BowTied Biohacker Profile picture
Sep 4 33 tweets 13 min read Read on X
BREAKING: MIT scientists prove "Male Pattern Baldness" is a $3.5 billion LIE

It's not genetic. It's not hormonal

It's MITOCHONDRIAL - your scalp is aging 6x faster than your skin

Big Pharma has been hiding the truth for 40 years

And we have the RECEIPTS

🧵
Hair loss ISN'T caused by DHT or genetics.

It's an energy crisis in your scalp called "Energetic Alopecia."

And there's only ONE thing in the world that directly fixes it.
First, answer me this:

Name ONE historical figure (pre-electricity_ who went completely bald before ~65

Caesar? Norwood 3-4

Napoleon? Hair intact

Every founding father? Thick manes into old age

"Male pattern baldness" wasn't even in medical books before 1950

What changed?
1950: Fluorescent lighting invaded every office
1960: TVs in every home
1970: We started bathing in electromagnetic fields
Today: You're under blue light 16 hours a day Image
Look at this paradox that destroys everything you've been told...

Hair loss is EXPLODING (12% in 1980s → 50%+ today)

While DHT levels are PLUMMETING (120 ng/dL → below 40 ng/dL)

If DHT caused hair loss, we'd see LESS balding, not MORE.

So what's going on? Image
Image
Every finasteride prescription is based on a LIE

The real culprit has been hiding in plain sight...

Ask WHY Male pattern baldness ONLY attacks one specific area: the galea aponeurotic

This dense connective tissue stretched over your skull becomes an energy wasteland.

Not from hormones. From mitochondrial FAILURE.

And men's anatomy makes us sitting ducks...Image
Men have:

- Prominent brow ridges creating tension
- Larger neck muscles pulling constantly
- Less fat cushioning the scalp

We're BUILT for this energy crisis

But it's not a death sentence... Image
It's ENERGETIC ALOPECIA - your follicles are literally starving to death at the Mitochondrial level.

And we can prove it with 2 groundbreaking Studies
Groundbreaking 2022 research exposed the TRUTH

Hair follicles from balding men showed:

- DEAD mitochondria (your cellular power plants)
- 70% less ATP (cellular energy)
- Massive oxidative stress Image
The death cascade:

- Complex I activity: DOWN 40%
- Complex IV: DOWN 46%
- ATP synthase: DOWN 25%

Translation: Your hair factories have no electricity. Image
When researchers inhibited Complex I further?

Cell death markers went up 280%.

This has nothing to do with genetics. It's an energy crisis.
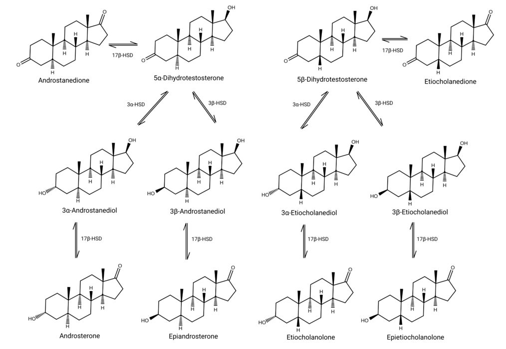
Your mitochondria control DHT production through cellular energy.

When they're damaged and desperate for energy, they crank up NADPH - the exact cofactor that converts testosterone to DHT. Image
DHT then shows up like a construction crew at a disaster site

It calls in immune cells and starts emergency remodeling of your scalp, like when you form scars after getting a wound

This of course causes a buildup of scar tissue in the follicles over time Image
Layer after layer of collagen gets dumped until you get dat der shiny, reflective dome.

The follicles didn't just die - they got BURRIED in scar tissue Image
The vicious cycle destroying your hair:

Scalp tension → Low oxygen → Inflammation → Scar tissue → LESS blood flow → MORE hypoxia

The Truth No One Is Realizing: DHT is just cleanup crew responding to the disaster.

