causes acid rain, but it cools the globe. How can we just stay cool?

A new company might have found the solution.

🧵Image
Acid rain has been on the decline for many years, but in order to finally put the problem to rest, it'll be crucial to knock out sulfur dioxide emissions from shipping.

Globally, those emissions have been concentrated in these boxed-in regions where ships go to-and-fro. Image
When the International Maritime Organization 2020 regulation went into effect, roughly 80% of sulfur dioxide emissions from international shipping went away overnight. Image
Read 15 tweets
May 25
FDR was the Assistant Secretary of the Navy from 1913 to 1919.

During his tenure, he supported a gay entrapment operation where sailors would allow themselves to be propositioned by gay sailors so the Navy could identify them and kick them out🧵 Image
After enough intel was gathered, twenty potentially homosexual men were rounded up and brought aboard the USS Boxer to be interrogated.

Afterwards, fourteen of them were charged with gay sex acts with the sailors that entrapped them. Image
When the Senate investigated FDR over this, they were furious.

They wanted him barred from holding public office because he was responsible for a bunch of innocent young sailors being sodomized.

Since he ultimately went on to become the president, we know he got off scot-free. Image
Read 6 tweets
May 24
Why is San Francisco so incredibly gay?

Military policy.

🧵 Image
In 1982, Randy Shilts published his biography of Harvey Milk, entitled "The Mayor of Castro Street".

For those who don't know, Harvey Milk was the first open homosexual to be voted into public office in the state of California.

He was on the San Francisco Board of Supervisors. Image
The biography contains a fair bit of background, not just about Harvey Milk, but about San Francisco's gay community more generally.

In its early years, San Francisco attracted large waves of mainly male migrants motivated by the promise of gold in California. Image
Read 18 tweets

Did Thread Reader help you today?

Support us! We are indie developers!


This site is made by just two indie developers on a laptop doing marketing, support and development! Read more about the story.

Become a Premium Member ($3/month or $30/year) and get exclusive features!

Become Premium

Don't want to be a Premium member but still want to support us?

Make a small donation by buying us coffee ($5) or help with server cost ($10)

Donate via Paypal

Or Donate anonymously using crypto!

Ethereum

0xfe58350B80634f60Fa6Dc149a72b4DFbc17D341E copy

Bitcoin

3ATGMxNzCUFzxpMCHL5sWSt4DVtS8UqXpi copy

Thank you for your support!

Follow Us!

:(