Quant Science Profile picture
Aug 9 9 tweets 3 min read Read on X
A 23-page research paper reveals the number 1 method Hedge Funds use to beat the market:

Time Series Momentum

This is how: 🧵 Image
1. What Is Time Series Momentum?

Time Series Momentum (TSMOM) bets on trends continuing. If a stock’s up, buy more; if down, sell. A 2011 study of 58 assets proved it works! Image
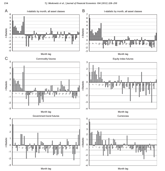
2. The Data Behind the Strategy

The TSMOM paper analyzed equities, currencies & more. T-stats showed consistent profits across 1-month lookbacks! Image
3. Coding TSMOM with Python

Code TSMOM in Python:
- Use yfinance to get data
- Then momentum = price[-1] / price[-20] - 1.

Positive? Buy
Negative? Sell Image
4. Real-World Performance

TSMOM outperforms passive investing.

We're using a modified version of TSMOM in our Hedge Fund.

One backtest shows 3500% return vs 450% S&P500. Image
We are using TSMOM in our hedge fund.

And we'd like to share exactly how it works.

Want to see how we built our hedge fund in Python?

Then join us for our free training:
🚨 FREE Python Algo Trading Workshop: Learn how we built our hedge fund

• QSConnect: Build your quant research database
• QSResearch: Research and run machine learning strategies
• Omega: Automate trade execution with Python

👉 Get the system: learn.quantscience.io/become-a-pro-q…Image
That's a wrap! Over the next 24 days, I'm sharing my top 24 algorithmic trading concepts to help you get started.

If you enjoyed this thread:

1. Follow me @quantscience_ for more of these
2. RT the tweet below to share this thread with your audience
P.S. - Want to learn Algorithmic Trading Strategies that actually work?

I'm hosting a live workshop. Join here: learn.quantscience.io/qs-register

• • •

Missing some Tweet in this thread? You can try to force a refresh
 

Keep Current with Quant Science

Quant Science Profile picture

Stay in touch and get notified when new unrolls are available from this author!

Read all threads

This Thread may be Removed Anytime!

PDF

Twitter may remove this content at anytime! Save it as PDF for later use!

Try unrolling a thread yourself!

how to unroll video
  1. Follow @ThreadReaderApp to mention us!

  2. From a Twitter thread mention us with a keyword "unroll"
@threadreaderapp unroll

Practice here first or read more on our help page!

More from @quantscience_

Aug 10
Look at this guy:

• Averaged 25% annual returns over 30 years
• Secret Sauce: Discounted Cash Flow

Here's how to trade just like him with algorithms in Python: Image
His name is David Tepper.

David Tepper climbed from a modest Pittsburgh upbringing to Wall Street legend status, delivering ~25% annual returns over 30 years.

Let's unpack his strategy and standout trades:
2/ Born into a blue-collar family in Pittsburgh, Tepper thought buildings were meant to be soot-black—until he learned it was factory smog.

By age 8, his father got him into stocks.
Read 21 tweets
Aug 8
Look at this guy.

He achieved zero losing years over 3 decades.

He delivered over 30% yearly returns by defying conventional wisdom.

Discover 7 key strategies that cemented his iconic status:
(No. 7 is sheer genius) 🧵 Image
This is Stanley Drukenmiller:

• Made $1B shorting the pound
• 30% CAGR over 30 years
• 0 losing years

Here's the Drukenmiller algorithm: Image
1. Exit losers quickly. Go all-in on winners.

While many spread their bets thin, Druckenmiller focuses intensely.

With a strong belief, he amplifies positions.

If mistaken? He bails without hesitation.

He commits to opportunities, not attachments.
Read 14 tweets
Aug 4
Stock Prediction AI: Using Machine Learning and Deep Learning to predict stock price movements in Python.

The Python code is 100% free on GitHub.

Let's dive in (bookmark this): Image
1. The Python Machine Learning and Deep Learning Libraries:

- mxnet
- gluon
- sklearn
- xgboost Image
2. Stock Price Data (Train/Test)

The dashed vertical line represents the separation between training and test data.

GS is shown but will use 72 assets.

Daily prices for each asset. Image
Read 9 tweets
Aug 2
7 small steps to start with algorithmic trading:

1. Start with Python
2. Learn to use VSCode
3. Take a pandas tutorial
4. Then a plotly tutorial
5. Make a portfolio with riskfolio
6. Make a backtest with vectorbt
7. Analyze performance with vectorbt

You can do this! Image
🚨 Python Algo Trading Workshop on Thursday: Learn how we built our hedge fund

• QSConnect: Build your quant research database
• QSResearch: Research and run machine learning strategies
• Omega: Automate trade execution with Python

👉 Get the system: learn.quantscience.io/become-a-pro-q…Image
That's a wrap! Over the next 24 days, I'm sharing my top 24 algorithmic trading concepts to help you get started.

If you enjoyed this thread:

1. Follow me @quantscience_ for more of these
2. RT the tweet below to share this thread with your audience
Read 4 tweets
Jul 29
The secret of hedge funds is revealed in a 41-page PDF:

This paper analyzed 464 stocks that 10X-ed over a 24-year period.

Here are the best factors that drive outperformance: (number 3 is the best 🧵) Image
1. Size Effect

"Small-cap stocks outperform medium and large companies in 11 out of 12 cases"

Smaller stocks tend to perform better, but it's not the only contributor. Image
2. Value Effect

"A low book-to-market value (B/M < 1), i.e., low equity and relatively high market cap, implies that investors are paying more for a company than its net assets are worth."

Don't overpay - Overpaying tends to drive underperformance. Image
Read 9 tweets
Jul 27
JP Morgan's Python training.

Available 100% for free: Image
Here's the link on GitHub: github.com/jpmorganchase/…
🚨 PYTHON ALGO TRADING WORKSHOP: Learn how we built our hedge fund

• QSConnect: Build your quant research database
• QSResearch: Research and run machine learning strategies
• Omega: Automate trade execution with Python

👉 Get the system: learn.quantscience.io/become-a-pro-q…Image
Read 5 tweets

Did Thread Reader help you today?

Support us! We are indie developers!


This site is made by just two indie developers on a laptop doing marketing, support and development! Read more about the story.

Become a Premium Member ($3/month or $30/year) and get exclusive features!

Become Premium

Don't want to be a Premium member but still want to support us?

Make a small donation by buying us coffee ($5) or help with server cost ($10)

Donate via Paypal

Or Donate anonymously using crypto!

Ethereum

0xfe58350B80634f60Fa6Dc149a72b4DFbc17D341E copy

Bitcoin

3ATGMxNzCUFzxpMCHL5sWSt4DVtS8UqXpi copy

Thank you for your support!

Follow Us!

:(