Dr. Dominic Ng Profile picture
Aug 20 11 tweets 3 min read Read on X
Researchers just developed a machine learning-optimised diet that reduces dementia risk by 36% - stronger than any existing dietary pattern.

The MODERN diet analysed 185,012 people over 10 years - here's what they found 🧵 Image
The study used UK Biobank data with 1,987 participants developing dementia over 10 years (mean age at onset: 74.6 years).

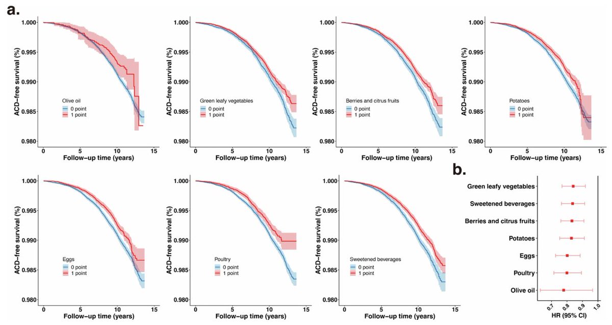
Machine learning identified 8 key food groups from 25 that showed associations with dementia risk.
The AI discovered U-shaped relationships - both too little AND too much of certain foods increase dementia risk.

Example: Eggs protect brain at 0-1/day but harm at >1/day. Same pattern for poultry, vegetables, and others.
The MODERN diet has 3 types of components:
LINEAR BENEFIT:
✅ Olive oil (use daily)

U-SHAPED (moderation is key):
📊 Green leafy vegetables (0-1.5 servings/day)
📊 Berries & citrus fruits (0-2 servings/day)
📊 Potatoes (0-0.75 servings/day)
📊 Eggs (0-1 serving/day)
📊 Poultry (0-0.5 servings/day)

LINEAR HARM:
❌ Sweetened beverages (avoid completely)Image
External validation in 33,752 US participants showed:
- MODERN diet: 36% lower dementia risk
- MIND diet: 25% lower risk

The MODERN diet outperformed the established MIND diet. Image
Brain imaging revealed the MODERN diet was also associated with:
1. Larger cortical thickness in 31 of 68 brain regions
2. Better white matter integrity (FA/MD improvements)
3. Preserved hippocampal structure Image
Which pathways likely explain the protective effects?

Biomarker analysis showed:
↑ Omega-3 fatty acids (especially DHA)
↓ Inflammation markers (IL-6, CRP)
↓ Harmful proteins (GFAP decreased 8.4%)
It didn't just work for dementia either it was also associated with:
1. Mental disorders: 11% lower (strongest association)
2. All-cause mortality: 9% lower
3. Cardiovascular disease: Various reductions
Even more importantly the higher your risk, the MORE it helps:
1. APOE4 carriers: 41% reduction
2. Women 50+: 44% reduction
3. People with diabetes: 39% reduction
4. Family history: 48% reduction
Why AI succeeded where humans couldn't:
- Analysed 206 foods × 185,012 people = 38M+ data points
- Detected non-linear patterns invisible to traditional analysis
- Identified synergistic effects between food combinations

Precision nutrition is already here.
If you want more neuroscience updates make sure to follow me @drdominicng or join my new newsletter
brainhealthdecoded.com/subscribe

• • •

Missing some Tweet in this thread? You can try to force a refresh
 

Keep Current with Dr. Dominic Ng

Dr. Dominic Ng Profile picture

Stay in touch and get notified when new unrolls are available from this author!

Read all threads

This Thread may be Removed Anytime!

PDF

Twitter may remove this content at anytime! Save it as PDF for later use!

Try unrolling a thread yourself!

how to unroll video
  1. Follow @ThreadReaderApp to mention us!

  2. From a Twitter thread mention us with a keyword "unroll"
@threadreaderapp unroll

Practice here first or read more on our help page!

More from @DrDominicNg

Aug 16
Chronic ruminators have faster memory decline AND higher Alzheimer's proteins (amyloid/tau).

