XX_1133_1221_11 Profile picture
Oct 21 13 tweets 20 min read Read on X
Mobilecoin (Sentz) & Signal (Open Whisper System)

A thread of the many connections between Mobilecoin, Signal, X, cypherpunks, crypto/ AI founders, intelligence affiliates, PayPal Mafia and more

Thread
1/ 13

Mobilecoin
Stellar (SDF)
Signal
Stripe
Cypherpunks
X (Twitter)
Elon/ Snowden
Israel/ 8200 Unit
PayPal Mafia
WhatsApp
Intelligence
Long Now
DuckDuckGo
Google
Cash App
+Image
Image
Mobilecoin & Signal
Thread
2/ 13

Mobilecoin was founded by Joshua Moldboard and Shane Glenn. Mobilecoin was rebranded to Sentz (I will still call it Mobilecoin throughout this thread for simplicity)

Mobilecoin has many connections to cypherpunks, crypto leaders, and transhumanists, including many of its’ funders and advocates.

Mobilecoin leadership, staff and members include (Notable names):

David A. Bray > Singularity University with Barney Pell, government positions
Bob Lee > Founded Cash App
Sarah Novotny > Microsft, Linux
Moxie Marlinspike > Signal founder, former X (Twitter) Security leader
Isis Lovecruft > Cypherpunk and crypto member
Renee DiResta > CIA, Stanford, Yonder, Mozilla, Thiel Fellow, PayPal mafia associate
Alex Gravely > Cypherpunk member, Github Dropbox
Brady Forrest > Microsot, Khosla Ventures (Stripe funder), Singularity, Foo Camp with Joichu Ito)

Mobilecoin investors (notable names):

Future Ventures > Steve Jurvetson (Close Elon Musk investor, DFJ)
Binance
General Catalyst > Stripe, Oscar Health, Anduril, Circle, Cadre (Close ties to Kushners and Thiel circles)
Coinbase
Alameda Research > Sam Bankman Fried/ FTX
Matt Mullenweg > Stellar advisor
10X Capital > Ripple, Palantir, Circle, 23&Me
Time Ventures > Marc Benioff (Elon/ Thiel circle)
+

MobileCoin secured $29.7 million in a funding round led by Binance Labs, in exchange for 37.5 million tokens

Mobilecoin is a member of Long Now Foundation. (More on Long Now Foundation later in this thread)Image
Image
Image
Image
Mobilecoin & Signal
Thread
3/ 13

Mobilecoin and Stellar

Mobilecoin was developed using the Stellar Consensus Protocol, created by David Mazieres. Although SCP is not the same as the Stellar Network itself, Mobilecoin does use the Stellar blockchain and its’ consensus model (BFT).

Matt Mullenweg, a funder of Mobilecoin, also is an advisor of Stellar.

Several investors and crypto leaders with connections to Mobilecoin also have close ties with either Stripe, Stellar, or both.Image
Image
Image
Mobilecoin & Signal
Thread
4/ 13

Mobilecoin, Signal and X (Twitter)

Matthew Rosenfeld, AKA Moxie Marlinspike, is an American entrepreneur, cryptographer, and computer security researcher. Marlinspike is the creator of Signal, co-founder of the Signal Technology Foundation, and served as the first CEO of Signal Messenger LLC. He is also a co-author of the Signal Protocol encryption used by Signal, WhatsApp, Google Messages, Facebook Messenger, and Skype

Whisper Systems was an American enterprise mobile security company that was co-founded by security researcher Moxie Marlinspike and roboticist Stuart Anderson in 2010. The company was acquired by Twitter in November 2011. Some of the company's software products were released under open-source licenses after the acquisition. An independent group called Open Whisper Systems later picked up the development of this open-source software, which led to the creation of the Signal Technology Foundation

Moxie Marlinspike is also former head of security at Twitter, until he left in 2013 to form Open Whisper Systems.

After a merger with Moxie’s former programs TextSecure and RedPhone, Open Whisper Systems changed to Signal.

Early 2018, Marlinspike and WhatsApp co-founder Brian Acton announced the formation of the Signal Technology Foundation and its subsidiary, Signal Messenger LLC. Marlinspike served as Signal Messenger's first CEO until stepping down on January 10, 2022.

Moxie Marlinspike is also an advisor for Mobilecoin, and has been claimed to be names as first CTO of Mobilecoin in the original Whitepaper (although has been both confirmed and denied by several sources within Mobilecoin).

Signal and Mobilecoin created a partnership to use Mobilecoin for the Signal app’s financial transactions, since it was focused on both mobile payments and highly encrypted security.

