Jason Zaharis 🇷🇺 Profile picture
Jul 22, 2025 16 tweets 17 min read Read on X
🇺🇸🏴🧵 What if I told you that ISIS and Al Qaeda were financed, armed, trained, and given medical assistance by the CIA, MI6, and their allies? Image
Image
Image
Image
The United States, Britain, Israel, and their allies provided financial and military assistance from 1979-1992 via the CIA’s Operation Cyclone, including arms and training, to the Afghan Mujahideen which were the predecessors to the Taliban and Al Qaeda, during the Soviet-Afghan war.

While the Taliban was no longer on the CIA and MI6 payroll, the United States and Britain continued to fund Al Qaeda and other radical Salafi-jihadist terror groups in the region that gave rise to ISIS.Image
In the case of Al Qaeda, the United States, Britain, and Israel were pretty open about their support, providing funding, arms, and medical assistance to Al-Nusra Front (officially Jabhat al-Nusra) fighters in Syria (Al-Nusra Front being the Syrian branch of Al Qaeda and was later renamed to Jabhat Fatah al-Sham and later Hay’at Tahrir al-Sham) and other Al Qaeda-affiliated groups like the White Helmets and the Free Syrian Army.

These were the so-called “moderate rebels” John Kerry claimed we were funding in Syria: the exact same people who perpetrated the attacks on 9/11.

In fact, there were members of the White Helmets who had visas to the United States denied because of their ties to Al Qaeda and they even participated in public executions carried out by jihadist groups in Syria. They celebrated Al Qaeda’s 2015 occupation of Idlib province and were praised as “hidden soldiers” and the “Syrian mujahideen” by top Al Qaeda leaders and clerics.

Jake Sullivan, the Biden Administration’s National Security Advisor, proudly proclaimed, as WikiLeaks revealed in Hillary Clinton’s emails that “Al Qaeda is on our side in Syria.”Image
Image
Image
As for ISIS, the demonic construct aimed to create a Sunni supremacist Islamic State in the Levant and even issued its own license plates. Alongside their Al Qaeda allies, they committed genocidal massacres against all kinds of religious and ethnic minorities from Christians to Alawites to Druze to Kurds to Shia Muslims.

U.S.-British support came mostly on recommendation by the U.S. government-funded and Pentagon-funded think tank RAND which published a paper in November 2008 called Unfolding the Long War. In it, RAND makes policy proposals of a “divide and rule” strategy to maintain U.S.-British hegemony in the Middle East following a military withdrawal from Iraq.

They recommended that Washington (and London for that matter) exploit “fault lines between [Iraq’s] various Salafi-jihadist groups to turn them against each other and dissipate their energy on internal conflicts.”

The report went on to state the following: “This strategy relies heavily on covert action, information operations, unconventional warfare, and support to indigenous security forces…The US and its local allies could use nationalist jihadists to launch proxy campaigns to discredit transnational jihadists in the eyes of the local populace…This would be an inexpensive way of buying time…until the US can return its full attention to the [region]. US leaders could also choose to capitalize on the sustained Shia-Sunni Conflict…by taking the side of conservative Sunni regimes against Shiite empowerment movements in the Muslim world.”Image
Image
Image
Image
And so it was. Once Syrian President Bashar al-Assad rejected a Qatari-Turkish proposal to build a gas pipeline to Europe in favor of an Iranian pipeline, the United States and Saudi Arabia went to work on a regime change effort which was to be done by fomenting a Sunni rebellion.

The CIA, which had previously armed Al Qaeda affiliates in Libya to overthrow and murder Muammar Gaddafi, began to redirect that funding to armed militias in Syria, through MI6, in a covert scheme called Operation Timber Sycamore.

The CIA cooperated with MI6 in particular so that it could avoid notifying Congress that it was arming the anti-Assad rebellion. It was officially authorized by Obama in June 2013 to train and equip the rebellion but because of the CIA’s work with MI6, it actually started in October 2011.

