Brian Albrecht Profile picture
Oct 22 10 tweets 4 min read Read on X
Two macro trends over 40 years:

- Rising markups
- Falling business dynamism

Are these related? Many economists say so.

@UpdatedPriors and I have an updated paper where we take an IO approach and look sector by sector.

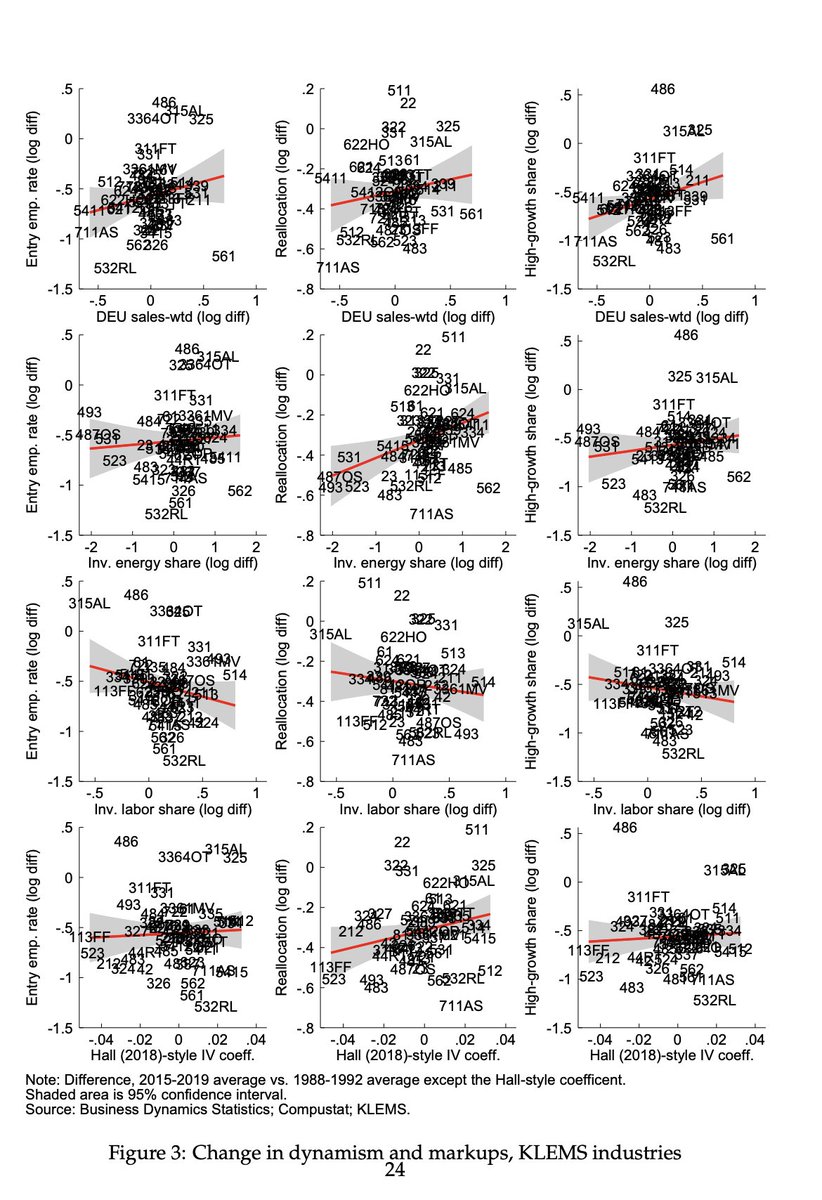
Spoiler: The industry data tells a different story 🧵 Image
Image
The economic logic makes some sense:

Higher markups → firms have market power → barriers keep out competitors → less entry/dynamism

This story is so widely accepted. It's in the background of all antitrust discourse.

But what happens when we test it at the industry level?
Plot twist: no relationship.

If anything, industries with BIGGER markup increases had SMALLER dynamism declines.

That's the opposite of what the market power story predicts.

We checked this relationship every way imaginable. Image
Image
We ran hundreds of specifications:

- Different markup measures
- Different dynamism metrics
- Different weighting

T-stats cluster around zero or slightly positive. The median effect? Positive! Image
NEW in this version: We added NBER-CES manufacturing data through 2019

Why this matters:

- Much finer detail (up to 4-digit NAICS vs 2-3 digit elsewhere)
- Census plant-level sources, not just public firms

Same method, same result: no relationship Image
Maybe it's about timing?

We use local projections to trace out dynamic effects.

A markup increase today should reduce entry/dynamism in future years if market power is the mechanism.

Nope. Nothing. Image
One markup measure does correlate: labor share.

When labor markup rises, dynamism drops.

But this might reflect automation or changing production technology, not market power. Pure market power should show up in all markup measures. Image
What our results really suggest: Rising markups and declining dynamism are parallel trends, not cause and effect.

They're occurring in different industries at different times.