Other Signal/ Open Whisper System people relevant to this thread include:
Christine Corbett Moran
Andy Isaacson

Both Engineers and workers of Open Whisper Systems and Signal, with connections to: NASA, Chaos Computer Club (Cypherpunks), Noisebridge (Cypherpunks) +Image
Image
Image
Image
Mobilecoin & Signal
Thread
5/ 13

Mobilecoin, Signal and Cypherpunks (and early cryptographers)

Mobilecoin and Signal leadership has consisted of many well known cypherpunks and leading cryptographers, as well as known “anarchists” including Signal’s Moxie Marlinspike mentioned earlier in this thread.

Mobilecoin also has a direct relationship with Tor Project through the same cypherpunks and affiliations.

Those cypherpunks and cryptographers include:

Moxie Marlinspike
Edward Snowden
Elon Musk
Grimes (Elon’s ex)
Isis Lovecruft
Todd Huffman
Alex Gravely
Peter Todd
Bryce “Zooko” Wilcox
Jacob Appelbaum
Andy Isaacson
Christine Corbett Moran
Yan Zhu
+
Chelsea Manning
Julian Assange

Moxie Marlinspike, mentioned earlier, is founder of Signal which partnered with Mobilecoin. Signal is endorsed heavily by both Elon Musk and Edward Snowden.

Edward Swoden, endorser of Signal (mobilecoin)

Elon Musk, endorser of Signal (mobilecoin)

Grimes (Elon’s ex) is good friends with Wikileaks whistleblower, Chelsea Manning. (Julian Assange) Also good friends of Sam Altman (Stellar and OpenAI)

Isis Lovecruft (Accused Peter Todd of sexual abuse) Mobilecoin consultant, Tor Project Developer, friend of Grimes, Manning, and several other cypherpunks mentined above

Todd Huffman advisor of Mobilecoin, positions at DARPA and DoD, friend of others mentioned above

Alex Gravely is engine of Mobilecoin, CEO and founder of Hackerpad with close ties to Stripe (Stellar), friends of many listed above

Peter Todd, accused of sexual abuse from Isis Lovecruft, Bitcoin developer, relationship to many listed above

Bryce “Zooko” Wilcox of ZCash, a company with similar funding as Mobilecoin, Advisor of Bolt Labs with initial funding from Ripple’s Xpring

Jacob Appelbaum, connections to X like Moxie Marlinspike, former Wikileaks leader with Assange, Tor Project leader, many relationships with those listed above, cypherpunks, cryptographers, transhumanists, and crypto leaders plus Collison brothers (Stripe, Stellar)

Andy Isaacson, Open Whisper System engineer (Signal), Chaos Computer Club with Jacob Appelbaum, cypherpunk associate

Christine Corbett Moran, Open Whisper System engineer (Signal), NASA, cypherpunk associate

Yan Zhu, friend of Wikileaks whistleblower Chelsea Manning, DoD, and witness against Jacob Appelbaum who she witness abusing several women in the workplace.Image
Image
Image
Mobilecoin & Signal
Thread
6/ 13

Elon Musk, Snowden, Signal & Mobilecoin

Elon Musk has been an advocate for Signal for many years, tweeting about it often as a better (yet not perfect) solution to encrypted messaging. Snowden, NSA/ CIA whistleblower, also has come out in favor of Signal as a better solution to encrypted messaging and privacy.

Signal partnered with Mobilecoin (mentioned earlier in thread) because Mobilecoin was built off an encryption-based model, which happens to use Stellar Consensus Protocol. Stellar is funded by Stripe and has ties to both Stripe people and other cryptographers, AI founders like Sam Altman, Keith Rabois, Jed McCaleb and others.

Elon Musk has ties to both Sam Altman and Stripe, being that his platform X uses Stripe as a verification platform, now that he stopped using Israel-based AU10TIX.

Mobilecoin had its greatest price jump (over 500%) when it was announced that Elon’s X platform may use Signal’s protocol for encryption. Mobilecoin was already partnered with Signal at that time, giving reason for the sudden price jump in the token (MOB). In 2024, Elon also created a new part of X called “XPayments” where payments can be made on X (likely both fiat and crypto) directly through the app. This sets up Mobilecoin or Stellar as a likely candidate for integrating with XPayments.Image
Image
Image
Image
Mobilecoin & Signal
Thread
7/ 13

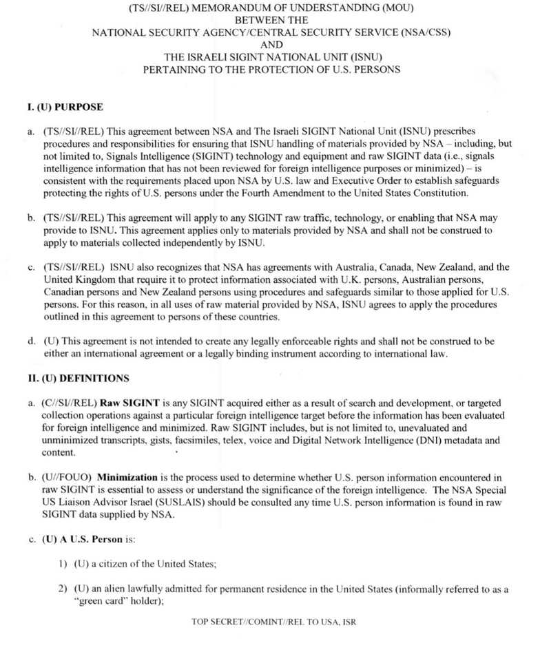
X, Signal and Israel

Mentioned in the last part of this thread (6), Elon changed his identity verification from an Israel-based company, AU10TIX, to Stripe.