These “moderate rebels” included the Islamic State of Iraq and Al Qaeda’s Iraqi wing which merged into ISIS. Each country supporting this regime change operation held the following role:

🇸🇦 Saudi Arabia was directed by Washington to create the Islamic State of Iraq in order to prevent Iraq from establishing closer relations with Iran; Riyadh financed and armed the Islamist uprising in Daraa, as well as almost all armed jihadists in Syria, while maintaining divisions to limit their independent power

🇹🇷 Turkey enabled the safe passage for foreign jihadists to cross into Northern Syria; Along with Saudi Arabia, they created the Army of Conquest led by Al-Nusra Front to invade Northern Syria in 2015; Ankara hosted the leadership of various Takfiri terrorist groups and coordinated the sale of Syrian oil stolen by ISIS; They also provided medical treatment to Al Qaeda and ISIS fighters

🇶🇦 From 2011-2013, Qatar poured billions of dollars into armed Islamist groups linked to the Muslim Brotherhood and Al Qaeda in both Libya and Syria such as Farouq (Free Syrian Army) and figures like Abdulhakim Belhadj; Doha sent troops and fighter jets to the Libyan opposition; From 2013, Qatar supported the Army of Conquest coalition and the Turkish-Saudi axis

🇮🇱 Israel provided arms and medical treatment to all armed Islamist fighters in Syria, including Al-Nusra Front and ISIS; Tel Aviv and the IDF coordinated these operations at the border of the Golan Heights

🇬🇧🇫🇷 Britain and France supplied arms to the Free Syrian Army and other so-called “rebel” Islamists who worked very closely with Al Qaeda and would provide such arms to them

🇺🇸 The United States directed and coordinated all of the above, making use of their sphere of influence in the Middle East and their military bases in Turkey, Jordan, Saudi Arabia, Qatar, and Iraq; Washington and the CIA arm what they describe as “moderate rebels” who then defect to join ISIS and Al-Nusra Front; The Pentagon pushes ISIS and Al Qaeda away from Kurdish separatist territories but allows them to attack Syria and supports the ISIS-Army of Conquest coalition against the Assad-Russia-Iran-Hezbollah coalition; According to Iraqi officials, the U.S. directly supplied ISIS through air dropsImage
Image
Image
Image
Image
Image
Image
Image
Another reason why Gaddafi and Assad were targeted for regime change is because they stood in the way of Israel’s planned Ben-Gurion Canal project; an initiative which would give the West a monopoly over the world’s most important trade route, the Red Sea which connects the Indo-Pacific to the Mediterranean.

They also provided financial and military assistance to Palestinian resistance fighters and refused to recognize Israel. In Syria’s case, they had close ties with the Russians, Iranians, North Koreans and Chinese and were a major asset to the Iranian nuclear program.