And 99% of treatments ignore the REAL problem...
STUDY #2 (2024) - The NMN Bombshell:

Researchers gave dying follicles NMN (NAD+ precursor).
Results:

- Cell survival: 60% → 100%+
- Complete fibrotic damage reversal
- Follicles resurrected like nothing happened

They literally brought dead follicles back to life. Image
The mouse experiment that shocked everyone:

Stimulated hair loss in mice and, treated with

- Exogenous DHT (to simulate similar inflammatory and immunogenic balding)
- Minoxidil (Rogaine)
- NMN (NAD+ Cofactor)

- Day 5: NMN mice growing hair, DHT mice bald
- Day 10: NMN mice had fur, DHT mice had fuzz
- Day 15: NMN mice fully recovered

NMN = Better Minoxidil without the heart problems.Image
Image
Recap:

DHT shows up because your follicles are injured and can't heal.

It's not the problem; you can think of DHT as paramedic arriving at a disaster scene.

When mitochondria can't produce ATP, DHT tries to force healing through fibrosis.
The inflammation bomb DHT triggers:

- IL-6: UP 10,000%
- IL-1β: UP 1,600%
- TNF-α: Through the roof
- NF-κB: Master inflammation switch ACTIVATED

But NMN shut down EVERY inflammatory signal.
Complete reversal at the genetic level.Image
Image
Growth signals destroyed vs restored:

VEGF (master growth factor):
-With DHT: 1,500 pg/mL (starvation)
-With NMN: 3,771 pg/mL (abundance)

That's 250% more growth signal.

NMN literally reprograms follicles from "die" to "thrive."
The genes get reversed:

- DKK-1 (suicide gene): DOWN 75%
- β-catenin (survival): UP 125%

NMN/NAD+ doesn't just stop damage.

It reverses the entire death program.

Your follicles want to live. They just need energy. Image
Image
Why Men are balding at 25:

- Blue light destroys Complex I
- nnEMF disrupts electron transport
-No NAD+ = No ATP
-N o ATP = No DNA repair
-O xidative stress explodes
- Inflammation cascade begins
- Follicles enter death spiral

Your scalp is aging 6x faster than the rest of your skin.
The DHT Paradox Nobody Understands:

DHT is a PARACRINE hormone - made and used locally in tissues. Serum DHT tells you NOTHING about what's happening in your scalp.

Here's the mindfuck:

DHT is created ON DEMAND during oxidative stress

A woman could have MORE scalp DHT than a bodybuilder on gear

Either could have SKY-HIGH scalp DHT with ZERO hair loss

IF the root causes aren't there.
Women get "male pattern baldness" too. Men with single-digit DHT still go bald.

Because the REAL issue is energetic and immunogenic crisis in the scalp. Image
Image
Meanwhile, what's Finasteride doing?

Meta-analysis of 1,261 users:
68% quit within 3 years

33% had ZERO response
<50% saw any regrowth

This is why blocking DHT isn't even the best solution for hair loss (ignoring the obvious mood, cognition, strength, sexual function, and fertility impacts)

DHT and it's NEUROSTEROID metabolites are necessary for metabolic, reproductive, cognitive, and emotional wellbeingImage
Image
Image
The solution isn't attacking DHT.

It's fixing the ROOT CAUSE: mitochondrial destruction

When NAD+ crashes (blue light/aging/stress):
- No Complex I function
- No ATP production
- No DNA repair
- Gene chaos

Game over
NUMU NAD+ Energize

The ONLY root cause hair loss solution currently in existence

NAD+ - Direct Complex I substrate
NMN - The EXACT molecule from the study
NR - Alternative pathway backup
Niacinamide - NAD+ recycling

Quadruple-stack ensures restoration through EVERY pathway. Image
A follower using NUMU NAD+ for about a month sent us this INCREDIBLE before and after

Tons of Velus Hair growth, darkening, and thickening

NAD+ is the TRUTH. TELL EVERYONE!!!! WE NEED MORE OF THIS ON THE MARKET Image
Image
Check it out at

We officially can offer BOWTIED as a 10% off coupon

You can save 19% with subscriptions tootrynumu.com/?sca_ref=95518…
The supporting ingredients that amplify everything:

- CoQ10 - Electron shuttle when complexes damaged
- Green Tea - Reduces oxidative stress 200%
- Caffeine - ATP production + circulation
- Zinc - Required for 200+ repair enzymes
- Ammonium Glycyrrhizate - Reduces cortisol
- Horse Chestnut - Microcirculation boost

Every ingredient addresses a mechanism from the studies.
But energy alone isn't enough...