X’s Senior Policy Domain Specialist is a former IDF (Israel Defense Forces) member and former Office of the Prime Minister of Israel associate, Michal Totchani, who Elon hired once he took over X in late 2022.

Signal Technology Foundation (Signal) has Israel connections through a company called Paragon.

Paragon, a Tel Aviv-based smartphone surveillance startup has direct relationship with Signal Technology Foundation.

Paragon Solutions doesn’t have a website. There’s very little information at all about them online. Co-founded by Ehud Schneorson, the former commander of Israel’s NSA equivalent, known as Unit 8200. The other cofounders - CEO Idan Nurick, CTO Igor Bogudlov and vice president of research Liad Avraham - are ex-Israeli intelligence too. Also on the board is cofounding director and former Israeli prime minister Ehud Barak. They also have a significant American financial backer: Boston, Massachusetts-based Battery Ventures.

Ehud Barak, former Prime Minister of Israel, was a close friend of Jeffrey Epstein, a Mossad agent and blackmailer. Ehud Barak and Epstein also co-funded an AI surveillance company called Carbyne, with other funding from Peter Thiel. It also happened to be first launched in Colorado, US where Thiel’s Palantir (AI) company is headquartered.

Paragon has been said to be Abel to crack both WhatsApp and Signal encryption, while providing Israel with that information.

As mentioned, all founders and leaders of Paragon are tied to Israel intelligence, specifically Unit 8200, the NSA equivalent for Israel. Edward Snowden, an endorser of Signal, also warned how Unit 8200 received raw, unfiltered data on many US citizens as part of an “agreement” with the NSA. He also mentioned that the NSA and FBI are “aware” of Signal’s potential and encryption capabilities, possibly hinting at the likelihood it is not entirely secure, at least not from intelligence agencies, including that of Israel.

Unit 8200 specializes in encryption and decryption, specializing in signal intelligence, or SIGNET. Unit 8200 also has a “Central Collection Unit” referred to as “Israel SIGNET National Unit” (ISNU)Image
Image
Image
Image
Mobilecoin & Signal
Thread
8/ 13

Peter Thiel, WhatsApp, Signal and Israel

As mentioned in the previous part of this thread (7), Israel has an agreement with the US NSA to receive “raw, unfiltered data on US citizens” through the Unit 8200 (SIGNET division). Also mentioned earlier, Paragon is used to hack WhatsApp and Signal, likely with US approval, to give information back to Israel as part of their agreement.

Peter Thiel funded a company called Boldend, a spyware company marketing itself as an American competitor to the Israel NSO Group that does business with Raytheon. Boldened targeted and hacked WhatsApp, bypassing their encryption security. It appears the company is used to target companies for “cyber warfare” specifically.

Ron Gula, CEO of Boldend, founded Tenable Network Security, which is backed by In-Q-Tel, the CIA investment branch that also funds Thiel’s Palantir AI spyware company.

Both Boldend and Paragon are complicit in “hacking” WhatsApp and Signal encryption, relaying that data back to Israel’s SIGNET/ 8200 Unit (subset of IDF and Mossad).

However, both companies appear to be targeting these messaging apps with permission from NSA (US government) to allow Israel to use and decrypt the data.

In 2020, Jared Kushner was criticized for using WhatsApp to relay communications during COVID to his teams, conducting government related business through the app. This was made public when it was found WhatsApp is less secure than originally thought and they suffered a “hack” by the Thiel funded Boldend company.

As mentioned, Peter Thiel also has funding in the former Israeli Prime Minister Ehud Barak/ Jeffrey Epstein Israeli AI spyware company, Carbyne.

Peter Thiel is now an outed FBI informant, perhaps collecting data and information for the FBI and intelligence agencies for many years, or being blackmailed by the intelligence agencies to “hack” these private companies on their behalf, to reduce exposure and liability for the US government.Image
Image
Image
Image
Mobilecoin & Signal
Thread
9/ 13

PayPal Mafia and Signal/ Stripe

Signal was awarded the “Levchin Prize for real-world cryptography” by Max Levchin in 2017. Max Levchin is former PayPal mafia leader and founder of Affirm. Levchin praised Signal’s encryption protocol and said he uses it “every 10 seconds”.

Max Levchin is also a Series A funder of Stripe, a partner of X (Twitter) and Stellar funder. Max Levchin co-founded a security company called Confinity that created “PayPal” program, that was turned into “X .com” in 2000, before the name was changed to PayPal in 2001 and Elon was pushed out and replaced with Peter Thiel.