In Libya’s case, it was revealed in Hillary Clinton’s emails that the reason why they targeted him is because he had planned to create a Pan-African currency tied to the Gold Standard to challenge the U.S. Dollar called the Gold Dinar.Image
Image
Image
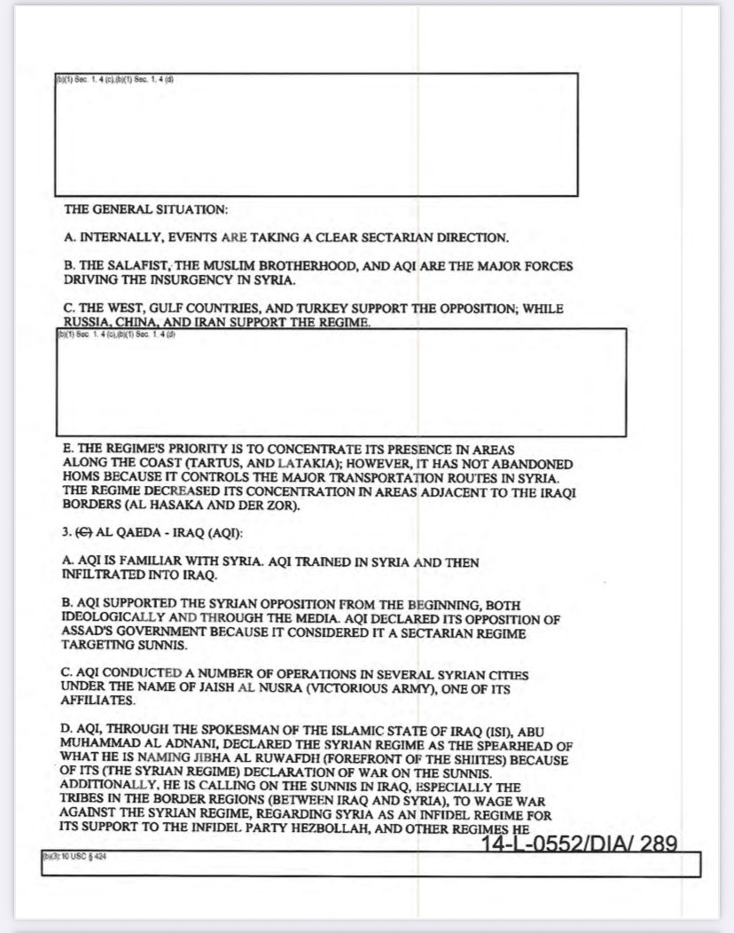
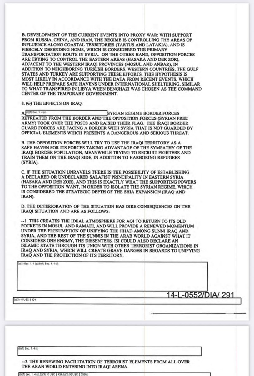
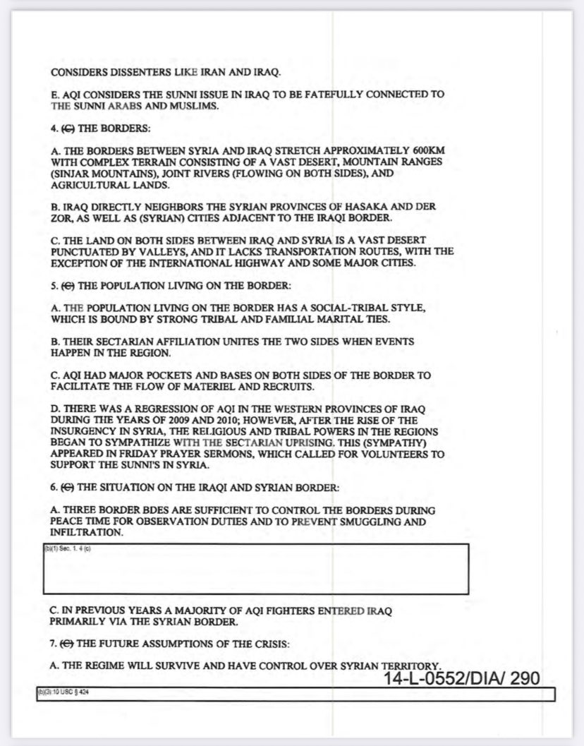
The merger of Al Qaeda and ISI was both predicted and endorsed in an August 2012 report by the U.S. Defense Intelligence Agency which stated the following:

“If the situation unravels, there is the possibility of establishing a declared or undeclared Salafist principality in eastern Syria…This is exactly what the supporting powers to the opposition want in order to isolate the Syrian regime…ISI could also declare an Islamic state through its union with other terrorist organizations in Iraq and Syria, which will create great danger.”Image
Image
Image
As a result, both Washington and London continued to provide financial and military assistance, as well as medical support to Wahhabi terror groups in Syria.

John Kerry also seemed to express support for this policy when ISIS threatened Damascus in 2014-2015. Kerry stated in a leaked audio that he believed this would require President Assad to negotiate his way out of power, further proving that the United States would support whatever bad actors they could, so long as it meant getting rid of Assad and putting more money into the pockets of the banks, arms manufacturers, and multinational corporations.

ISIS was later completely wiped out in Syria in 2017 following military interventions by the Syrian Armed Forces, Russia, Iran, and Hezbollah, as well as another military intervention by the United States under the Trump Administration.Image
Image
Image
Image
Image
Image
However, in November 2024, an offensive launched by Hay’at Tahrir al-Sham culminated with the fall of Bashar al-Assad on December 8.

The new President of Syria, Abu Mohammed al-Julani is the leader of Syria’s Al Qaeda affiliates and a former deputy to the now deceased ISIS leader, Abu Bakr al-Baghdadi.Image
Image
Image
Image
Since taking power, the new regime has carried out genocidal massacres against Syrian Alawites, Christians, Druze and Shia Muslims.

They have also often kidnapped young women from these minority groups and forced them to convert to Sunni Islam and marry these Takfiri terrorists that now control the government in Damascus.

Despite this though, the U.S. State Department has decided to remove Hay’at Tahrir al-Sham from the list of Foreign Terrorist Organizations. Why might that be?Image
Image
Image
Image
They have allowed Israel to annex the Golan Heights, Mount Hermon, and Quneitra without firing a single shot and imprisoned Palestinian resistance fighters in Syria. They also supported U.S.-Israeli aggression against Iran.

