Vipin M. Vashishtha Profile picture
Nov 20 3 tweets 2 min read Read on X
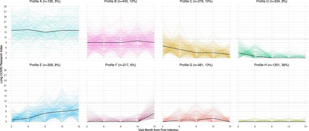
#LongCOVID can take eight different trajectories:

➡️ The researchers identified 8 different longCOVID trajectories. Some of these trajectories included persistently severe symptoms, intermittently severe symptoms, gradually improving symptoms, gradually worsening symptoms, and mild symptoms that only appeared after 15 months. 1/Image
New Mass General Brigham study: 1 in 10 people infected in the Omicron era developed long COVID, and 81% still had symptoms a year later. Eight distinct symptom trajectories identified. Long COVID remains a major public-health challenge.

➡️ Fatigue, brain fog, dizziness, palpitations — and for many, these persist. A RECOVER study of 3,659 adults found long COVID in 10.3%, with most still symptomatic at 12 months. Women and those hospitalized were at highest risk. 2/Image
This study addresses an urgent need to define the differing long COVID trajectories.

➡️ The findings will help determine what resources are needed for clinical and public health support of individuals with long COVID and will also inform efforts to understand long COVID's biological basis. 3/3

nature.com/articles/s4146…Image

• • •

Missing some Tweet in this thread? You can try to force a refresh
 

Keep Current with Vipin M. Vashishtha

Vipin M. Vashishtha Profile picture

Stay in touch and get notified when new unrolls are available from this author!

Read all threads

This Thread may be Removed Anytime!

PDF

Twitter may remove this content at anytime! Save it as PDF for later use!

Try unrolling a thread yourself!

how to unroll video
  1. Follow @ThreadReaderApp to mention us!

  2. From a Twitter thread mention us with a keyword "unroll"
@threadreaderapp unroll

Practice here first or read more on our help page!

More from @vipintukur

Nov 18
A new study provides some of the strongest evidence yet that mitochondrial dysfunction can directly cause #Parkinson’s disease, rather than being a consequence of neuron loss.

➡️ Researchers used a unique mouse model carrying a mutation in CHCHD2, a mitochondrial protein linked to a rare inherited form of Parkinson’s that closely mimics the common, late-onset form. 1/Image
Key Findings

➡️ Mutant CHCHD2 accumulates in mitochondria, making them swollen and structurally abnormal.

➡️ Cells shift away from normal energy production and develop oxidative stress due to buildup of reactive oxygen species (ROS).

➡️ Alpha-synuclein aggregation occurs after ROS rises, suggesting oxidative stress triggers Lewy body formation.

➡️ Human brain tissue from people with sporadic Parkinson’s showed CHCHD2 accumulation inside early alpha-synuclein aggregates, confirming relevance beyond the rare genetic form. 2/Image
Implications

➡️ This work maps a step-by-step causal chain:
CHCHD2 mutation → mitochondrial failure → metabolic shift → ROS buildup → alpha-synuclein aggregation → Parkinson’s pathology

➡️ It supports the idea that mitochondrial defects may underlie many forms of Parkinson’s, not just the inherited type.

➡️ Targeting oxidative stress, mitochondrial health, and energy pathways could offer new therapeutic strategies. 3/Image
Read 4 tweets
Nov 8
New research in Cell Reports Medicine helps explain why women are more likely to develop #LongCOVID — and often experience more severe, persistent symptoms like fatigue, brain fog, and pain.

The key? Differences in the immune system, gut, and hormones. 1/ Image
Researchers studied 78 people with LongCOVID (mostly mild initial cases) and compared them to 62 who recovered fully.

➡️ One year later, women with Long COVID showed clear biological differences — especially signs of gut inflammation and “leakiness.” 2/ Image
The study also found anemia and hormone imbalances.
Women with LongCOVID had lower testosterone — a hormone that normally helps control inflammation.

➡️ Lower testosterone was linked to more fatigue, pain, brain fog, and depression. 3/ Image
Read 6 tweets
Oct 27
Urine tells the story of #LongCOVID:

➡️ New study identifies a molecular fingerprint for #LongCOVID (PASC) — using just a urine test.

➡️ Researchers found 195 urinary peptides that can accurately distinguish Long COVID patients from healthy and ME/CFS controls (AUC > 0.95). 1/ Image
Researchers used urinary peptidomics to identify a molecular fingerprint of post-acute sequelae of SARS-CoV-2 infection (PASC or LongCOVID).