PayPal Mafia, including Levchin, Thiel and Musk, are all tied to Stripe through early funding. Stripe is a competitor to PayPal, with a modern approach to adding crypto and social media upgrades recently. PayPal has even created their own stablecoin (PYUSD). Stripe likely will stay with Stellar (XLM) or use Circle (USDC) which has a close relationship with Stellar as a rail.Image
Image
Image
Mobilecoin & Signal
Thread
10/ 13

Mobilecoin and Long Now Foundation

Mentioned in the beginning of this thread, Mobilecoin was the first member of Long Now Foundation, a group of technology futurists.

Long Now Foundation staff includes:

John Brockman > Edge Foundation, Epstein and Joichu Ito freind
Patrick Collison > Stripe co-founder, Stellar funder
Alexander Rose > Mobilecoin
Zander Rose > Mobilecoin
Renee Węgrzyn > DARPA
Esther Dyson > Epstein and Barney Pell friend
Danny Hillis > MIT Media Lab
Violet Blue > Jacob Appelbaum accuser, Cypherpunk relations
Paul Saffo > Singularity with Barney Pell, David Bray (Mobilecoin)
George Church > Epstein donor for several businesses, mostly biotech co’s

Peter Thiel is the leading funder, along with some funding from Jeff Bezos, of Long Now Foundation.

Many people part of Long Now Foundation are also members of Edge Foundation, a transhumanist advocacy group created by and funded by Jeffrey Epstein and Peter Thiel.

Long Now Foundation also inspired Github’s Arctic Archive

Github is founded by Nat Friedman, who has many ties to cypherpunks and crypto leaders. Github is also funded by and tied to Thrive Capital (Kushner VC), Sequoia Capital, Andreessen Horowitz, Daniel Gross (IDF/ OpenAI), Microsoft, OpenAI +Image
Image
Image
Image
Mobilecoin & Signal
Thread
11/ 13

Signal has close connections to DuckDuckGo and US intelligence agencies

Signal was co-founded by Moxie Marlinspike and Brian Acton.

Brian Acton founded WhatsApp and DuckDuckGo.
Earlier in this thread, it was mentioned that both Signal and WhatsApp could be “hacked” by Israel intelligence through the telecom company Paragon. The NSA has an agreement with 8200 Unit (Israel Mossad/ IDF) that allows Israel to receive raw data on US citizens, including through both Signal and WhatsApp.

DuckDuckGo, a company owned by Brian Acton that was created to compete with Google as a search engine that does not share or sell data, has funding from Thrive Ventures (Kushner VC) and Scott and Cyan Banister of PayPal mafia

Freedom of the Press Foundation made donations to Open Whisper System. FOTPF has donors that include: DuckDuckGo, Open Society (Soros), Mozilla Foundation

Mozilla staff include: Stellar CEO Denelle Dixon, Interledger Protocol CTO Alex Lakatos, Reid Hoffman of PayPal Mafia, Renee DiResta of Mobilecoin/ CIA, Joichi Ito of MIT Media Labs and Epstein close friend + other leaders in crypto and AI.

DuckDuckGo donated at least $25,000 to The Tor Project, a network with a group of volunteer-operated servers that allows people to improve their privacy and security on the Internet. Some of the leading people involved with Tor Project are also apart of Mobilecoin and have worked with or for the US government agencies such as NSA, CIA, DARPA and DoD, including Jacob Appelbaum and Isis Lovecruft. Tor Project has direct donations/ funding from the US DoD, DARPA and State Department.

Glen Greenwald is a board member of Freedom of the Press Foundation (FOTPF). Glen Greenwald was also the reporter who Edward Snowden gave his information to while rejecting from the NSA/ CIA when he went rouge with classified information. Glen Greenwald helped him travel, remain under the radar, and made the information public. Edward Snowden was his source for his books as well.

Glen Greenwald is also founding editor of The Intercept, which received its’ funding from Building a Stronger Future Foundation of $500,000 which came from Sam-Bankman Fried of FTX, now convicted of fraud, money laundering and bribery.Image
Image
Image
Image
Mobilecoin & Signal
Thread
12/ 13

Elon Musk, Peter Thiel, and even Donald Trump, have made critical remarks about Google in the last couple years, more so recently than ever.

DuckDuckGo is a competitor of Google, being a search engine that does not sell information or data, unlike Google. Google also is a large “too big to fail” conglomerate (Alphabet).

Donald Trump has been asked, and has considered the idea of, breaking up big tech companies like Google that are taking over the market space making it hard to compete fairly in the US.

Peter Thiel has criticized Google of being controlled by Chinese influences, essentially bending the knee to the CCP.