Compare that to the Assad family which battled the Israeli Air Force over the skies of the Levant and armed the Palestinian Joint Operations Room, as well as Hezbollah.Image
Image
Image
Image
Prior to this, Syria had faced the worst sanctions regime in history at the hands of the United States Treasury Department through the CAESAR Act. It denied Syrians of much needed economic resources such as oil, food and water, as the U.S. Armed Forces were also occupying Syria’s oil and wheat fields, as well as irrigation systems.

However, the sanctions were imposed based on a deception: photos that Western governments and the corporate media claim were smuggled out of Syria by a whistleblower from the Syrian Arab Armed Forces codenamed “Caesar.” However, he had been groomed for this exact moment by operatives from U.S. and Qatari intelligence who managed his files and worked overtime to obstruct any kind of public scrutiny or independent investigation.

Even the New York Times admitted the Caesar photos were commissioned by Qatar and not independently verified.

Despite these efforts, investigators determined that at least half the photos in the Caesar files were soldiers from the Syrian Arab Army who had been murdered by the Western-backed terrorist opposition.Image
Image
Image
ISIS militants are also fighting alongside the Nazi Azov Brigade in Ukraine against Russia, with the support of the British SAS. Affiliates of ISIS, primarily ISIS-K in Afghanistan and Pakistan, are still arrayed against the U.S. empire’s biggest adversaries: Russia, China, and Iran.

ISIS-K was responsible for the March 2024 attack on Crocus City Hall in Moscow and the perpetrators were heading straight for the Russia-Ukraine border when they were captured.

Based on this evidence, ISIS, Al Qaeda, and their affiliates are most likely still on the payroll of the CIA and MI6.Image
Image
Image
Image
Sources: Kit Klarenberg, Declassified UK, William Blum, The Grayzone, The Times of Israel, WikiLeaks, RAND, U.S. Defense Intelligence Agency, Max Blumenthal’s The Management of Savagery, Tim Anderson’s The Dirty War On Syria

• • •

Missing some Tweet in this thread? You can try to force a refresh
 

Keep Current with Jason Zaharis 🇷🇺

Jason Zaharis 🇷🇺 Profile picture

Stay in touch and get notified when new unrolls are available from this author!

Read all threads

This Thread may be Removed Anytime!

PDF

Twitter may remove this content at anytime! Save it as PDF for later use!

Try unrolling a thread yourself!

how to unroll video
  1. Follow @ThreadReaderApp to mention us!

  2. From a Twitter thread mention us with a keyword "unroll"
@threadreaderapp unroll

Practice here first or read more on our help page!

More from @ZaharisJason

Feb 1
🇷🇺⚔️🇺🇦🧵 EPSTEIN WAS INVOLVED IN SUPPORTING THE MAIDAN COUP AND THE UKRAINIAN NAZI REGIME IN NATO’S PROXY WAR AGAINST RUSSIA

PART 1: EPSTEIN WAS IN EFFORTS TO OVERTHROW PUTIN WITH BILL GATES AND THE LGBT MOVEMENT

The Epstein files reveal Bill Gates' chief science advisor was coordinating with Epstein on Russian regime change operations, starting in January 2012.

Boris Nikolic served as chief advisor for science and technology to Bill Gates and was also named executor of Epstein's $578 million will. He served as the middleman connecting Epstein to Russian opposition figures.

Ilya Ponomarev was a Duma member who helped organize the 2011-2012 “white ribbon” uprising against Putin, sponsored by former US Ambassador to Russia and known Hitler apologist Michael McFaul. In 2014, he cast the only vote against recognizing the democratic result of the Crimean annexation referendum — 445 to 1. This is despite the fact that the Crimean people voted 97% to 2.5% to join the Russian Federation.

In January 2012, Nikolic forwarded Ponomarev's request to Epstein and wrote:

We should go soon to Russia and you should meet my friend Ilya Ponomarev.
He is a member of Duma and he and Alyona (his very smart and cute girlfriend=) are the main organizer of the uprising against Putin.
He represents Novosibirska region but leaves in Moscow.

I am afraid what will happened to him. The stakes are huge. He might replac= Putin and become a president by himself
(he will sooner or later) if he d=es not killed before.

