Analyze & Optimize Profile picture
Oct 7 14 tweets 6 min read Read on X
Literally a handful of these a day can:

𓋼 Prevent cancer by nearly 50%
𓋼 Prevent cognitive decline by 75%
𓋼 Boost mood
𓋼 Restore digestive health
𓋼 Increase lifespan

& more.

Let's talk about the incredible benefits of EDIBLE MUSHROOMS (no not the tripping kind).

THREAD:Image
Common mushrooms prevent cancer.

The white button mushroom was able to reduce:

· Tumor weight
· Cancer proliferation

while promoting cancer cell death.

They contain various compounds with antioxidant, anti-inflammatory & immune regulatory ability.Image
Mushrooms massively lower cancer risk.

Just 18g mushrooms per day is associated with a 45% reduction in all cancer risk.

More shrooms, less cancer.Image
In fact, mushrooms extend lifespan by over 20%.

Ergothioneine is a compound found almost exclusively in mushrooms,

and its levels in the body decrease with age.

Giving it to animals is incredible for their longevity.Image
This is true in humans too - the more mushrooms you eat, the less likely you are to die.

Full stop.Image
Mushrooms regenerate the brain.

Ergothioneine (AT) increases:

🧠 BDNF - stimulates brain cell growth
🧠 Microtubules (MAP2) - proteins that help structure the brain
🧠 CREB - a master regulator that controls dopamine synthesis

Thus, it protects neurons from death.Image
Image
Once again, we see that eating more mushrooms is better.

Just a few of mushrooms / week cuts the risk of Alzheimer's by up to 75%!Image
More mushrooms = better cognitive function.

The levels of ergothioneine parallel mushroom intake, and predict better:

◉ Executive function
◉ Attention
◉ Language
◉ Visuospatial function + speed
◉ Memory

with age.Image
Mushrooms prevent depression & sleep issues.

Ergothioneine, found in all types of edible mushrooms, has the ability to protect against stress induced:

▻ Depressive symptoms
▻ Sleep disturbances

through its antioxidant & anti-inflammatory properties.Image
Mushrooms are protective for the gut, too.

The body has specialized transporters to ensure cells can get ergothioneine.

Without them, the gut becomes fragile and susceptible to damage,

as do other tissues.

For this reason, some believe it is an essential nutrient.Image
Mushrooms lower estrogen.

Estrogens increase with:

↠ Aging
↠ Fat accumulation
↠ Inflammation
↠ Toxins

and leave us prone to estrogenic excess.

Mushrooms inhibit the conversion of androgens to estrogens, protecting us from estrogen overload.Image
Mushrooms even protect the skin from UV damage.

Owing to ergothioneine's powerful antioxidant role,

skin cells become more resilient to damage, allowing us to get the sun we need while minimizing risk.Image
TYPES / AMOUNTS OF MUSHROOMS:

The amounts of ergothioneine in mushrooms vary quite substantially, but it is present in all mushrooms.

𓋼 Oyster mushrooms are the most concentrated
𓋼 Shiitake seem to be next
𓋼 White button has plenty + estrogen lowering compounds.

You really only do need a handful of them a day (cooked), to get lots of ergothioneine.

Even 1-2 times per week can reap huge benefits and increase ergothioneine status.Image
Image
Mushrooms are AWESOME, but they won't be enough to fully achieve your health goals.

If YOU want personalized help from us with your health, click where it says “schedule a free call” here: prism.miami

• • •

Missing some Tweet in this thread? You can try to force a refresh
 

Keep Current with Analyze & Optimize

Analyze & Optimize Profile picture

Stay in touch and get notified when new unrolls are available from this author!

Read all threads

This Thread may be Removed Anytime!

PDF

Twitter may remove this content at anytime! Save it as PDF for later use!

Try unrolling a thread yourself!

how to unroll video
  1. Follow @ThreadReaderApp to mention us!

  2. From a Twitter thread mention us with a keyword "unroll"
@threadreaderapp unroll

Practice here first or read more on our help page!

More from @Outdoctrination

Oct 5
50% of people are deficient in this vitamin.

It heals the gut, grows the brain, can boost testosterone and gives us glowing skin.

These are the miraculous benefits of VITAMIN A, plus how to make sure you get enough.

THREAD:Image
Vitamin A is HIGHLY therapeutic for inflammatory bowel disease.

25,000 IU / d:

⬩Reduced severe disease by over HALF
⬩3-4X'd gut healing

in ulcerative colitis.

Vitamin A supports gut immunity and lowers serotonin,

both of which are dysregulated in gut inflammation.Image
Vitamin A cures acne.

Before accutane, tons of research was done on the anti-acne benefits of oral vitamin A.

Here, 200,000 IU/d cured it within months.

Vitamin A is crucial for the proliferation and differentiation of skin cells,

without it, the debris clogs the pores.Image
Read 18 tweets
Oct 4
There's a 3 in 4 chance you're low on this nutrient.