Elon Musk has said that Google sensors and shares misinformation that only suites the far-left, manipulating people’s perception of honest information. (Similar to what Thiel claims without placing direct blame on China)

Both Trump and Musk claimed that Google likely manipulated the 2020 election as well.

DuckDuckGo, like Signal, has the idea of not selling data of its’ users. This is what appeals the people like Musk, Snowden, Thiel, and Trump. Also, DuckDuckGo and Signal have direct ties to the same founder, Brian Acton who helped start both companies, along with the help of several others like Moxie Marlinspike.Image
Image
Image
Mobilecoin & Signal
Thread
13/ 13

Bob Lee is the co-founder of Cash App with Jack Dorsey and was Chief Product Officer at Mobilecoin. Bob Lee was stabbed to death in April 2023.

He was also a software engineer at Google, and CTO of Block (Square), a company started by Jack Dorsey.

Jack Dorsey was the previous owner and founder of Twitter before selling to Elon Musk.

Bob Lee was invested in Elon Musk’s SpaceX and Figma.

Bob Lee was friends with Steve Jurvetson, who also funds Elon’s SpaceX as well as several other of Elon’s companies, as well as Mobilecoin where Bob Lee was CPO.

Figma lead investor, Nat Friedman, has ties to many cypherpunks, being apart of the Computer Chaos Club as well, who many have worked with Mobilecoin and/ or Signal. Nat Friedman is also a board member of Stripe, and investment partner of Alameda Research (funder of Mobilecoin). Figma has funding from Founders Fund (Thiel) as well. The CEO of Figma, Dylan Fields, is also a Thiel Fellow.

Bob Lee was said to be on a major drug-filled binge week, causing him to attack the person who is on trial for murdering him, making it a self-defense case rather than murder. Bob Lee and his accuser’s sister have been to many sex, drugs and swinger parties together.Image
Image

• • •

Missing some Tweet in this thread? You can try to force a refresh
 

Keep Current with XX_1133_1221_11

XX_1133_1221_11 Profile picture

Stay in touch and get notified when new unrolls are available from this author!

Read all threads

This Thread may be Removed Anytime!

PDF

Twitter may remove this content at anytime! Save it as PDF for later use!

Try unrolling a thread yourself!

how to unroll video
  1. Follow @ThreadReaderApp to mention us!

  2. From a Twitter thread mention us with a keyword "unroll"
@threadreaderapp unroll

Practice here first or read more on our help page!

More from @XX_1133_1221_11

Oct 18
Sun Microsystems, Netscape, AOL, Mozilla +

Thread
1/ 10

Sun Microsystems
Oracle/ Israel
Netscape/ AOL
Mozilla Foundation
Microsoft
Infospace
XX Network/ Mixx Labs
Ripple
Stellar
Singularity University
+

Andreas Bechtolsheim
Vinod Khosla
Larry Ellison
Dave DeWalt
Steven Waterhouse
Olivier Janssens
John Doerr
James Clark
Barney Pell
David Chaum
Chris Larsen
Naveen Jain
+Image
Image
Image
Sun Microsystems, Netscape, AOL, Mozilla +
Thread
2/ 10

Sun Microsystems
Part I:

Sun Microsystems co-founders include Andreas Bechtolsheim and Vinod Khosla, amongst several others.

Andreas Bechtolsheim was charged with insider trading by the SEC for the 2019 Cisco acquisition of Acacia Communications.

Andreas also has funding in Diamond Foundry, a diamond company with board member Wendi Murdoch with funding from others including: Leonardo DiCaprio, Vast Ventures (Company with ties to Jed McCaleb and Chris Larsen, Ripple’s co-founders), Jeff Skoll (Epstein friend), Scott Banister of PayPal mafia) and Matias de Tezanos of PeopleFund (investor of Singularity by Barney Pell and other transhumanists and cryptographers in this thread)

Andreas made an early $1.1M seed and pre-seed investment of Google, making a small fortune from their success.

Vinod Khosla, with deep ties to crypto company investments, was also an associate of Jeffrey Epstein. Vinod now runs Khosla Ventures, a VC that has funding in:
Stripe (Stellar funder)
Chain (Stellar/ Interstellar joint company)
Oscar Health, Cadre (Kushner Companies)
Lattice (Altman company)
WorldCoin (Altman company)
RainAI (Chip manufacturer for OpenAI, both Altman companies which is backed by Sound Venters Ashton Kutcher and Kushner brothers as well)
OpenDoor (Keith Rabois of PayPal mafia, Stellar board)
Affirm (Max Levchin of PayPal mafia)
Blockstream (Crypto company backed by Reid Hoffman of PayPal mafia along with other leading early cryptographers allegedly tied to Satoshi Nakamoto)
Vinod is an advisor for Deep Genomics, a company backed by Steve Jurvetson, a close Musk associate and funder, as well as a member of Creative Destruction Lab with Barney Pell, Musk’s ex Shivon Zilis, and several others.
Vinod’s wife works with Joichi Ito’s sister, Mimi Ito, at Wikimedia Foundation, backed by Open Society. Joichu Ito was director of MIT Media Labs where Epstein donated millions to fund crypto and AI related projects and Joichu Ito was a good friend of Epstein. Furthermore, Mimi’s husband, and Joichu Ito’s brother in-law, is Scott Fisher, who worked with Barney Pell at NASA for a short while, and was Nicholas Negroponte’s advisee at MIT. Nicholas Negroponte is founder of MIT Media Labs with ties to Epstein as well.