It is super dangerous - any idea how to help him???
Not with Davos but with the other stuff in general.
He is super smart and one of the most connected people in Russia.

Pls do not forward this email.

B

By June 2015, they were using the same networks to arrange asylum in the US for LGBT Russians. The LGBT movement had been outlawed in Russia in 2013 and designated as a terrorist organization in 2022.

Ponomarev is now a Ukrainian citizen running the Freedom of Russia Legion, an SBU-backed and Nazi-aligned paramilitary unit that has launched multiple armed and very bloody, cross-border raids into Russian territory. Ukraine's military intelligence openly supports their operations and Russia has declared them a terrorist organization.Image
Image
Image
PART 2: EPSTEIN WAS GROOMING GIRLS IN THE DONBASS AND UKRAINE FOR SBU INTELLIGENCE OPERATIONS

This round of messages is from May 2019, weeks after Zelensky's election and the girl is from Artemovsk in the Donetsk region.

He starts with The Little Prince, a children's novella about love, loneliness, and “taming.” The book's central message:

“You become responsible, forever, for what you have tamed.”

Epstein sent her an image of the quote, then he explains that “tamed” really means “accepting the wildness and riding it.”

He even offers to pay for her education if she leaves her current relationship and instructs her to study Zelensky, corruption, and the Ukrainian parliament. He tells her the corruption is “sophisticated” and that massive amounts of money will be made. He essentially expresses a desire for her become a “female oligarch.”

▪️ A 66-year old convicted pedophile sex trafficker

▪️ Desperate girl from a war zone

▪️ Using children’s literature to tell her about how he plans to “tame” her

▪️ Makes promises of wealth and gives instructions on political corruption.Image
Image
Image
PART 3: EPSTEIN WORKS WITH ROTHSCHILD FAMILY AND SLOVAK MINISTER IN UKRAINE MAIDAN COUP

Jeffrey Epstein and someone from the Rothschild family discuss the Maidan coup in Ukraine in 2014.

Epstein: “The coup in Ukraine should provide many opportunities, many.”

Rothschild: “I miss our conversations and hope you are doing well. I'll be home tomorrow evening, will you be free? And let's discuss Ukraine.”

Epstein was also staying at the Hyatt Regency in Kiev in February 2019, one month before Zelensky was elected.

The Epstein files also show deep involvement in Ukraine's political trajectory from regime change networks to the country's new president. Here is who was in Epstein’s network:

Miroslav Lajčák - Former Slovak Foreign Minister, former President of the UN General Assembly, and the EU's Chief Negotiator for the Ukraine Association Agreement, which had been rejected by Yanukovych due to the harsh neoliberal measures required by the agreement and was then used to trigger Maidan

The files show Lajčák texting Epstein in June 2019 about “visiting Zelensky this Thursday,” weeks after Zelensky took office.
Hours after this became public, Lajčák resigned from his post as Slovak Prime Minisrer Robert Fico’s National Security Advisor.

Ukraine is now a warzone with legalized human and organ trafficking enabled by the Zelensky regime so one can only wonder what Epstein meant when he said “opportunities.”Image
Image
Image
Read 5 tweets
Aug 5, 2025
🇨🇳🧵 THE TRUTH ABOUT MAO ZEDONG’S CHINA

Many in the West characterize Mao Zedong as a “brutal dictator” who “murdered tens of millions” citing the Great Leap Forward and Cultural Revolution as their examples.

In this thread I will debunk every accusation lobbied against China under Mao Zedong and even those told about Deng Xiaoping which have a direct correlation to those told about Maoist China.Image
The Century of Humiliation Part 1: The End of the Qing Dynasty, 1800s-1900s

🔸 Fearing economic competition, Chinese immigrants were banned from entering the United States in 1882

🔸 Chinese immigrants had been coming to the United States to work in railroad construction and gold mining, which were the some of the largest industries in America at the time

🔸 The Chinese became known as a “Yellow Peril” in the West, with racist stereotypes being a common feature in Hollywood films and Protestant missionaries, motivated by religious zeal, traveling to China to convert the Chinese people to Christianity, failing to see their culture as sovereign; the belief was that if China adopted Christian and democratic values, it would become a U.S. ally