You need growth signals once power is restored
NUMU MAX delivers:

- GHK-Cu 3% in NANAOCARRIER DELIVERY TECH - Increases follicles 35%, extends growth phase 20%
- EGF - Forces cellular proliferation
- Rosemary - Outperformed minoxidil in trials
- Pumpkin Seed - Blocks fibrotic signalingImage
It's technically not necessary, but amazing if you wanna accelerate your results

You can check it out here where BOWTIED also applies for 10% off and subs will save you more

trynumu.com/products/nouri…
And as always, you don't need products to reverse mitochondrial disease. You need to change your lifestyle, nutrition, and environment.

Exogenous NAD+, cofactors, and phytoactives may make up for not living a perfect lifestyle, but anyone can do it for free/cheap

MORNING (Non-Negotiable):

Sunrise 30-45 min - NO glasses/contacts (block 40-50% infrared)
Bare feet on earth
Programs POMC → alpha-MSH → melanin → mitochondrial function
8-10am UV-A programs neurotransmitters

MIDDAY:
Solar noon 45-60 min for peak UV-B/vitamin D

Start 5-15 min if pale, build "solar callus"
NO hat - scalp needs direct light
Combine with grounding for electrons + light
EVENING:

Sunset 30 min signals melatonin

Post-sunset: ZERO artificial light ideal

Use candles/red bulbs only if needed

Blue light destroys 80-90% melatonin
Screens OFF or use f.lux/IRIS <2700K + red blockers
Winter/Clouds: Still go outside for timing cues Consider UV-B lamp 10-20 min if high latitude

NUTRITION PROTOCOL (CHEAP - Food as Medicine)

ZERO TOLERANCE ELIMINATION (3-6 months minimum):

- All refined sugars/artificial sweeteners
- ALL grains including "healthy" whole grains
- Soy, corn (estrogenic/inflammatory)
- Industrial seed oils
- Conventional dairy (wait 3 months, try raw A2)
- Legumes, beans, nightshades
- Alcohol (destroys gut, depletes B vitamins)
-Processed foods with additives

This allows gut healing and reduces systemic inflammation driving scalp issues.

DAILY REQUIREMENTS:
- Seafood/Shellfish (CRITICAL):
Minimum 1 serving daily, 2 if screen work
- Sardines, mackerel, anchovies (high omega-3, low mercury)
- Weekly shellfish: oysters, mussels, clams (zinc, copper, iron)
-Contains SN-2 DHA - can't replace with supplements
- Natural sources of Vitamin A, B vitamins, copper, iron (start 4oz weekly). CoQ10, B vitamins, amino acids

Quality Proteins:
- Grass-fed ruminant meat
- Pasture-raised eggs (4-6 daily)

- Bone broth daily

- Strategic Carbs:
- Only seasonal, local fruits
- Root vegetables in winter

CIRCADIAN RHYTHM OPTIMIZATION (FREE)

SLEEP SANCTUARY:
Bedroom 60-67°F (cold stimulates mitochondria)

- Complete darkness: blackout curtains + eye mask
- Remove ALL electronics
- Grounding sheet or sleep on floor
- Mouth tape for nasal breathing

MEAL TIMING:

- First meal within 30-60 min of sunrise (high protein/fat)
- Largest meal at lunch
- Final meal 3-4 hours before bed

- No snacking - clear on/off digestive signals

SLEEP:
- In bed by 10pm (miss 10pm-2am = miss growth hormone)
- Same time 7 days/week

EMF MITIGATION (FREE to CHEAP)

PHONE:
- Airplane mode 90% of time
- Never to head - speakerphone only
- 6+ feet away when sleeping
- Download maps/content offline

COMPUTER:

- Ethernet cable only - disable WiFi ($10)
- External keyboard/mouse
- Blue blocking software

HOME SANCTUARY:
- WiFi off at night (timer $15) or Faraday cage ($50)
- Replace LED/CFL with incandescent (15-25 watts)
- Unplug bedroom at breaker
- No smart meters - demand analog or shield