Vinod is a member of the Epstein funded “Edge Foundation” along with other major transhumanists, AI, crypto and healthcare leaders

Eric Schmidt joined Sun Microsystems in 1983, he went on to be long time board member, director and even CEO of Google, as well as Alphabet, its’ parent company. Schmidt also was CEO of Novell from 1997 to 2001 after leaving Sun Microsystems.

Novell employed cypherpunk Chris Toshok of Netscape.

Eric Schmidt also worked at Palo Alto Research Center (PARC), where Barney Pell of Powerset and Microsoft worked while at Stanford. Many big tech companies came out of PARC and Stanford during the early internet age.Image
Image
Image
Image
Sun Microsystems, Netscape, AOL, Mozilla +
Thread
3/ 10

Sun Microsystems
Part II:

Sun Microsystems was acquired by Oracle in early 2010. Oracle was founded by Larry Ellison, who at the time was CEO.

Larry Ellison was a board of director for Tesla, Elon Musk’s company, and an investor in Theranos, the fraudulent biotech company founded by convicted Elizabeth Holmes.

Ellison is also a huge donor and supporter of Israel and their IDF (Israel Defense Forces). He has personal relations with their Prime Minters, President and high ranking military and intelligence leaders, including Mossad.

Larry, like Vinod Khosla, had relations with Jeffrey Epstein through several channels, including Israel Prime Minister Ehud Barak, Benjamin Netanyahu, and Larry Summers, Marc Benioff, Steve Jobs, Elon Musk and several others who had indirect or direct relations with Epstein.

Dave DeWalt who has ties to Sun Microsystems and worked with Oracle at executive positions is a board member of Mossad/ IDF backed TEAM8.

Dave DeWalt also is a senior member of the advisory board for Silver Lake, a company that Brad Garlinghouse of Ripple is an advisor for.

Three other executive level employees of Sun Microsystems, Bill Coleman,Edward Zander, and Michael Marquardt, all work or worked for Seagate, a company that has funded several rounds of Ripple.

Olivier Janssens worked at Sun Microsystems in 1999-2001. He also was a Bitcoin investor since at least 2010 and worked with the Bitcoin Foundation as a board member. Olivier Janssens is also married into the family of the last King of Italy, King Umberto II.Image
Image
Image
Image
Read 10 tweets
Sep 28
Rothschild, Soros & Rockefeller
Thread
1/ 7

James Rothschild
RIT Capital Partners (Rothschild Investment Trust)

George Soros
Soros Fund Management

David Rockefeller
Venrock

Connections to Ripple, Polysign, Relationship Science, Palantir + Image
Rothschild, Soros, & Rockefeller
Thread
2/ 7

James Rothschild
RIT Capital Partners (Rothschild Investment Trust)

Investments include:
Kraken
Animoca Brands
Paxos
Relationship Science
Aspen Digital

Aspen Digital funding from:
RIT (Rothschild Investment Trust)
Chatchaval Jiaravanon
Liberty City Ventures
SNZ Holdings

Both RIT and Liberty City Ventures fund:
Animoca Brands
Aspen Digital
Paxos
Bitgo

Animoca Brands funds Ripple’s Mintable NFT platform, along with Ashton Kutcher through his Sound Ventures, Ashton Kutcher is a Ripple promoter)

Kraken’s founder and former CEO Jesse Powell funded Ripple in 2012 when it was founded.

Chatchaval Jiaravanon is Lightens/ Velo co-founder (Velo acquired Interstellar from Stellar and Chain, Jed McCaleb is advisor for Lightnet and Velo, founder of Ripple and Stellar)

SNZ Holdings funds Mask Network which is also funded by:
Animoca Brands
Hard Yaka (Ripple CRO Greg Kidd founded) > Which also funds Ripple ties Uphold, Global ID, Puma Browser (All tied directly to Ripple money and people)
Dapper Labs (Funded by George Soros, Soros Fund Management)

Paxos is funded by:
RIT (Rothschild Investment Trust)
Liberty City Ventures
PayPal Ventures
Mithril Capital (Thiel VC)
RRE Ventures

Bitgo has funding and relationships with several people, including Ashton Kutcher, who are invested or worked with Ripple and or funded Ripple.Image
Image
Image
Image
Rothschild, Soros, & Rockefeller
Thread
3/ 7

