Ivan Werning Profile picture
May 12 16 tweets 5 min read Read on X
What should the Fed do with Trump Tariffs?

New paper on 'Monetary Policy in Times of Tariffs' with Guido Lorenzoni & Veronica Guerrieri (link at end)

We show the simplest most intuitive way to approach tariffs is actually correct:

Tariffs = textbook cost-push shock

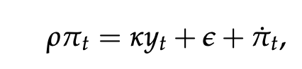
🧵1/NWe study the optimal monetary policy response to the imposition of tariffs in a model with imported intermediate inputs. In a simple open-economy framework, we show that a tariff maps exactly into a cost-push shock in the standard closed-economy New Keynesian model, shifting the Phillips curve upward. We then characterize optimal monetary policy, showing that it partially accommodates the shock to smooth the transition to a more distorted long-run equilibrium—at the cost of higher short-run inflation.
Image
The Fed recently hit the pause button on adjusting rates due to tariffs. A month ago Fed Chair Powell said:

“We may find ourselves in the challenging scenario in which our dual-mandate goals are in tension.” (Speech at Economic Club of Chicago, April 16)

2/N
Our main result: In a simple open-economy model with imported intermediates, a tariff acts AS IF it were a labor wedge in a standard New Keynesian closed economy.

The good: standard results & insights on cost-push shocks directly apply!

The bad: cost push shocks are bad!

3/N
Intuitively, as Powell said, tariffs raise costs and lower productivity. They are a negative supply shock that creates a nastier tradeoff for the dual mandate.

Very intuitive... but international macro models are more involved.

Our result formalizes the simple intuition. 4/N
Translation: Tariffs shift the Phillips curve up.

The central bank faces a tradeoff: control inflation or support output.

It can’t do both.

So what should monetary policy do?... 5/N
We analytically characterize the optimal response.

Spoiler: it involves tolerating inflation—temporarily.
It involves softening the blow of tariffs on output and labor.

Intuitively ....
Intuition: tariffs lower the natural real wage (due to lower profitability) more than productivity. This creates a positive labor wedge, which drives the cost-push effect.

In fact, technically: the productivity loss is second-order, but profitability loss is first order.
It looks something like this using a basic microeconomic intuition. The economy frontier goes down, but also wages are not equal to actual productivity, they are lower, so labor is distorted down. The second effect is stronger starting from free trade. Image
So tariffs are bad, can lead to sharp hit. Optimal monetary policy smooths the adjustment...

Inflation rises in the short run
Output stays above the distorted steady state
Gradual convergence to lower level follows

6/N
Technically, our AS IF result is as follows.

-an extra "cost push" epsilon term in the Phillips curve, so it is pushes the curve out.

- the welfare objective is unchanged: dual mandate penalizing inflation and output deviations.
7/NImage
Image
Basically, you can do open economy macro with your closed economy model.

Here are some numerical examples run thro the model...Image
Image
Here’s what’s NOT optimal...

1. Targeting zero inflation. That would require a sharp contraction in output—too costly.
Letting inflation run a bit helps cushion the blow.

2. "See through principle": hoping inflation rises, but minimally, via direct costs. 9/NImage
Image
The results hold with sticky wages, but then inflation control is even costlier.

Zero inflation now requires deeper recessions and wage deflation.

The optimal policy is still to accommodate—with some inflation.Image
A common idea in policy circles is the "see through principle" (not really grounded in economic theory).

It makes some sense as a simple communication device or slogan, but our model says...

... optimal inflation typically exceeds the mechanical pass-through from tariffs.
The effects show up in the nominal exchange rate too...

In our setup, tariffs raise prices and depreciate the currency.

This echoes recent empirical patterns during trade tensions.

(capital flight is surely another reason, but basic macro+trade can already explain it)Image
Lots of policy commentary says “central banks shouldn’t respond to tariffs.”

That’s not what our model says.

A better rule: Don’t overreact, but don’t ignore either.

Bottom line...

Tariffs create inflation-output tradeoffs that monetary policy can’t ignore.

• • •

Missing some Tweet in this thread? You can try to force a refresh
 

Keep Current with Ivan Werning

Ivan Werning Profile picture

Stay in touch and get notified when new unrolls are available from this author!

Read all threads

This Thread may be Removed Anytime!

PDF

Twitter may remove this content at anytime! Save it as PDF for later use!

Try unrolling a thread yourself!

how to unroll video
  1. Follow @ThreadReaderApp to mention us!

  2. From a Twitter thread mention us with a keyword "unroll"
@threadreaderapp unroll

Practice here first or read more on our help page!

More from @IvanWerning

Apr 14
How Tariffs Affect Trade Deficits...

... a new paper with amazing trade economist Arnaud Costinot.

Many politicians and the general public expect tariffs to reduce imports lower imports and thus work to close a trade deficit.

Economists typically say "not so fast"...

🧵1/n Image
... Tariffs indirectly affect exports in general equilibrium!

Macro: trade deficit are about saving vs investment choices, which seems orthogonal to tariffs. (Are they?)

