SARS was Bioterrorism Part 2: Amoy Gardens

I recently posted a thread about the Metropole Hotel incident which started the SARS epidemic when 20 people were infected by an index case staying in room 911. Most think the room number is just a coincidence - I don't. 🧵 Image
For one, there are nearly 500 rooms in the hotel, so it's a very unlikely co-incidence. Secondly, it came soon after another bioterrorism incident - the anthrax killings - in which 911 was referenced by the terrorist/s to assert a link, genuine or not.

Some more context... Image
In 1999, the PLA published a book by two senior Airforce colonels. The title translates as "war without bounds", or "Unrestricted Warfare". The authors recognize the technical superiority of the US military, and propose a hybrid style of warfare using unconventional tactics. Image
They draw inspiration from hackers, financial traders, drug barons and terrorists who they recognize have already exposed vulnerabilities in western society and economies. Osama Bin Laden is mentioned often, though he was yet to commit his most notorious crime. Image
They admire Bin Laden for wrecking US strategy in Africa with his destruction of US embassies in Kenya and Tanzania - using a simple truck bomb. They also highlight his evasion of attribution. While other terrorists boast of their kills, Bin Laden denies all responsibility. Image
They note the way Bin Laden finances operations through a network of shelf companies and registered charities, which operate legally even in western countries, funneling money from drug trafficking, arms reselling, counterfeiting, along with donations from religious followers. Image
They even mention in passing that planes might be used as a weapon. It isn't explained how, but perhaps someone read and drew inspiration from this. Image
Another group they discuss is the Japanese doomsday cult Aum Shinrikyo. In 1995 released Sarin onto 5 lines of the Tokyo metro killing 13 people, severely injuring 50 and temporarily blinding 1000.

How did they do it? Image
The cult improvised a way of aerosolizing a toxin and dispersing it in a particular direction, using simple off the shelf components - a pump, heater and a fan placed in the back of a truck. They also built a rudimentary containment lab to manufacture the sarin. Image
Image
China has since refined the design and built aerosolization robots and drones.

Dual use perhaps...? Image
Image
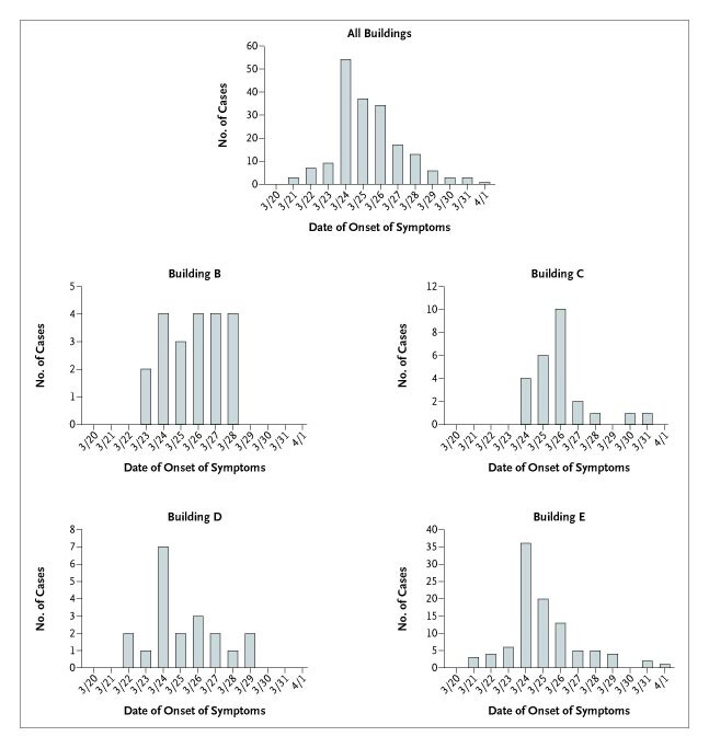
In March 2003, Hong Kong's Amoy Gardens estate was the site of another SARS super-spreader event in which 317 people were infected at once. As with the Metropole, the cause was again something of a mystery and drew the attention of WHO investigators. Image
They determined that the cause was that the index case (a visitor, not resident) had diarrhea. Because of a dry U-trap in the unit above, aerosols generated by flushing the toilet found their way upstairs and to other units above. Image
OK.