It heals fatigue, anxiety, depression, sleep problems, even ADHD.

This is ULTIMATE GUIDE to MAGNESIUM: its incredible benefits & how to get enough.

THREADImage
Magnesium cuts fatigue in half.

People with persistent fatigue have depleted magnesium stores,

but after 6 weeks of magnesium, subjective energy level improves by over 50%.

Magnesium is necessary to form cellular energy in the form of ATP.Image
Magnesium DRAMATICALLY improves insulin resistance.

382 mg of magnesium (as MgCl2) decreases:

• Blood sugar by 25%
• Blood pressure
• Insulin
• Triglycerides by HALF

Not a huge dose - very doable and cheap.

It facilitates the metabolism of glucose in several ways.Image
Read 18 tweets
Oct 1
If you are always tired, this is for you.

Here are 5 SUPPLEMENTS that might just help with your fatigue, and how to use them.

THREAD:Image
1. THIAMINE (VITAMIN B1) megadosing completely cures fatigue.

600-1,500 mg of thaimine (B1) daily abolished chronic fatigue metrics

in patients with inflammatory bowel disease.Image
Vitamin B1 megadosing reverses fatigue within 3-5 days.

600 mg thiamine (B1) per day led to complete or near complete resolution of fatigue

in autoimmune hypothyroidism.Image
Read 22 tweets
Sep 29
The animal-based, anti-aging nutrient you aren't getting enough of.

It protects the brain, reduces inflammation, stress, insulin resistance, and might even grow your hair.

The benefits of TAURINE are boundless:Image
Taurine extends lifespan.

Taurine levels drop with age,

but giving animals taurine increases lifespan by >10%, halting the signs of aging such as:

→ Increased DNA damage
→ Telomerase deficiency
→ Impaired mitochondrial function
→ Cellular senescenceImage
Taurine increases brain metabolism, therapeutic for dementia.

Taurine acts in the brain by:

✪ Improving mitochondrial function
✪ Reducing inflammation
✪ Acting as a calming neurotransmitter
✪ Being an antioxidant

all of which help maintain brain function + metabolism.Image
Read 18 tweets
Sep 27
Researchers have called it the guardian of the gut.

It is a godsend for IBS, Crohn’s, Ulcerative Colitis and even colon cancer.

Why BUTYRATE might be your key optimal digestion + gut health:Image
You are looking at a dramatic improvement in colon tumors by using butyrate in animals.

Butyrate:

⬩KILLS colon cancer cells
⬩STOPS metastasis
⬩SHRINKS tumors

Cancer is a metabolic disease, and butyrate is the primary metabolic fuel of the colon.Image
Butyrate cuts colon cancer tumors by over 80%

Improves:

⬩Survival
⬩Histology
⬩Gut function

In colon cancer.

Butyrate works here by improving bacterial composition and directly reducing inflammation,

people with colon cancer have lower butyrate in the gut.Image
Read 20 tweets
Sep 25
Hair loss doesn't have to be permanent.

Here are 7 non-pharmaceutical, clinically backed tools to regrow hair:Image
Regrowing hair in androgenic alopecia with taurine, caffeine, and lactoferrin.

This combination:

‣ Decreased hair follicle aging
‣ Decreased scalp inflammation
‣ Restored hair follicle metabolism
‣ Improved scalp antioxidant status

Incredible!Image
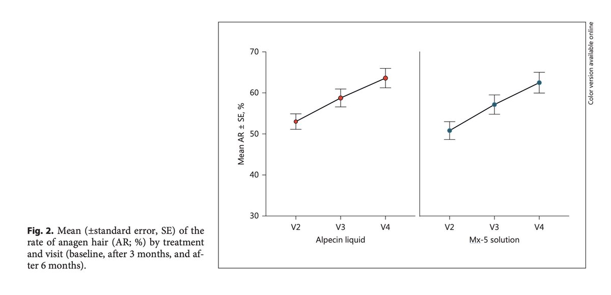
Caffeine shampoo is at least as effective as the leading topical hair loss drug for regrowing hair.

Much more accessible, cheaper and safer too.Image
Read 14 tweets

Did Thread Reader help you today?

Support us! We are indie developers!


This site is made by just two indie developers on a laptop doing marketing, support and development! Read more about the story.

Become a Premium Member ($3/month or $30/year) and get exclusive features!

Become Premium

Don't want to be a Premium member but still want to support us?

Make a small donation by buying us coffee ($5) or help with server cost ($10)

Donate via Paypal

Or Donate anonymously using crypto!

Ethereum

0xfe58350B80634f60Fa6Dc149a72b4DFbc17D341E copy

Bitcoin

3ATGMxNzCUFzxpMCHL5sWSt4DVtS8UqXpi copy

Thank you for your support!

Follow Us!

:(