David Sinclair Profile picture
Oct 29 7 tweets 2 min read Read on X
Effect of longevity interventions on epigenetic clocks:

Strongest:
1. Arthritis therapy/anti-TNFa
2. Metformin
3. HBOT
4. AC-11
5. Bypass
6. Ketamine
7. Vegan/Mediterranean

No effect:
1. Rapamycin
2. Omegas
3. Exercise
4. Vitamin B
5. CR/IF
6. Ozempic
7. Follistatin
More ⬇️ Image
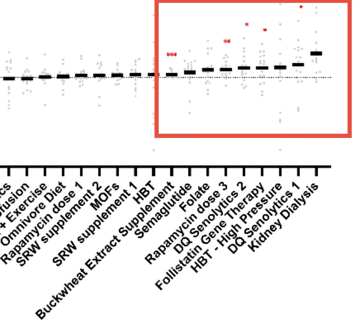
DNA methylation (DNAme) age reductions. Red asterisks represent statistical significance
* P<0.05; ** 0.01; *** 0.001 Image
No effect on DNAme age: Image
Negative effect on DNAme age: Image
Blood biomarkers that serve as proxies for DNAme age and diets:

CystatinC - kidney function
HBA1c - glucose / diabetes
CRP - inflammation/ heart disease
ALK - liver / bone health
Triglycerides - serum fat / heart disease Image
From the Longevity Interventional Studies Community & lab of Albert Higgins Chen @YaleMed. The manuscript can be accessed @biorxivpreprint and has not yet been peer reviewed and might change during this process - like defining what “ART” is 🙏
biorxiv.org/content/10.110…
@YaleMed @biorxivpreprint Why might ketamine change DNAme? Ketamine can reduce methylation at specific sites within the BDNF gene, potentially improving brain health, which might positively affect other cells and blood biomarkers. Or maybe it acts via peripheral nerves 💪

• • •

Missing some Tweet in this thread? You can try to force a refresh
 

Keep Current with David Sinclair

David Sinclair Profile picture

Stay in touch and get notified when new unrolls are available from this author!

Read all threads

This Thread may be Removed Anytime!

PDF

Twitter may remove this content at anytime! Save it as PDF for later use!

Try unrolling a thread yourself!

how to unroll video
  1. Follow @ThreadReaderApp to mention us!

  2. From a Twitter thread mention us with a keyword "unroll"
@threadreaderapp unroll

Practice here first or read more on our help page!

More from @davidasinclair

Oct 23
Luteolin is a molecule found in cannabis & some vegetables. New study says it may bind to the NAD-dependent SIRT1 enzyme to activate protein recycling, thereby protecting rats from arterial calcification🫀


But is luteolin safe in humans? … 🧵 tinyurl.com/2an7vfcdImage
Luteolin, a polyphenols, is found in small quantities in many plants and plant products we eat, such as mint, tomatoes, celery, broccoli, artichoke, oranges, parsley, thyme, rosemary and even honey… Image
In rodents, luteolin has also been shown to protect against cancer and obesity
cell.com/heliyon/fullte…Image
Read 13 tweets
Sep 22
Exciting! Belmonte lab reports OSK-reprogramming of old (p16+) cells increases wound healing & the lifespan of mice without causing cancer. Bodes well for human trials @lifebiosciences beginning next year 🚀🧵 tinyurl.com/249f3tpm
Image
The Belmonte lab has been a leader in the reprogramming field since they showed OSKM could improve health and extend the lifespan of a prematurely aging LMNA mouse strain. Here they reprogram senescent cells of these and normal mice and show it safely extends lifespan 🐁 Amazing…Image
Since that first Belmonte paper, most labs have been using the four Yamanaka factors to reprogram cells in mice, namely Oct4, Sox2, Klf4 and c-Myc (OSKM). We prefer using OSK without c-Myc because it’s safer and cells better retain their identity. That’s what Belmonte and colleagues did…
nature.com/articles/s4358…
Read 7 tweets
Aug 20
Restricting calories by 12% significantly slows the rate of human aging 🥗⏰ 🧵 nature.com/articles/s4358…
Image
A custom DNA methylation lock was created to measure the biological aging of CALERIE trial subjects
CALERIE stands for Comprehensive Assessment of Long-term Effects of Reducing Intake of Energy study
Read 9 tweets
Aug 3
Leonard Hayflick, the scientist who discovered the cellular replication limit and a pioneer in aging research, has died. I remember him fondly as a kind man who faced much criticism for his radical ideas about aging… 🧵 Image
Dr. Hayflick discovered the Hayflick limit: that normal human cells have a finite number of divisions before they stop. This challenged the then-prevailing belief that cells could divide indefinitely Image
Hayflick's findings faced angry skepticism. A prominent doctor studying chicken cells, Alexis Carrel, claimed that all cells divide forever, dismissing Hayflick's results
Image
Image
Read 12 tweets
Aug 3
Exciting new research shows retrotransposons, ancient viruses making up ~1/2 our DNA, can create precise biological clocks to measure our rate of aging. This is the tip of the iceberg… 🧵 Image
In the 1940s, Barbara McClintock discovered that retrotransposons, or “jumping genes,” cause color variety in corn by moving within the genome and disrupting pigment genes, earning her the Nobel Prize in 1983 🌽🥇 Image
A retrotransposon insertion is also responsible for albinism in snakes m.x-mol.net/paper/article/…
Image
Read 16 tweets
Jul 26
Exciting preprint from @OcampoLab which “strongly supports the concept that loss of epigenetic information directly drives the aging process” and altering this “could potentially slow down or reverse age-related decline.” 🧵 tinyurl.com/3xkmtbbd
Background: DNA is wrapped around proteins called histones. Tight bundling of histones turns genes OFF, and loose bundling tends to turn them on. Bundling is mediated, in part, by the addition and subtraction of chemicals on histones such as methyls (note: shorthand for 3 methyls stuck on amino acid #9 of histone 3 is “K9me3”) - stick with it…Image
The authors make a mouse strain in which they can turn off the three histone methyl transferases (the enzymes that make H3K9me3). This disrupts gene regulation, alters the epigenome, and the mice undergo what looks alot like premature aging 😮 Image
Read 8 tweets

Did Thread Reader help you today?

Support us! We are indie developers!


This site is made by just two indie developers on a laptop doing marketing, support and development! Read more about the story.

Become a Premium Member ($3/month or $30/year) and get exclusive features!

Become Premium

Don't want to be a Premium member but still want to support us?

Make a small donation by buying us coffee ($5) or help with server cost ($10)

Donate via Paypal

Or Donate anonymously using crypto!

Ethereum

0xfe58350B80634f60Fa6Dc149a72b4DFbc17D341E copy

Bitcoin

3ATGMxNzCUFzxpMCHL5sWSt4DVtS8UqXpi copy

Thank you for your support!

Follow Us!

:(