➡️ Methods

-50 PASC patients (10 months post-infection) were compared with 50 controls (42 healthy + 8 with non-COVID ME/CFS).

-Capillary electrophoresis–mass spectrometry (CE–MS) was used to analyze urinary peptides.

-A support vector machine (SVM) model was built to distinguish PASC cases from controls. 2/Image
➡️ Results

-195 urinary peptides showed significant differences between PASC and controls.

-Most peptides were fragments of collagen alpha chains, suggesting altered collagen turnover, inflammation, and endothelial injury.

-The classifier, named #PASC195, achieved excellent diagnostic performance:
•AUC = 0.949 (training)
•AUC = 0.962 (validation)

-Computational analyses suggested potential benefits from exercise, GLP-1 receptor agonists, and mineralocorticoid receptor antagonists (MRAs). 3/Image
Read 5 tweets
Oct 22
Understanding Long COVID

➡️ Long COVID isn’t one disease — it’s a complex web of immune, vascular, and metabolic dysfunctions.
From fatigue & brain fog to heart & lung complications, it stems from viral persistence, autoimmunity, and mitochondrial damage. 1/ Image
Proposed mechanisms:

1️⃣ Persistent viral reservoirs or antigen remnants

2️⃣ Reactivation of latent viruses (e.g., EBV)

3️⃣ Immune dysregulation & autoimmunity

4️⃣ Endothelial injury and microclots

5️⃣ Gut microbiome imbalance

6️⃣ Mitochondrial dysfunction and energy metabolism impairment. 2/Image
Current management:

- largely symptomatic—rehabilitation, pacing, and supportive therapies.

-Emerging treatments: under study — antiviral drugs, immune-modulating agents, microbiome restoration, and mitochondria-targeted therapies.

-Vaccination: reduces risk and severity of LongCOVID. 3/Image
Read 5 tweets
Oct 22
Fathers’ COVID & offspring

➡️ New research shows that paternal SARS-CoV-2 infection before conception can alter sperm RNA — leading to anxiety-like behavior & brain gene changes in offspring.

A biological “memory” of infection may pass across generations. 1/ Image
Beyond infection: inheritance

➡️ Male mice infected with SARS-CoV-2 fathered pups with altered hippocampal transcriptomes & higher anxiety.
Injecting sperm RNA from infected males reproduced the same effects — clear evidence of RNA-based inheritance. 2/ Image
COVID’s unseen legacy

➡️ Study suggests COVID infection in fathers may have transgenerational effects via changes in sperm small RNAs.
Adds a new layer to how pandemics shape health — not just for one generation, but possibly the next. 3/ Image
Read 4 tweets
Oct 13
A new study provides new evidence to help us redefine steroid use in TB care

➡️ Given the renewed interest in the steroid dexamethasone, as a host-directed treatment during the COVID-19 pandemic, the Trinity College Dublin team provides evidence that treating patients with steroids may enhance the function of their macrophages to kill the mycobacteria, while diminishing pathways of inflammatory damage. 1/Image
The researchers goal was to determine whether dexamethasone impacts the macrophage's ability to fight TB. Although glucocorticoids can reactivate TB, they are paradoxically the only adjunctive host-directed therapies that are recommended by WHO for TB.

Steroids are given to patients alongside antimicrobials in certain circumstances; however, scientists don't fully understand the effect of these drugs on the immune system, especially innate immune cells such as macrophages. 2/Image
The researchers studied macrophages derived from the blood of healthy volunteers or isolated from lung fluid donated by patients undergoing routine bronchoscopies.

➡️ By treating and infecting these macrophages in the lab with Mtb, the scientists could examine and understand how dexamethasone affects the immune response that protects the lungs during infection. 3/Image
Read 9 tweets

Did Thread Reader help you today?

Support us! We are indie developers!


This site is made by just two indie developers on a laptop doing marketing, support and development! Read more about the story.

Become a Premium Member ($3/month or $30/year) and get exclusive features!

Become Premium

Don't want to be a Premium member but still want to support us?

Make a small donation by buying us coffee ($5) or help with server cost ($10)

Donate via Paypal

Or Donate anonymously using crypto!

Ethereum

0xfe58350B80634f60Fa6Dc149a72b4DFbc17D341E copy

Bitcoin

3ATGMxNzCUFzxpMCHL5sWSt4DVtS8UqXpi copy

Thank you for your support!

Follow Us!

:(