DIRTY ELECTRICITY:
-Remove dimmers
-Unplug unused electronics
- Test with AM radio

DAILY EARTH CONTACT:

-20 min barefoot on grass during sunrise
-Beach/ocean most powerful (salt water + sand)
- Gardening hands in soil
- Outdoor workouts barefoot
-Best surfaces: Ocean > Wet sand > Grass with dew > Concrete > Brick

SCALP TENSION & CIRCULATION (FREE)

DAILY MASSAGE:

- 5 min morning, 5 min evening
- All 10 fingertips, firm pressure
- Start hairline → crown → occipital ridge
- Focus on galea aponeurotica
- Circular motions + lifting scalp off skull
-Add peppermint oil for blood flow

STRESS & NEUROTRANSMITTER MANAGEMENT (CHEAP)
x.com/BowTiedUM/stat…

• • •

Missing some Tweet in this thread? You can try to force a refresh
 

Keep Current with BowTied Biohacker

BowTied Biohacker Profile picture

Stay in touch and get notified when new unrolls are available from this author!

Read all threads

This Thread may be Removed Anytime!

PDF

Twitter may remove this content at anytime! Save it as PDF for later use!

Try unrolling a thread yourself!

how to unroll video
  1. Follow @ThreadReaderApp to mention us!

  2. From a Twitter thread mention us with a keyword "unroll"
@threadreaderapp unroll

Practice here first or read more on our help page!

More from @BowTiedUM

Sep 4
You're being microwaved alive by the device in your hand

Big Tech doesn't want you to know this, but...

What you're about to see will change how you view technology forever

WARNING: This Information Has Been Systematically Suppressed

THREAD
Two identical pots. Same seeds. Same water. Same sunlight.

The only difference? One exposed to WiFi radiation.

The WiFi-exposed seeds? DEAD. Won't sprout.

This experiment is repeatable in ANY home.

But here's what they DIDN'T tell you...
Your WiFi router pumps out 2.45 BILLION waves per second

That "energy-efficient" LED bulb? Suppresses melatonin by 80%

Anything plugged into the wall is generating electrical/magnetic fields that are disrupting your biology on a quantum level

You're living in a microwave oven
Read 24 tweets
Aug 27
The Gut-brain axis isn't some woo woo hippie bullshit

Ignoring this reality will leave you:

- Limp 🍆'd
- ADDICTED to scrolling, porn, substances, gambling
- Weak & underperforming
- Chronically ill

Here's what the soy medical establishment doesn't want you to know:
Your gut has more neurons than your spinal cord.

It's literally your "second brain" connected to your skull computer via the vagus nerve superhighway.

When your gut is inflamed, your brain is inflamed. Image
Image
The Quantum Biology Your Doctor Doesn't Understand:

Your gut bacteria emit 5,000x more biophotons than your own cells.

These light signals coordinate everything from neurotransmitter production to hormone synthesis.

Modern life systematically destroys this quantum coherence. Image
Read 13 tweets
May 27
🚨BREAKING 🚨

Big Pharma to lose $4.8 Billion annually while millions of Doctors lose their credibility after "Androgenic Alopecia" myth debunked and the Ultimate Hair Loss Reversal Protocol Revealed

THREAD
Everything we've been told about hair loss is wrong

Big Pharma pushes 5AR inhibitors & Minoxidil, but hair follicles need something radically different.

To understand why, we need to first debunk "Androgenic" alopecia & find out what's really going on
Hair loss was extremely rare historically, especially before age 30.

There's a reason you can't think of a single historical figure that was Norwood 5 or 6 as a young man.