But hundreds infected? At the same time? In different units on different floors? In seven different buildings up to 60m apart?

This upends our understanding of viral transmission: SARS can apparently transmit via feces, 60m away, outdoors in a breeze.

That's unprecedented. Image
The WHO claimed the cases in other towers were secondary, but a later paper disputed this. The date of symptoms onset is too close together. If there is any lag in the other towers it is likely due to lower exposure and viral load. They were all infected at the same time. Image
They went to the effort of modeling the airflow, but did they send someone over to forensically inspect the neighboring construction site? Of course not. Bioterrorism is nonsense, some say. Image
To me One Health is nonsense. People interacting more with wildlife? Ecological/climate change driving rapid emergence of new pathogens? Bat viruses switch RBMs with pangolins, instantly gain inserts, turn into wildly transmissible human respiratory ones?

Preposterous.
🦄🧚🤡 Image
Hotel Metropole has not been explained.
Amoy Gardens has not been explained.
The origin of SARS has not been explained.
The origin of MERS has not been explained.
The origin of SARS-CoV-2 has not been explained.

But they can all be explained - parsimoniously - as bioterrorism. Image
And the irreproducible "science" purporting to show natural evolution can be explained - parsimoniously - as disinformation aimed at evading attribution. It is devoured and disseminated by gullible, greedy and/or corrupt western scientists.

Bin Laden would have been impressed! Image
Link to Part 1 - The Hotel Metropole super-spreader event which kicked off the SARS epidemic globally:

• • •

Missing some Tweet in this thread? You can try to force a refresh
 

Keep Current with D. Janković (aka Dog's Breakfast)

D. Janković (aka Dog's Breakfast) Profile picture

Stay in touch and get notified when new unrolls are available from this author!

Read all threads

This Thread may be Removed Anytime!

PDF

Twitter may remove this content at anytime! Save it as PDF for later use!

Try unrolling a thread yourself!

how to unroll video
  1. Follow @ThreadReaderApp to mention us!

  2. From a Twitter thread mention us with a keyword "unroll"
@threadreaderapp unroll

Practice here first or read more on our help page!

More from @breakfast_dogs

Apr 15, 2025
The French Enlightenment

Recently French state media broadcast a documentary skeptical of a natural origin of Covid-19.

This is a watershed in European coverage, and follows tantalizing rumors from German and Italian IC sources.

How sincere is this new openness? 🧵 Image
Image
The media coverage appeared to trigger further action - the French Academy of Medicine declared a lab accident possible, and a group of scientists is calling for a parliamentary commission.

Some French scientists have long been open to an artificial origin - but nuance matters. Image
These include Institut Pasteur's Marc Eloit, author of the Banal sequences These lack an FCS, so leave open that it was artificially inserted.

But they paper over other suspect features e.g. the RBM/NTD with human respiratory and neuro-tropism.

Can this really evolve in bats? Image
Read 29 tweets
Apr 2, 2025
Batsh|t Betsy

@quay_dr recently posted a preprint showing the sequence for bat coronavirus BtSY2 can't be assembled from the raw sequencing data. This is a serious issue.

But there's a Nature paper with Eddie Holmes' name on it.

It got past peer review, so who's right?

🧵 Image
BtSY2 is very important as it's one of only zoonotic viruses 6 with an RBM very close to SARS-CoV-2 - potentially human infectious. It was published in 2023 by Sun Yat-Sen University in Guangzhou, with Eddie Holmes along for the ride. Image
@quay_dr *maybe* missed some data from a second sample they used in their assembly. But this doesn't materially affect his conclusion, as most of these reads overlap.

