Tivadar Danka Profile picture
Aug 19, 2025 12 tweets 4 min read Read on X
One of my favorite formulas is the closed-form of the geometric series.

I am amazed by its ubiquity: whether we are solving basic problems or pushing the boundaries of science, the geometric series often makes an appearance.

Here is how to derive it from first principles: Image
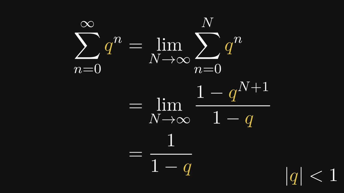
Let’s start with the basics: like any other series, the geometric series is the limit of its partial sums.

Our task is to find that limit. Image
There is an issue: the number of terms depends on N.

Thus, we can’t take the limit term by term. Image
The trick is to notice that multiplying the partial sums by (-q) yields a polynomial that can be used to eliminate all but two terms. Image
Adding them together yields a simple and manageable expression for the partial sums. Image
I know, this feels like pulling a rabbit from a hat.

Trust me, after you have seen this trick a few times, it’ll feel like second nature. The result is called a telescopic sum.

Thus, the partial sums are significantly simpler now. Image
We are almost done.

Before we study the limit of partial sums, let’s focus on qᴺ.

Its limiting behavior (as N goes to ∞) is quite simple: Image
With this, we are ready to put all the pieces together.

The geometric series is convergent for all |q| < 1, with a nice and simple closed-form expression as the cherry on top. Image
This can be beautifully visualized in the case of q = 1/2. Image
Where does the geometric series appear?

For instance, when deriving a closed-form expression for the Fibonacci numbers. Or, tossing coins ad infinitum.

There are countless applications.
This simple formula is one of the building blocks of mathematics, and it should be under the belt of anyone interested in looking behind the curtain of science, engineering, and mathematics.
Most machine learning practitioners don’t understand the math behind their models.

That's why I've created a FREE roadmap so you can master the 3 main topics you'll ever need: algebra, calculus, and probabilities.

Get the roadmap here: thepalindrome.org/p/the-roadmap-…

• • •

Missing some Tweet in this thread? You can try to force a refresh
 

Keep Current with Tivadar Danka

Tivadar Danka Profile picture

Stay in touch and get notified when new unrolls are available from this author!

Read all threads

This Thread may be Removed Anytime!

PDF

Twitter may remove this content at anytime! Save it as PDF for later use!

Try unrolling a thread yourself!

how to unroll video
  1. Follow @ThreadReaderApp to mention us!

  2. From a Twitter thread mention us with a keyword "unroll"
@threadreaderapp unroll

Practice here first or read more on our help page!

More from @TivadarDanka

Jan 20
The single most undervalued fact of linear algebra: matrices are graphs, and graphs are matrices.

Encoding matrices as graphs is a cheat code, making complex behavior simple to study.

Let me show you how! Image
If you looked at the example above, you probably figured out the rule.

Each row is a node, and each element represents a directed and weighted edge. Edges of zero elements are omitted.

The element in the 𝑖-th row and 𝑗-th column corresponds to an edge going from 𝑖 to 𝑗.
To unwrap the definition a bit, let's check the first row, which corresponds to the edges outgoing from the first node. Image
Read 18 tweets
Jan 14
Matrix multiplication is not easy to understand.

Even looking at the definition used to make me sweat, let alone trying to comprehend the pattern. Yet, there is a stunningly simple explanation behind it.

Let's pull back the curtain! Image
First, the raw definition.

This is how the product of A and B is given. Not the easiest (or most pleasant) to look at.

We are going to unwrap this. Image
Here is a quick visualization before the technical details.

The element in the i-th row and j-th column of AB is the dot product of A's i-th row and B's j-th column. Image
Read 17 tweets
Jan 8
Behold one of the mightiest tools in mathematics: the camel principle.

I am dead serious. Deep down, this tiny rule is the cog in many methods. Ones that you use every day.

Here is what it is, how it works, and why it is essential: Image
First, the story:

The old Arab passes away, leaving half of his fortune to his eldest son, third to his middle son, and ninth to his smallest.

Upon opening the stable, they realize that the old man had 17 camels. Image
This is a problem, as they cannot split 17 camels into 1/2, 1/3, and 1/9 without cutting some in half.

So, they turn to the wise neighbor for advice. Image
Read 18 tweets
Jan 1
The single most undervalued fact of linear algebra: matrices are graphs, and graphs are matrices.

Encoding matrices as graphs is a cheat code, making complex behavior simple to study.

Let me show you how! Image
If you looked at the example above, you probably figured out the rule.

Each row is a node, and each element represents a directed and weighted edge. Edges of zero elements are omitted.

The element in the 𝑖-th row and 𝑗-th column corresponds to an edge going from 𝑖 to 𝑗.
To unwrap the definition a bit, let's check the first row, which corresponds to the edges outgoing from the first node. Image
Read 18 tweets
Dec 11, 2025
The single most undervalued fact of linear algebra: matrices are graphs, and graphs are matrices.

Encoding matrices as graphs is a cheat code, making complex behavior simple to study.

Let me show you how! Image
If you looked at the example above, you probably figured out the rule.

Each row is a node, and each element represents a directed and weighted edge. Edges of zero elements are omitted.

The element in the 𝑖-th row and 𝑗-th column corresponds to an edge going from 𝑖 to 𝑗.
To unwrap the definition a bit, let's check the first row, which corresponds to the edges outgoing from the first node. Image
Read 18 tweets
Dec 9, 2025
Matrix multiplication is not easy to understand.

Even looking at the definition used to make me sweat, let alone trying to comprehend the pattern. Yet, there is a stunningly simple explanation behind it.

Let's pull back the curtain! Image
First, the raw definition.

This is how the product of A and B is given. Not the easiest (or most pleasant) to look at.

We are going to unwrap this. Image
Here is a quick visualization before the technical details.

The element in the i-th row and j-th column of AB is the dot product of A's i-th row and B's j-th column. Image
Read 17 tweets

Did Thread Reader help you today?

Support us! We are indie developers!


This site is made by just two indie developers on a laptop doing marketing, support and development! Read more about the story.

Become a Premium Member ($3/month or $30/year) and get exclusive features!

Become Premium

Don't want to be a Premium member but still want to support us?

Make a small donation by buying us coffee ($5) or help with server cost ($10)

Donate via Paypal

Or Donate anonymously using crypto!

Ethereum

0xfe58350B80634f60Fa6Dc149a72b4DFbc17D341E copy

Bitcoin

3ATGMxNzCUFzxpMCHL5sWSt4DVtS8UqXpi copy

Thank you for your support!

Follow Us!

:(