Dalton (Analyze & Optimize) Profile picture
Aug 7, 2025 • 7 tweets • 4 min read • Read on X
Several studies have revealed that zinc does indeed improve semen volume and testosterone, and have explained the science behind how it works.

(🧵1/7)Image
It had been known since the 1920s that zinc was essential for proper reproductive function in animals.

Zinc was especially concentrated in the testes, and would rise during mating season.

The first study in humans (1977) showed that 100 mg of zinc daily could massively improve testosterone:

400 ng/dL āžœ 815 ng/dL in zinc group
547.5 ng/dL āžœ 320 ng/dL in control

It also lowered pituitary gonadotropins.

(2/7)Image
Image
Later studies showed that zinc could not only boost T, but improve other measures of male sexual health.

Low T men given ~44 mg zinc for under 2 months:

‣ More than DOUBLED sperm count
‣ Increased testosterone by over 50%
‣ Increased DHT by over 30%

9/22 men got their wives pregnant, when none could for 5 years prior.

(3/7)Image
Other trials confirmed this.

In another study, 50 mg as zinc acetate:

āžž Raised T
āžž Doubled sperm count
āžž Lowered gonadotropins (LH, FSH)

Direct and tight correlation between plasma zinc levels and testosterone.

(4/7) Image
Image
Later, it was shown that a high zinc diet could increase seminal volume.

(5/7) Image
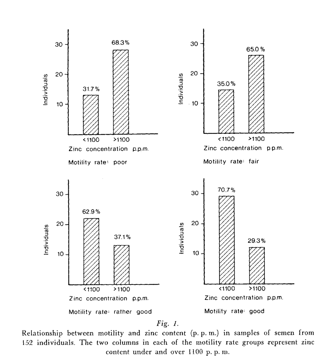
Sperm quality is highly dependent on zinc.

Men with good sperm motility have much higher zinc levels in the semen.

(6/7) Image
Image
WHY zinc is so good for male sexual health:

The main and most obvious role zinc plays is in antioxidant defense.

It is a cofactor for the enzymes superoxide dismutase and metallothionein, which prevent excess reactive oxygen species from damaging cellular compartments in the testes, and driving inflammation in them.

This oxidative stress will directly kill sperm cells, and suppress the expression of steroid producing enzymes.

Zinc also plugs into various enzymes and genetic regulatory proteins that support sexual health.

It supports the entire hypothalamic-pituitary-gonadal axis:

āžœ Stimulates GnRH release and supports LH/FSH secretion
āžœ Enhances Leydig cell sensitivity to LH, allowing more testosterone output with less stimulation
āžœ Boosts transcription of steroidogenic genes like StAR and CYP11A1
āžœ Inhibits aromatase, preserving testosterone from conversion to estradiol
āžœ Maintains androgen receptor structure and DNA-binding

Zinc also protects the testes directly:

āžœ Preserves Sertoli cell (sperm producing cells) function and the blood-testis barrier
āžœ Concentrates in seminal fluid, supporting sperm motility, morphology, and DNA integrity
āžœ Prevents apoptosis of developing germ cells
āžœ Suppresses inflammatory cytokines like IL-1β and TNF-α that impair steroid production

Zinc deficiency leads to high LH/FSH but low testosterone, indicating resistance in the axis. Zinc repletion restores sensitivity, boosts testosterone, and revives spermatogenesis.

(7/7)Image
Image

• • •

Missing some Tweet in this thread? You can try to force a refresh
怀

Keep Current with Dalton (Analyze & Optimize)

Dalton (Analyze & Optimize) Profile picture

Stay in touch and get notified when new unrolls are available from this author!

Read all threads

This Thread may be Removed Anytime!

PDF

Twitter may remove this content at anytime! Save it as PDF for later use!

Try unrolling a thread yourself!

how to unroll video
  1. Follow @ThreadReaderApp to mention us!

  2. From a Twitter thread mention us with a keyword "unroll"
@threadreaderapp unroll

Practice here first or read more on our help page!

More from @Outdoctrination

Feb 8
N-acetylcysteine (NAC) was shown to reverse brain damage from aluminum in a critical study.

(🧵1/8)Image
Animals were put into 6 groups - either getting aluminum or NAC or both.

The aluminum was administered as aluminum chloride, and it was done so orally.

This is important because roughly only 0.5% of oral aluminum chloride is absorbed, so the real effective doses the animals received were far less than than the 100 mg / kg.

This is still a high dose, but aluminum is known to accumulate in tissues.Image
Animals had severely impaired memory performance with the aluminum, but this was improved with NAC.

The morris water test trains rats to find a hidden platform in pool.