Animoca Brands is funded by:
RIT Capital Partners (Jacob Rothschild)
Soros Fund Management (George Soros)
IDG Global (Ripple funder)
GGV

GGV funds Animoca Brands and owned by Vocera Communications, which is owned by:
Venrock (Rockefeller VC)
RRE Ventures (Ripple funder)

Soros Fund Management (George Soros) funds:
Polysign (Ripple subsidiary co-founded by Davdi Schwartz and Arthur Britto of Ripple)
Ripple acquired Standard Custody & Trust company, a subsidiary of Polysign

GSR also funds Polysign, as well as Assembly which is funded alongside LightNet by Signum Capital (Lightnet > Chatchaval Jiaravanon > Stellar/ interstellar/ Jed McCaleb/ Aspen Digital/ RIT Rothschild)

Polysign is also funded by Colleen Sullivan, who is tied to Soros Fund Management who both funded Michael Saylor’s MicroStategy, the largest Bitcoin promoter and fund management, along with Silvergate, defunct crypto bank owned by Soros Fund Management (George Soros)

In 2021, Nathaniel Rothschild reposted a tweet about Ripple and Jed McCaleb’s 'Tacostand' wallet (when he was selling XRP) and commented “What if Jed McCaleb was part of the plan?”
Jed McCaleb being the co-founder of both Ripple and Stellar.Image
Image
Image
Image
Read 7 tweets
Sep 24
Ron Burkle Thread
1/ 10

Ron Burkle and his direct (and indirect) ties to Ripple, pedophiles, billionaires, the Holy See and more:

Ripple
A-Grade Investments
Ashton Kutcher
Relativity Media
Bill Clinton
Kevin Spacey
Diddy
DiCaprio
Michael Jackson Ranch
Jeffrey Epstein
Opus Dei/ Catholic Church/ Holy See
AXA
Paul Singer
Barnes & Noble
Bill Ackman
Mary Jo White
Pharma/ Biotech
Relationship Science
Stanley Druckenmiller
George Soros
Polysign
Palantir
Harlem Children’s Zone
Ken Langone
+Image
Ron Burkle Thread
2/ 10

A-Grade Investments

Ron Burkle is the financial backing and parter of A-Grade Investments which is co-founded by his friend Ashton Kutcher and Guy Oseary

Ashton Kutcher and Guy Oseary have promoted Ripple by donating $4,000,000 worth of XRP to Ellen DeGenerous on her own show, to use for charity work.

A-Grade Investments (Kutcher, Oseary and Burkle) has investments in:

Vicarious, a mega-AI company backed by several of the world’s richest tech leaders including Jeff Bezos, Sam Altman, Mark Zuckerberg, Peter Thiel, Elon Musk, Marc Benioff, Garry Tan (Ripple seed investor), Vinod Khosla (Epstein ties), and others

Airbnb, a start up backed by Sam Altman, Kevin Hartz, Keith Rabios (PayPal Mafia/ Stellar board), Elad Gil, Reid Hoffman (PayPal Mafia, Epstein friend), Jeff Bezos, Peter Thiel, Silver Lake (Brad Garlinghouse of Ripple on board), Tiger Global (Ripple funder) and others

BitGo, a crypto company backed by Elon associated Valor Equity Partners (Antonio Gracias), Mike Novogratz, Goldman Sachs, Barry Silbert/ DCG, David O. Sacks, Pantera Capital (McCaleb ties), Ben Davenport, Jeff Skoll (Epstein close friend), Peter Thiel’s Founder Fund, Brock Pierce (Epstein associate and crypto leader from early days)

Flexport, a freight and logistics company with close ties to Peter Thiel’s circle and Palantir. Trae Stephens of Palantir is a board member, Anja Manuel is an advisor who also sits on the board of Ripple. Flex port has funding from: Garry Tan (Ripple seed investor), Google Ventures (Ripple seed investor), OpenGov (Joe Lonsdale of Palantir company), Trae Stephens/ Founders Fund (Thiel), Scott Banister (PayPal mafia), 8VC (Joe Lonsdale’s VC), and several othersImage
Image
Image
Ron Burkle Thread
3/ 10

Ron Burkle founded Relativity Media company.

Relativity Media company acquired Trigger Media Company, which was founded and ran by Kevin Spacey, a known Epstein and Maxwell friend, whom also flew on Jeffrey Epstein’s infamous “Lolita Express” with Bill Clinton and visited the “pedo island”. There is even a photo of Spacey and Maxwell sitting on thrones at Buckingham Palace. (Its also known that Prince William of Buckingham Palace was a good friend of Jeffrey Epstein as well)

Relativity Media is also funded by (besides Ron Burkle), Paul Singer’s Elliot Investment Management and The Yucaipa Companies (More on them in the following posts)Image
Image
Image
Image
Read 10 tweets
Sep 18
Wendi Deng Murdoch and Rupert Murdoch

Thread on Wendi and Rupert Murdoch connections
1/ 9 Image
Wendi Deng Murdoch and Rupert Murdoch
2/ 9

Wendi Deng Murdoch is a Chinese-born American entrepreneur, investor, film producer, and collector of Chinese contemporary art. She was married to Rupert Murdoch from 1999-2013
Rumors circulated publicly, around 2012, that Wendi was likely a Chinese spy or worked with the Chinese government in some capacity. This was possibly a reason of her separation from Murdoch (aside from a more commonly accepter reason that it was from an affair).