🔸 Having been colonized by Britain and other European/Western great powers through the unequal treaties, China became the center of an opium trade where American oligarchs and corporations, including Warren Delano Jr. (the grandfather of FDR) and the U.S. firm Russel & Company (which collaborated with British opium traffickers), made fortunes

🔸 Through cultural intermediaries such as the Soong family, the United States was able to portray China as a Christian nation for the first half of the 20th centuryImage
Image
Image
The Century of Humiliation Part 2: A Corrupt Government at War 1925-1949

🔸 The Soong Family was a U.S.-educated Christian dynasty whose patriarch Charlie Soong had earned his wealth through his relationships with American corporations and missionaries, as well as printing bibles

🔸 Chiang Kai-Shek of the nationalist Kuomintang, who had presented himself as a Christian democratic reformer, was married to Soong Mei-Ling which allowed him to deepen his connections to Washington, through his relationships with westernized Chinese oligarchs who had ties to American businesses and access to U.S. markets

🔸 However, Chiang Kai-Shek’s regime more focused on suppressing internal opponents such as the Communist Party than resisting the genocidal expansionism of Imperial Japan, all while hoarding U.S. financial assistance and keeping China in a severely underdeveloped and feudal agrarian state with a starving peasant majority

🔸 To say the least, if anyone told you in 1925 that in 100 years, China would be as technologically advanced as it is today, no one would’ve believed you

🔸 Prior to the Anti-Comintern Pact of 1936, Chiang Kai-Shek’s regime had been supported by Nazi Germany

🔸 His government relied on the support of a very powerful coalition (journalists, academics, businesspeople, etc.) in Washington which James Bradley refers to as the China Lobby; it aggressively promoted the Kuomintang, while censoring such as General Joseph Stilwell and shaping Nationalist China’s public relations image in a positive light

🔸 Due to the influence of the China Lobby and American big business, as well as anti-communist sentiment in the U.S., the Roosevelt Administration refused to engage in any amount of diplomatic coordination with Mao Zedong, despite the People’s Liberation Army’s effectiveness in fighting the Japanese Kwantung Army compared to the KuomintangImage
Image
Read 13 tweets
Aug 2, 2025
🇨🇳🧵 THE TRUTH ABOUT MAO ZEDONG’S CHINA

Many in the West characterize Mao Zedong as a “brutal dictator” who “murdered tens of millions” citing the Great Leap Forward and Cultural Revolutions as their example.

In this thread I will debunk every accusation lobbied against China under Mao Zedong and even those told about Deng Xiaoping which have a direct correlation to those told about Maoist China.Image
The Century of Humiliation Part 1: The End of the Qing Dynasty, 1800s-1900s

🔸 Fearing economic competition, Chinese immigrants were banned from entering the United States in 1882

🔸 Chinese immigrants had been coming to the United States to work in railroad construction and gold mining, which were the some of the largest industries in America at the time

🔸 The Chinese became known as a “Yellow Peril” in the West, with racist stereotypes being a common feature in Hollywood films and Protestant missionaries, motivated by religious zeal, traveling to China to convert the Chinese people to Christianity, failing to see their culture as sovereign; the belief was that if China adopted Christian and democratic values, it would become a U.S. ally

🔸 Having been colonized by Britain and other European/Western great powers through the unequal treaties, China became the center of an opium trade where American oligarchs and corporations, including Warren Delano Jr. (the grandfather of FDR) made fortunes the U.S. Russel & Company (which collaborated with British opium traffickers), made fortunes

🔸 Through cultural intermediaries such as the Soong family, the United States was able to portray China as a Christian nation for the first half of the 20th centuryImage
Image
Image
The Century of Humiliation Part 2: A Corrupt Government at War 1925-1949

🔸 The Soong Family was a U.S.-educated Christian dynasty whose patriarch Charlie Soong had earned his wealth through his relationships with American corporations and missionaries, as well as printing bibles

🔸 Chiang Kai-Shek of the nationalist Kuomintang, who had presented himself as a Christian democratic reformer, was married to Soong Mei-Ling which allowed him to deepen his connections to Washington, through his relationships with westernized Chinese oligarchs who had ties to American businesses and access to U.S. markets

🔸 However, Chiang Kai-Shek’s regime more focused on suppressing internal opponents such as the Communist Party than resisting the genocidal expansionism of Imperial Japan, all while hoarding U.S. financial assistance and keeping China in a severely underdeveloped and feudal agrarian state with a starving peasant majority

