Western Lensman Profile picture
Jul 12 18 tweets 6 min read Read on X
What is Executive Order 14019?

How it’s billed: A non-partisan GOTV operation calling for “all of government” effort to register voters.

What it is: An ‘election interference scheme’ that uses your tax dollars to register Democrat voters in swing states.

🧵Thread.🧵
2/18

This thread will borrow heavily from the incredible work done on this by Heritage’s @oversightPR.

They have been sounding the alarm on “Biden Bucks” for a long time. This thread is an effort to help amplify their work — adding contextual video in order to provide a concise, nuts-and-bolts understanding of how this is manifesting in the 2024 election.

One of Oversight Project’s main threads laying this out can be found here.
3/18

Joe Biden announced the EO on March 7, 2021. He invokes January 6, Bloody Sunday, John Lewis and Republican-led voter security measures (voter suppression!) to make the case that there should be an all of government approach to registering voters.
4/18

The Biden-issued EO 14019.

Per Heritage, the EO was “crafted by Democrat "voting" groups, which tasks every government agency to focus on registering and mobilizing key Democratic constituencies.” Image
5/18

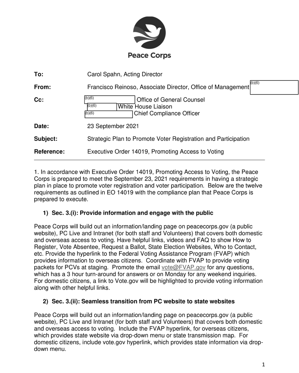
The countless federal agencies were asked to produce documentation as to how they would comply with the EO.

Here is one such letter from The Peace Corps, outlining their efforts.

The Heritage-acquired archive of these compliance letters will be linked at end of thread. Image
6/18

June 7. In this exchange at a recent Small Business Committee hearing, @RepEliCrane and @stew_whitson expose how the Biden Admin is using US govt agencies as Democrat GOTV organizations, targeting swing states.

WATCH THIS.

WHITSON: “They don't try to get out the vote of every kind of voter. They try to get out the vote of the voters that will put them in office. And so that's the problem, is now the federal executive branch is engaging this, a federal executive branch led by a member of one political party, is using that apparatus to engage in a get out the vote scheme."

Whitson is the senior Director of Federal Affairs for the Foundation for Government Accountability.
7/18

Here is an SBA announcement for GOTV efforts in Michigan — a hotly contested swing state with a radical leftwing Secretary of State in Jocelyn Benson. Image
8/18

June 28. Rep. @RepTenney on the floor of the House offering an amendment to strip funding from the DoD for the EO.

“This executive order is nothing but a blatant attempt to transform the federal government into a partisan get out the vote machine for Democrats.’
9/18

Rep. Tenney mentioned NGO’s. Who are these organizations that the Biden administration is paying — with your tax dollars — to help implement this effort alongside US govt agencies?

You might’ve guessed, they aren’t conservative groups.

Per Heritage, Demos is a far-left “dark money group.” Their Wikipedia entry states they have “close ties to the wing of the Democratic Party associated with Elizabeth Warren.”Image
10/18

Demos estimates it can register 3M new voters.
11/18

A litany of leftwing groups offer their guidance to the Dept. of Education. Image
12/18

Can illegals be registered to vote as a result of this EO?

Attempts at congressional oversight to ask this question go unanswered by the US Office of Management and Budget.

H/T @wallstreetapes
13/18

How important is this EO and its successful implementation to Biden?

As @MHowellTweets, Exec Director of Oversight Project told @theblaze — "The last election was decided by less than 40K votes in the determinative swings.”

It doesn’t take a lot of targeted voter registrations in swing states to move the electoral needle.Image
14/18

@AmericaFirstLegal has sued 14 federal agencies for concealing their plans for implementation of the EO.
15/18

ACTION: @oversightPR has advised states that they can fight the EO at the state level.

16/18

In summation: Your tax dollars are being used to mobilize the entirety of the US Govt to register blue voters in swing states.
17/18

Link to “Biden Bucks” at the Heritage website, which archives communications of many agencies with the WH detailing their commitment to cooperate with EO 14019.

heritage.org/the-oversight-…
18/18

If you found this thread informative, please consider amplifying. 🇺🇸

• • •

Missing some Tweet in this thread? You can try to force a refresh
 

Keep Current with Western Lensman

Western Lensman Profile picture

Stay in touch and get notified when new unrolls are available from this author!

Read all threads

This Thread may be Removed Anytime!

PDF

Twitter may remove this content at anytime! Save it as PDF for later use!

Try unrolling a thread yourself!

how to unroll video
  1. Follow @ThreadReaderApp to mention us!

  2. From a Twitter thread mention us with a keyword "unroll"
@threadreaderapp unroll

Practice here first or read more on our help page!

More from @WesternLensman

Jul 9
In process of pulling clips for an upcoming video, and came across this “good ol’ working class Joe, a man of the people" clip from the 2020 campaign.

You can see Joe's blood boiling and his veins popping as he gets ready to bully this man in front of a crowd for daring to question him about Hunter and his age.

Highly relative questions, as it turns out.

Joe berated, belittled and attempted to humiliate this working class guy for asking questions he didn’t like.

This is who he really is.

‘You’re a damn liar."
*Challenges him to push ups*
*Lies about Hunter*
“Get your words straight, Jack."
“Look, fat, here’s the deal."
“You’re too old to vote for me."

Joe Biden: A real hero of the working man. A real sweetheart.