When Donald Trump was elected, several US officials warned the Trump family, especially Ivanka Trump and Jared Kushner, to stay away from Wendi, as they believed she was a Chinese spy, pushing a Chinese influence on the new administration. Ivanka and Jared were close friends with Wendi, even before Donald Trump became POTUS.

Some of Wendi’s social and professional circles include: Ivanka Trump, Jared and Joshua Kushner, Willam Zabel.Image
Image
Image
Wendi Deng Murdoch and Rupert Murdoch
3/ 9

Wendi Murdoch, “Artsy” and other Investments

Wendi has a great appreciation for and collection of art, especially Chinese art. She is a leading investor of “Artsy” app, the world’s largest online art marketplace. Other lead investors include Peter Thiel, Joshua Kushner (Jared’s brother), and Jack Dorsey. All three of these men have close connections and similar investments in the AI and crypto space, as well as other markets including real estate and overlapping social circles.

Wendi is invested, along with Peter Thiel, in Jared and Joshua Kushner’s companies “Oscar Health” and “Cadre”.

Wendi is also an investor in ByteDance, the parent company of TikTok with Chinese origins.

Wendi is closely knit with the pharmaceutical/ biotech industry through investments and social relations, including the Kushner’s Oscar Health and 23&Me, for example.Image
Image
Read 9 tweets
Sep 12
A short story about 9.11 and some unspoken “coincidences” and friends

9.11 Short Story Thread
1/ 5

George W Bush
Wirt Dexter Walker III
Barry McDaniel
Dick Cheney
Bruce Francis Bradley

Stratesec
Kuwait American Corporation
Bradley Woods & Co.
Lancaster Systems & Solutions

9.11Image
9.11 Short Story Thread
2/ 5

The Story Part 1

Image
Image
Image
9.11 Short Story Thread
3/ 5

The Story Part 2

Image
Image
Image
Read 7 tweets
Sep 7
Flare Network
Thread
1/ 6

Connections and funding of Flare Network and Hugo Philion, the co-founder. Image
Flare Network
Thread
2/ 6

Hugo Philion is co-founder of Flare Network, along with Sean Roawn and Nairi Usher

Hugo, and now Flare, are based out of Dubai, Saudi Arabia, one of the largest money laundering and criminal harboring epicenters of the world.
Flare was originally founded in 2019 and based in British Virgin Islands, another safe haven for money laundering criminals.Image
Image
Image
Flare Network
Thread
3/ 6

Funding of Flare Network (Not all funders are including here):

Ripple (Xpring) > Also funded by Chinese entities

Aves Lair > China and Google ties (Google joined Flare’s network of Validators in early 2024)

Kenetic > Chinese VC, also invested in: Puma Browser (Ripple), Worldcoin, Securitize (Ripple funded), FTX, Terra, Polkadot, 0x +

Charlie Lee (Litecoin founder, F-Assets include LTC)

Wave Digital Assets > Also funds: Securitize (Ripple funded), Casper Labs (China ties) +

Do Kwon (Terra founder, SEC fraud case, money laundering, bribery through crypto)

cFund (Charles Hoskinson > Lifeboat Foundation, Epstein, Cardano founder)

Digital Currency Group > Angel investor of Ripple, Circle (USDC), Kraken (Ripple funder), Worldcoin, Hedera +

ZB dot com (.com) > China ties, Casper Labs (China ties), CERE Network (Arrington Capital XRP funded, Ripple ties)

LD Capital > Funds CERE Network (Again, Arrington Capital XRP), Assembly (IOTA/ China ties)

Borderless Capital > Investor of Security (mostly Ripple funded)

Wintermute Ventures > Funded by another Flare Network and Chinese VC, Kenetic
+Image
Read 6 tweets

Did Thread Reader help you today?

Support us! We are indie developers!


This site is made by just two indie developers on a laptop doing marketing, support and development! Read more about the story.

Become a Premium Member ($3/month or $30/year) and get exclusive features!

Become Premium

Don't want to be a Premium member but still want to support us?

Make a small donation by buying us coffee ($5) or help with server cost ($10)

Donate via Paypal

Or Donate anonymously using crypto!

Ethereum

0xfe58350B80634f60Fa6Dc149a72b4DFbc17D341E copy

Bitcoin

3ATGMxNzCUFzxpMCHL5sWSt4DVtS8UqXpi copy

Thank you for your support!

Follow Us!

:(