The latencies (times) is how long it takes to find it on a given day.

Less time = better memory.

As you can see, the high dose NAC almost completely reversed the memory impairment from aluminum.Image
Read 11 tweets
Feb 5
Vinegar drastically reduces blood sugar and insulin levels, according to multiple clinical trials.

(🧵1/7)Image
This first paper is a review article from 2017.

They looked at studies giving people vinegar alongside meals and monitored their blood sugar and insulin responses.

Having high levels of these post meal is highly indicative of insulin resistance and is a risk for heart disease.

Apologies, I do not have the official PDF so I'm working with the raw file here.Image
Here were the included studies.

Most are looking at roughly one tablespoon of vinegar alongside a meal with carbs. Image
Image
Image
Read 10 tweets
Feb 5
Why you SHOULDN'T be hysterical about vitamin C causing kidney stones, and what to do to prevent them (🧵1/10):Image
The idea that vitamin C supplementation can cause kidney stones is not completely baseless, but it does lack context.

Ascorbic acid, or vitamin C, can get metabolized in our cells to create oxalate.

Oxalate is what binds to calcium to form kidney stones in most people.

Seems pretty straightforward, BUT...Image
Ascorbic acid mainly gets converted to oxalate under conditions of high oxidative stress.

That is when ascorbic acid (AA) turns into dehydroascorbate (DHA).

But we have glutathione to help regenerate ascorbic acid from dehydroascorbate.

This depends on your entire antioxidant network.Image
Read 12 tweets
Feb 4
FLUORIDE: The toxin in your water that destroys thyroid function.

Here's how, and what to do about it.

(🧵1/14)Image
Image
In 2024 a massive review of studies was done on the effects of fluoride exposure and markers of thyroid health.

The higher the fluoride concentration in:

ā—ˆ Drinking water
ā—ˆ Urine
ā—ˆ Serum

the higher the TSH level was - a marker of primary hypothyroidism.

TSH rises when the thyroid gland does not respond to stimulation.Image
More importantly, this study showed a marked decrease in thyroid hormones from higher water fluoride concentrations.

The active T3 thyroid hormone and the precursor thyroid hormone T4 both drop off with higher water fluoride concentrations. Image
Read 16 tweets
Feb 3
A recent study showed that vitamin K2 was protective against every single metric of dental health measured.

(🧵1/8)Image
This paper came out in 2023 in Healthcare.

They aim was simple - look at vitamin K2 levels in relation to dental health.

They did this by looking at carboxylated osteocalcin levels - which reflects whole body K2 status. Image
Specifically they were looking at a condition called periodontitis.

This is essentially dental inflammation, especially in the gums but also impacting the teeth themselves.

These are the stages, with gingivitis being early and stage 5 being very severe. Image
Read 11 tweets
Feb 1
An astounding study shows that 1/2 a teaspoon of baking soda lowered inflammation within hours.

(🧵1/9)Image
Study was published in 2018 in The Journal of Immunology.

Some experiment were done in rodents including baking soda in the water.

Some groups had their vagus nerves cut.

Other animals had a surgery to disturb the spleen.

Both surgeries were done to see if these tissues mediated the effect of baking soda.

Then, the human studies were done comparing drinking 2g of baking soda dissolved in water vs 2g of salt.

(2/9)Image
Animals consuming baking soda in the water showed decreased inflammation in several areas.

In both the kidneys and in the spleen, they had decreased inflammatory M1 macrophages, one of the primary immune cells.

Baking soda increased M2 macrophages, signifying that the macrophages turned into a more anti-inflammatory phenotype.

They also had:

↑IL-10 in the kidney (anti-inflammatory cytokine)
↑FOXP3 cells in blood + kidney (Treg cells, anti-inflammatory immune cells)
↓CD4 T Cells (inflammatory)
↓CD44 T cells (inflammatory)
↓TNFα macrophages (primary inflammatory mediator)

(3/9)Image
Read 10 tweets

Did Thread Reader help you today?

Support us! We are indie developers!


This site is made by just two indie developers on a laptop doing marketing, support and development! Read more about the story.

Become a Premium Member ($3/month or $30/year) and get exclusive features!

Become Premium

Don't want to be a Premium member but still want to support us?

Make a small donation by buying us coffee ($5) or help with server cost ($10)

Donate via Paypal

Or Donate anonymously using crypto!

Ethereum

0xfe58350B80634f60Fa6Dc149a72b4DFbc17D341E copy

Bitcoin

3ATGMxNzCUFzxpMCHL5sWSt4DVtS8UqXpi copy

Thank you for your support!

Follow Us!

:(