That 3am cringe compilation in your head?
It's not just stealing sleep.

But before you spiral about spiralling - here's how it damages your brain (and what actually helps) 🧵 Image
In this paper, scientists studied 360 older adults and found ruminators had:
1. Faster memory decline &
2. Higher brain amyloid and tau levels

They even replicated these findings in another independent cohort. Image
Image
So how might rumination actually damage the brain? Several possibilities:
🧠 By sustaining stress chemistry that increases amyloid/tau production.
😴 By eroding deep sleep that normally clears proteins.
🔥 By maintaining inflammation that disrupts cleanup cells (microglia).
🩸 By stressing vessels/BBB that normally export waste.
Read 10 tweets
Aug 4
Multiple sclerosis patients see psychiatrists at triple the normal rate 12 years before symptoms
🧵👇 Image
MS normally strikes out of nowhere - vision loss, mobility problems, sudden relapses.

But scientists wondered: is that dramatic first symptom really the beginning? Image
Researchers in British Columbia tracked:
- 2,038 MS patients
- 10,182 matched controls
- 25 years of medical records

They used physician visits as a proxy to detect early disease activity - looking for patterns before symptom onset (NOT diagnosis).
Read 7 tweets
Jul 16
Frequent pornography use linked to altered brain connectivity and impaired cognitive performance.

Scientists compared college students who watch hours of porn weekly with light viewers.

Here’s what they found 🧵 Image
Heavy viewers show a tighter sync between reward hubs & impulse-control cortex

Snap choices win, self-restraint loses Image
After watching porn, heavy viewers scored lower for accuracy and were slower on tests of attention. Image
Read 4 tweets
Jul 14
A psychopath's brain is strikingly different.

Their total brain volume is ~1.45 % smaller than that of non-psychopathic peers. 🧵👇 Image
The volume loss concentrates in the brain’s impulse-control network.
- Frontal Cortex (Brain's 'impulse assessor')
- Basal Ganglia/Thalamus (The 'brake' itself)
The more impulsive & antisocial the personality, the smaller these control circuits became.

Less grey matter, weaker self-control. Image
Read 5 tweets
Jul 8
Quality sleep is the foundation of health.

Yet a third of us are chronically underslept.

Here are 10 research-proven methods to transform your nights:
1. Keep a consistent schedule.
Same 30-minute window = 36% less insomnia.
2. Get morning light.

Just 10 minutes of bright sunlight within an hour of waking can shift your body clock by 30 minutes and boost your natural melatonin by 35%.
3. Create a sleep cave:
- Cool: 65°F/18°C increases deep sleep by 10%
- Dark: Blackout curtains support melatonin
- Quiet: Under 30 decibels prevents wake-ups
Read 11 tweets
Jul 4
New study @NatureGenet identifies first genetic risk factor for long COVID.

They compared DNA from 16,000 patients vs 1.9 million controls across 24 countries.

Here are my key takeaways 👇 Image
Key result: FOXP4 gene variant (rs9367106) increases long COVID risk by 60% Image
How it works: The risk variant leads to higher FOXP4 expression in:
- Lung alveolar cells (Type 2 that produce surfactant & repair damage)
- Immune cells (granulocytes)

Suggesting that immune cells and/or respiratory cells play a role. Image
Read 9 tweets

Did Thread Reader help you today?

Support us! We are indie developers!


This site is made by just two indie developers on a laptop doing marketing, support and development! Read more about the story.

Become a Premium Member ($3/month or $30/year) and get exclusive features!

Become Premium

Don't want to be a Premium member but still want to support us?

Make a small donation by buying us coffee ($5) or help with server cost ($10)

Donate via Paypal

Or Donate anonymously using crypto!

Ethereum

0xfe58350B80634f60Fa6Dc149a72b4DFbc17D341E copy

Bitcoin

3ATGMxNzCUFzxpMCHL5sWSt4DVtS8UqXpi copy

Thank you for your support!

Follow Us!

:(