Today, hair loss is rising rapidly even as average DHT levels plummet. Why? Image
Image
Read 34 tweets
May 19
We unleashed an army of AI agents to deepsearch the internet for the definitive hair loss solution to end all hair loss solutions

And WTF this changes EVERYTHING

Thread...
After deeply examining every corner of the web for solutions that tackle the underlying cause of male hair loss, it's clear that there's *currently* only one...
But before we get into it, let's quickly dissect what's going wrong at a sub-cellular level to make men go bald
Read 22 tweets
Feb 6
This age-reversing peptide combo is about to demolish the 500B skin and haircare industry overnight

No injections ✅

Results in 5-7 days ✅

Makes botox, retinol, and all the serums irrelevant ✅

A deep dive into the anti-aging miracle stack: Image
A lot of you are familiar with GHK-CU, the ultimate anti-aging bioregulator peptide for cosmetic purposes, but there’s another player in the game now:

EGF (Epidermal Growth Factor) is a 53 amino acid polypeptide that regulates a variety of cellular growth processes Image
Multiple clinical trials have demonstrated that topical recombinant human EGF:

- Reduces and even eliminates wrinkles and lines

- Improves skin texture hydration (makes it soft and smooth)

- Reduces pore size

- Reduces scars and hyperpigmentation

- Increases attractiveness Image
Read 19 tweets
Sep 25, 2024
The Jab You Should Have Taken (Big Pharma Wants This BANNED)

Thymosin Alpha 1 is a 28 amino acid peptide that modulates immune system activity

I knew I struck gold when I caught a cold, took a 2mg shot, and woke up the next day feeling GREAT

The cough, runny nose, and body aches: GONE

I proceeded to do my morning cardio as if I never got sick

"This seems too good to be true," I thought

And it still does.

But after testing it again myself and comparing notes with fellow researchers, I can at least say that it works

The potency and effectiveness of this peptide gave me no choice but to go on a 3-day turbo autist PubMed rabit hole

Here's what the research says about Thymosin Alpha 1's potential benefits:

1) Immune System Modulation

Ta1 enhances the function of certain immune cells, including T-cells and dendritic cells, which play a critical role in immune response.

2) Antiviral Properties

Studies suggest it has the potential to fight against various viral infections by enhancing the body's antiviral immune response.

3) Antibacterial Effects

Ta1 may also have antibacterial properties, supporting the immune system in fighting bacterial infections.

4) Cancer Treatment Adjunct

Some research suggests that Ta1 could be useful as an adjunct treatment in cancer therapy.

It may improve the efficacy of certain cancer treatments by boosting the immune system.

5) Hypertension Management

Hypertension is a leading cause of cardiovascular and kidney disease.

Ta1 appears to act as on ACE inhibitor, which relaxes blood vessels and lowers blood pressure.

6) Autoimmune Disease Management

Ta1 appears to modulate the immune system in a way that could be beneficial for treating certain autoimmune diseases.

7) Chronic Disease Management

Due to its ability to differentially stimulate immune activity or inhibit inflammation, interact with ACE, and act as an antioxidant, Ta1 seems like it could play a pivotal role in chronic disease management

Side Effects/Risks

From current available research and anecdotes, Ta1 appears to be a well-tolerated compound with very few side effects reported other than occasional redness or itching at the injection site

The side effects of Thymosin alpha 1 can vary depending on the individual, dosage, and duration of treatment.

Rare side effects such as nausea, headaches, body aches, and lethargy have been reported, although it is unclear what role Ta1 plays in those

Overall, Ta1 has its spot in my top 5 favorite peptides and I will continue to use it as an immune booster when I feel a cold coming on

While I think it's only a matter of time before the FDA bans this one too, I hope that it will be further researched as it seems to have a lot of potential for various conditionsImage
Interested in researching Ta1?

Limitless Biotech has the highest quality, American-made, 3rd party tested peptides

Coupon code BOWTED = 15% off

limitlesslifenootropics.com/product/thymos…
Algo is so cooked

Comment and repost if you love me
Read 4 tweets

Did Thread Reader help you today?

Support us! We are indie developers!


This site is made by just two indie developers on a laptop doing marketing, support and development! Read more about the story.

Become a Premium Member ($3/month or $30/year) and get exclusive features!

Become Premium

Don't want to be a Premium member but still want to support us?

Make a small donation by buying us coffee ($5) or help with server cost ($10)

Donate via Paypal

Or Donate anonymously using crypto!

Ethereum

0xfe58350B80634f60Fa6Dc149a72b4DFbc17D341E copy

Bitcoin

3ATGMxNzCUFzxpMCHL5sWSt4DVtS8UqXpi copy

Thank you for your support!

Follow Us!

:(