If he did, he can be excused for missing it because there's a lot of obfuscation that appears quite deliberate.
Read 21 tweets
Mar 24, 2025
Mojiang Mythbusting Part 2

It's crucial to realize the extent of WIV's deceit. They didn't start lying in 2020. Every paper since 2003 helped craft a false narrative. Their goal was misattributing the origin of SARS.

What does this say about the intent behind SARS-CoV-2? 🧵 Image
That WIV discovered RaTG13 in the Mojiang mine seems highly unlikely. Other groups before and after found little, and even WIV claim to have found just 1 SARS-related virus from 276 bats sampled.

Why did they persist when they later say the miners had never been seropositive? Image
The master's thesis published in May 2013, clearly had some input from WIV. But this paragraph was already outdated. WIV uploaded the first bat viruses with human infectious potential just weeks earlier (tho dates don't quite match and location is just "China"). Image
Image
Image
Image
Read 17 tweets
Mar 13, 2025
Was SARS-CoV-2 targeted at our brains?

In 1992, scientists infected primates with a neurotropic strain of mouse coronavirus MHV. This caused a demyelinating disease similar to multiple sclerosis.

This was to understand MS, but drew the interest of the likes of Baric and Weiss. Image
Although the experiment used intracerebral inoculation, a clearly unnatural method of bypassing the blood-brain barrier, the researchers suggested that it may be possible for CNS infection to occur naturally, via the nose or eyes (as had long been known to occur in mice). Image
A later study showed that primate CNS could indeed be infected via the nasal route (using a primate brain passaged strain of MHV). They also inoculated these monkeys using eye drops. Image
Read 7 tweets
Feb 23, 2025
Is Banal-52 fake, and does it matter?

Most people just assume Banal-52 is real. Institut Pasteur has a high reputation. And may think it doesn't matter: because the FCS is absent, it doesn't rule out a lab origin.

But it can tell us why SARS-CoV-2 was engineered, and by who 🧵 Image
Banal-52 shares many features with SARS-CoV-2 linked to tropism, transmissibility, virulence. The FCS is a rare exception.

If it is genuine, it implies these evolved naturally. Daszak has a point. Caves are teeming with pandemic potential viruses that could spillover any time. Image
But if it is fake, it implies SARS-CoV-2 has been engineered extensively. It is neither natural, nor an "experiment gone wrong". It isn't just a bat virus into which someone stupid inserted an FCS. It has multiple features intended to harm human health.

It is a bioweapon. Image
Read 14 tweets
Feb 18, 2025
How did the coronavirus get its RBM?

Some time ago SARS-1 and SARS-CoV-2 had a common ancestor. Parts of their genomes are similar, but many functionally important regions are very different. These appear to have evolved by a very unusual - or unnatural -
cut-and-paste process🧵 Image
Molecular evolution has well established mechanisms:

•substitution (frequent) a single base changes to another
•deletion (uncommon) usually only a few, and a multiple of 3 is preferred
•inserts (rare) as above
•recombination (very rare) Image
There's another type of mutation unusually common between SARS-1 and SARS-CoV-2: where a new sequence has been grafted in place of another. There's no simple explanation. Perhaps they result from 2 or more separate insert/deletion events?

Or they may indicate engineering. Image
Read 27 tweets

Did Thread Reader help you today?

Support us! We are indie developers!


This site is made by just two indie developers on a laptop doing marketing, support and development! Read more about the story.

Become a Premium Member ($3/month or $30/year) and get exclusive features!

Become Premium

Don't want to be a Premium member but still want to support us?

Make a small donation by buying us coffee ($5) or help with server cost ($10)

Donate via Paypal

Or Donate anonymously using crypto!

Ethereum

0xfe58350B80634f60Fa6Dc149a72b4DFbc17D341E copy

Bitcoin

3ATGMxNzCUFzxpMCHL5sWSt4DVtS8UqXpi copy

Thank you for your support!

Follow Us!

:(