Also: His mental decline since this 2019 clip is rather stark.
Let’s also remember that — of course — Joe lied afterwards and said he didn’t call the guy fat. Image
Read 4 tweets
Jul 7
Anatomy of a Hoax: The Doomed Voyage of the Biden ‘Cheap Fake’ Narrative.

🧵A thread. 🧵
2/19

First of all, where did the term “cheap fake” originate?

I was surprised to find that this term was coined by “disinformation researchers” Britt Paris and Joan Donovan way back in 2019.

Sunmary of their research here.

“Like many past media technologies, deepfakes and cheap fakes have jolted traditional rules around evidence and truth, and trusted institutions must step in to redefine those boundaries.”

To save Democracy, of course.Image
Image
3/19

The credentials and political leanings of Paris and Donovan should not come as any surprise.

The Nation. Harvard “Disinformation” studies.
Image
Image
Read 19 tweets
Jul 7
“We defend the existence and the power of nations.” | Marine Le Pen demolishes CNN attempt to label her National Rally party “far right."

Amanpour is predictably incredulous: “You’re kidding me right?"

According to legacy media, any person or party that believes in national sovereignty, prioritizing the needs of citizens, border security, and an end to mass immigration is far-right.

Le Pen: "I think this use of the term far right carries a stigma and is very pejorative."

Yes, that’s exactly why they do it.

You will NEVER see the media label any leftist movement or politician — no matter how extreme — as “far left."
His headline is a lie. LePen did not say “the far right” would do anything. She expressly rejected the label.

That doesn’t stop the lies, however. Image
Any party that advocates for national sovereignty, strong borders and a halt to mass immigration is “far right” and must be fear-mongered. Image
Read 6 tweets
Jun 29
Until the hoax went down in flames Thursday night, legacy media had promulgated The Big Lie about Joe Biden’s cognitive decline for years.

To what lengths were they prepared to go?

In the run-up to the 2020 election, PBS produced an entire propaganda film guised as a 'documentary’ to convince you that Biden had a “stutter,” and that he was engaged in a heroic journey to prove his doubters wrong, titled:

"Biden’s Stutter: How a Childhood Battle Shaped Him"

Amazingly, the film did not feature a single video clip of Biden’s lifelong "speech impediment,” and any cursory search of archival Biden clips reveals that no stutter actually exists.

The quick clips they used to demonstrate this 'stutter' were recent gaffes, deceptively edited using photographs instead of featuring the actual video.

Also note the emotional manipulation and narrative sleight-of-hand employed by featuring an interview with a writer from The Atlantic, who actually has a speech impediment.

Below is a short excerpt — which casts Joe’s struggles with cognitive decline and mounting gaffes in the 2020 campaign as the heroic fight of a bullied underdog, “hellbent” on proving his critics wrong and overcoming a lifelong disability.

North Korean state-media propagandists must blush at this level of sycophantic media manipulation.
This angle was resurrected in WAPO as recently as March of this year.

“Biden’s stutter surges into the presidential campaign."

Framed as “Trump mocking an old man with a speech impediment."

The Big Lie. Image
The full documentary (6 minutes), if you are, like me, interested in a study in state-media lies and propaganda.
Read 5 tweets
Jun 16
LEFT: Today, NBC reports Biden mass-amnesty scheme to be officially announced this week.

RIGHT: Yesterday, NYP Story blowing the whistle on how illegals are given voter registration forms in 49 states.

It’s happening. Fast.
Source NYP article.

nypost.com/2024/06/14/us-…
Read 4 tweets
Jun 10
"Fake news on social media is the crisis we’re all ignoring – trust me, I worked for Twitter."

This is an actual headline for an article by former Twitter staffer Marc Burrows, lamenting the fact that @elonmusk’s 𝕏 no longer collaborates with the Censorship Industrial Complex to police speech.

Must be election season. Yep:

"With billions of people around the world going to the polls this year, making sure voters have access to verfied, true information is critical. We cannot afford to disregard the importance of keeping a lid on the lies."

He can’t be talking about the lies like the Dirty 51 letter, right? Nope.

"We worked with Reuters and the Associated Press to debunk rapidly growing and unreliable stories. We coined the term “pre-bunk” for identifying likely misinformation before it spread. Misleading posts were labelled once they reached a certain influence threshold.

We all knew this was mission critical, because Twitter punches above its weight in terms of influence on the news agenda and public conversation – that’s why Musk became so invested. We all wanted to make it safer. Better. A force for good."

A force for good. By working with corrupt legacy media and the US govt to suppress, censor, and ban information that was inconvenient or damaging to their preferred candidates and false narratives.

This piece may as well have been written by US intelligence agencies. Maybe it was.

Full piece linked in thread. Must be read in full to be believed.Image
Image
Full article, if you have the stomach:
independent.co.uk/voices/twitter…
Trust me bro, I worked for Twitter. Image
Read 4 tweets

Did Thread Reader help you today?

Support us! We are indie developers!


This site is made by just two indie developers on a laptop doing marketing, support and development! Read more about the story.

Become a Premium Member ($3/month or $30/year) and get exclusive features!

Become Premium

Don't want to be a Premium member but still want to support us?

Make a small donation by buying us coffee ($5) or help with server cost ($10)

Donate via Paypal

Or Donate anonymously using crypto!

Ethereum

0xfe58350B80634f60Fa6Dc149a72b4DFbc17D341E copy

Bitcoin

3ATGMxNzCUFzxpMCHL5sWSt4DVtS8UqXpi copy

Thank you for your support!

Follow Us!

:(