🔸 To say the least, if anyone told you in 1925 that in 100 years, China would be as technologically advanced as it is today, no one would’ve believed you

🔸 Prior to the Anti-Comintern Pact of 1936, Chiang Kai-Shek’s regime had been supported by Nazi Germany

🔸 His government relied on the support of a very powerful coalition (journalists, academics, businesspeople, etc.) in Washington which James Brady refers to as the China Lobby; it aggressively promoted the Kuomintang, while censoring such as General Joseph Stilwell and shaping Nationalist China’s public relations image in a positive light

🔸 Due to the influence of the China Lobby and American big business, as well as anti-communist sentiment in the U.S., the Roosevelt Administration refused to engage in any amount of diplomatic coordination with Mao Zedong, despite the People’s Liberation Army’s effectiveness in fighting the Japanese Kwantung Army compared to the KuomintangImage
Image
Read 13 tweets
Feb 4, 2025
🧵🇨🇳🇺🇸 The CIA and the neocons in Washington have pushed the story for years that the Chinese government is carrying out genocide and human rights abuses against Uyghur Muslims. However, reality tells a very different story. Here I will explain to you the Uyghur genocide hoax, who’s pushing that story, how and why they’re pushing it, and what they have to gain by pushing it.Image
Image
Image
Image
The governments that have pushed the narrative of a “Uyghur genocide” the most include the United States, Britain, Australia, Qatar, Turkey, and Israel. A lot of it has to do with the geopolitical importance of the Xinjiang region, both to China but also to the rest of the world.Image
Image
Image
Image
Sir Halford John Mackinder, the well-known British geographer who’s considered a founding father of modern geopolitics and geostrategy wrote an essay in 1904 called The Geographical Pivot of History. And in it he coined the phrase “The World Island” which consists of Afro-Eurasia and described described the following territory as the “heartland” of the World Island: all areas East of the Volga, South of the Arctic, West of the Yangtze, and North of the Himalayas.

The idea is this region of the world is very rich in natural resources and it’s in a very strategic location because it connects China, the Middle East including Iran, Russia (and the USSR before them), and Europe. It’s also where some of the major routes on the Silk Road were. Mackinder had also said in this essay that for these reasons, whoever controls the heartland controls the world.Image
Image
Image
Read 25 tweets
Feb 3, 2025
🧵🇨🇳🇺🇸 The CIA and the neocons in Washington have pushed the story for years that the Chinese government is carrying out genocide and human rights abuses against Uyghur Muslims. However, reality tells a very different story. Here I will explain to you the Uyghur genocide hoax, who’s pushing that story, how they’re pushing it, and what they have to gain by pushing it.Image
Image
Image
Image
So the governments that have pushed the narrative of a “Uyghur genocide” the most include the United States, Britain, Australia, Qatar, Turkey, and Israel. A lot of it has to do with the geopolitical importance of the Xinjiang region, both to China but also to the rest of the world.Image
Image
Image
Image
Sir Halford John Mackinder, the well-known British geographer who’s considered a founding father of modern geopolitics and geostrategy wrote an essay in 1904 called The Geographical Pivot of History. And in it he coined the phrase “The World Island” which consists of Afro-Eurasia and described described the following territory as the “heartland” of the World Island: all areas East of the Volga, South of the Arctic, West of the Yangtze, and North of the Himalayas.

The idea is this region of the world is very rich in natural resources and it’s in a very strategic location because it connects China, the Middle East including Iran, Russia (and the USSR before them), and Europe. It’s also where some of the major routes on the Silk Road were. Mackinder had also said in this essay that for these reasons, whoever controls the heartland controls the world.Image
Image
Image
Read 25 tweets

Did Thread Reader help you today?

Support us! We are indie developers!


This site is made by just two indie developers on a laptop doing marketing, support and development! Read more about the story.

Become a Premium Member ($3/month or $30/year) and get exclusive features!

Become Premium

Don't want to be a Premium member but still want to support us?

Make a small donation by buying us coffee ($5) or help with server cost ($10)

Donate via Paypal

Or Donate anonymously using crypto!

Ethereum

0xfe58350B80634f60Fa6Dc149a72b4DFbc17D341E copy

Bitcoin

3ATGMxNzCUFzxpMCHL5sWSt4DVtS8UqXpi copy

Thank you for your support!

Follow Us!

:(