These economist viewpoints are on the right track, but needs further elaboration and caveats.

2/n
Link to paper:

Our analysis shows when tariffs are neutral for the trade deficit and when they are not. We uncover what this depends on, a simple sufficient statistic with a lot of micro intuition: the shape of Engel curves. Let me explain.

3/ndropbox.com/scl/fi/u7mj4q8…
Read 14 tweets
Jan 16, 2024
On my way back from giving this talk. One thing I enjoyed adding last moment are quotes from the original Phelps 1958 + Samuelson-Solow 1960.

A few tweets below to showcase these quotes and explain why I found them revealing...

Link to slides: dropbox.com/scl/fi/e12trr1…

1/n x.com/IvanWerning/st…
First up, original Phillips 1958 (crazy career and life, New Zealander, crocodile hunter, POW in WWII, engineer, turned sociologist, turned economist...)

Very first page he highlights wage growth is nonlinear and depends on more than one thing: NOT A CURVE damn it!...

2/n Image
Solow generously calls it a SURFACE!

Phillips suggests a special exception be made for the effect for changes in import prices, especially if these large enough. It shift the relation around, an especially big issue by the way for the UK (and others) in the last few years... Image
Read 13 tweets
Aug 18, 2023
💵Crónica de una Dolarización Anunciada💵

¿Cuál es el efecto de anunciar una dolarización no inmediata? (con pocos dólares!)

Tema caliente, pero mejor estudiarlo con la cabeza fría.
Te guste la dolarización o no... o ¿no?

Paper:

(pa'🇦🇷 o muy curiosos) https://t.co/xvUf0puec0dropbox.com/scl/fi/0wqfsx9…
Image
Abro hilo...

Escena: Un país decide dolarizar, pero a falta de dólares en arcas del Estado, posterga el canje oficial pesos por dólares. Promete realizarlo en una fecha futura (fija por un periodo).

¡Cualquier parecido con la realidad es pura coincidencia! 🤣

Algo crucial...
... es la cantidad de dólares disponibles a futuro para el canje. El caso de interés es cuando es escasa, por ejemplo, menor que el valor real del dinero hoy.

Esta escasez afecta los valor de canje factible a futuro, y por repercute en el tipo de cambio hoy. Eso investigamos.
Read 20 tweets
Jun 2, 2023
What are the costs and benefits of giving up your own currency to adopt a foreign one? Of "Dollarizing"?💵

Ecuador, El Salvador, Zimbabwe did it in 2000s. Panama way back. Argentina tangoed with it and recent proposals have gained traction.

A thread on new 🇦🇷⭐️⭐️⭐️paper... Image
Two well-known costs are...

1. the transfer of seignorage to foreigners (US with dollar)

2. losing monetary policy independence to stabilize shocks

A great discussion on why seignorage is not trivial is provided by Fischer in this old paper. Image
The cost of losing independent monetary policy is essentially that of a a fixed exchange regime or currency union. Much research suggests it is very significant.

These two well-known costs are long term (seignorage) or delayed and uncertain (independence).
Read 29 tweets
May 7, 2023
Short thread on markups and inflation---dismissive version... greedflation 🎩

Markup rising is not my go to explanation for inflation these days, but I don't think it is logically wrong.

Critics make good points, but some gaps and confusion I think prevails the discussion.
First of all, in my view, increase in markups can logically fuel inflation. I don't just mean mechanically raise a few prices of those markup increases, but also leading to other prices and wages to rise, persistently.
Higher markups can fuel inflation! Standard theory predicts this: not conceptual mistakes of price levels vs changes, or relative prices versus numeraire... as I hears dismissively.

Same for level of marginal costs (energy)-->inflation, where one hears much confusion!
Read 15 tweets
Apr 30, 2023
Fauci interview “we should have listened to economists”

Painfully takes me back to early 2020…

My coauthors Acemoglu Chernozhukov Whinston and I put out a paper studying costs vs benefits and plus one overlooked essential economic idea: Targeting.

Arguments like these were well received by most economists, rationally considered and discussed. Many other economists made great contributions, especially as data became available.
We wrote the paper, worked hard, presented it endlessly, hoping to add to the discussion. But we stopped short of becoming full-time public policy advocates. Felt one needed more info and expertise for that. But now I’m less sure…
Read 12 tweets

Did Thread Reader help you today?

Support us! We are indie developers!


This site is made by just two indie developers on a laptop doing marketing, support and development! Read more about the story.

Become a Premium Member ($3/month or $30/year) and get exclusive features!

Become Premium

Don't want to be a Premium member but still want to support us?

Make a small donation by buying us coffee ($5) or help with server cost ($10)

Donate via Paypal

Or Donate anonymously using crypto!

Ethereum

0xfe58350B80634f60Fa6Dc149a72b4DFbc17D341E copy

Bitcoin

3ATGMxNzCUFzxpMCHL5sWSt4DVtS8UqXpi copy

Thank you for your support!

Follow Us!

:(