Any aggregate correlation seems spurious; two independent phenomena happening to coincide temporally
This week's Nobel commentary keeps treating "rising markups killed dynamism" as settled science.

It's not. Our industry-level evidence suggests these are independent trends.

We're designing competition policy based on a correlation that doesn't exist.
We see this as challenging the conventional wisdom. As such, we welcome feedback.

Full paper here briancalbrecht.com/Albrecht_Decke…Image

• • •

Missing some Tweet in this thread? You can try to force a refresh
 

Keep Current with Brian Albrecht

Brian Albrecht Profile picture

Stay in touch and get notified when new unrolls are available from this author!

Read all threads

This Thread may be Removed Anytime!

PDF

Twitter may remove this content at anytime! Save it as PDF for later use!

Try unrolling a thread yourself!

how to unroll video
  1. Follow @ThreadReaderApp to mention us!

  2. From a Twitter thread mention us with a keyword "unroll"
@threadreaderapp unroll

Practice here first or read more on our help page!

More from @BrianCAlbrecht

Oct 15
Anthropic just released policy proposals.

There are actively bad ideas, generally good but unrelated to AI, and others that miss the forest for the trees.

I read the overarching framing as "how do we minimize harm?" not "how do we harness benefits and navigate trade-offs?"
AI is bad, so tax it! Okay?

It's not exactly clear what the externality is, but we don't just tax everything an some economist calls an externality. Image
We've already been through this with taxing "robots".

Papers designed to find benefits of this type of tax find tiny benefits. economics.mit.edu/sites/default/…
Read 21 tweets
Oct 13
🚨 2025 Nobel Prize in Economics goes to Mokyr, Aghion and Howitt 🚨

"for having explained innovation-driven economic growht"

The best prize in years! Image
For most of human history, living standards barely changed. Then something shifted.

This is THE question. The hockey stick. Why did it happen? What happened?

Modern economics get critiqued for being meaursable stuff that doesn't matter. Not these guys
Mokyr gets half for explaining the prerequisites. This is the first history prize in decades and no deserved.

Aghion & Howitt share half for modeling the mechanism.

Let me break down what they did.
Read 33 tweets
Oct 10
Matthew Lynn's WaPo piece claims economists were wrong about tariffs. Economists are a diverse group so you can definitely find mistakes.

But overall it's a bad piece.

Cherry-picking data, timeline confusion, and misunderstanding basic tax data and incidence. Image
It's a bit of shadowboxing against I'm not sure who.

2 private economists who made predictions mid-April?

Okay. Lynn says "six months on" as if tariffs have been stable since April, so these are the right predictions to judge. Image
We just simply haven't had a hard decouple.

The admin got spooked and backed down.

Put differently, if tariffs were completely removed by June, do we really think the Goldman prediction is "wrong"?
Read 15 tweets
Sep 3
The Google Search remedies decision just dropped. The court rejected breakups, payment bans, and choice screens.

But it still ordered data sharing and syndication duties.

This reasoning will shape antitrust for years. My thoughts 🧵
First, what the court actually ordered:

- No exclusive contracts for Search/Chrome/Assistant/Gemini
- Must share some search index metadata (one-time)
- Must offer syndication to rivals
- 6-year term

What it DIDN'T order matters just as much.
No Chrome divestiture. No Android split.

It seems like a real shocker to some corners of antitrust.

Those were never going to happen if the court followed the law at all. People (including the DOJ) deluded themselves.

That's straight from Microsoft. Image
Read 21 tweets
Aug 12
🧵 of EJ Antoni completely not understanding economic statistics, being partisan hack, or both
Read 11 tweets
Aug 9
The first statement is true for any particular tax.

But it tells us nothing about comparisons across taxes. You can’t compare so easily.

Two simple examples to see why: Image
Suppose a good is in fixed supply (perfectly inelastic). Increasing that tax generates no deadweight loss.

Are you going to compare to another tax?

Lesson 1: Elasticities matter still.
Suppose everything earned has to be spent. Then a 10% income tax is the same as a ≈11% sales tax.

You can’t say the sales tax is 0% so it’s better to raise that. They’re the exact same!

Lesson 2: You need to look at the total wedge. Tariffs compound on existing income taxes.
Read 5 tweets

Did Thread Reader help you today?

Support us! We are indie developers!


This site is made by just two indie developers on a laptop doing marketing, support and development! Read more about the story.

Become a Premium Member ($3/month or $30/year) and get exclusive features!

Become Premium

Don't want to be a Premium member but still want to support us?

Make a small donation by buying us coffee ($5) or help with server cost ($10)

Donate via Paypal

Or Donate anonymously using crypto!

Ethereum

0xfe58350B80634f60Fa6Dc149a72b4DFbc17D341E copy

Bitcoin

3ATGMxNzCUFzxpMCHL5sWSt4DVtS8UqXpi copy

Thank you for your support!

Follow Us!

:(