Ziyad Al-Aly, MD Profile picture
Mar 18 13 tweets 4 min read Read on X
What happens to the heart when people stop GLP-1 drugs?
The short answer: nothing good.
New from our team: a study of 330,000+ people in @BMJMedicine
🧵 Image
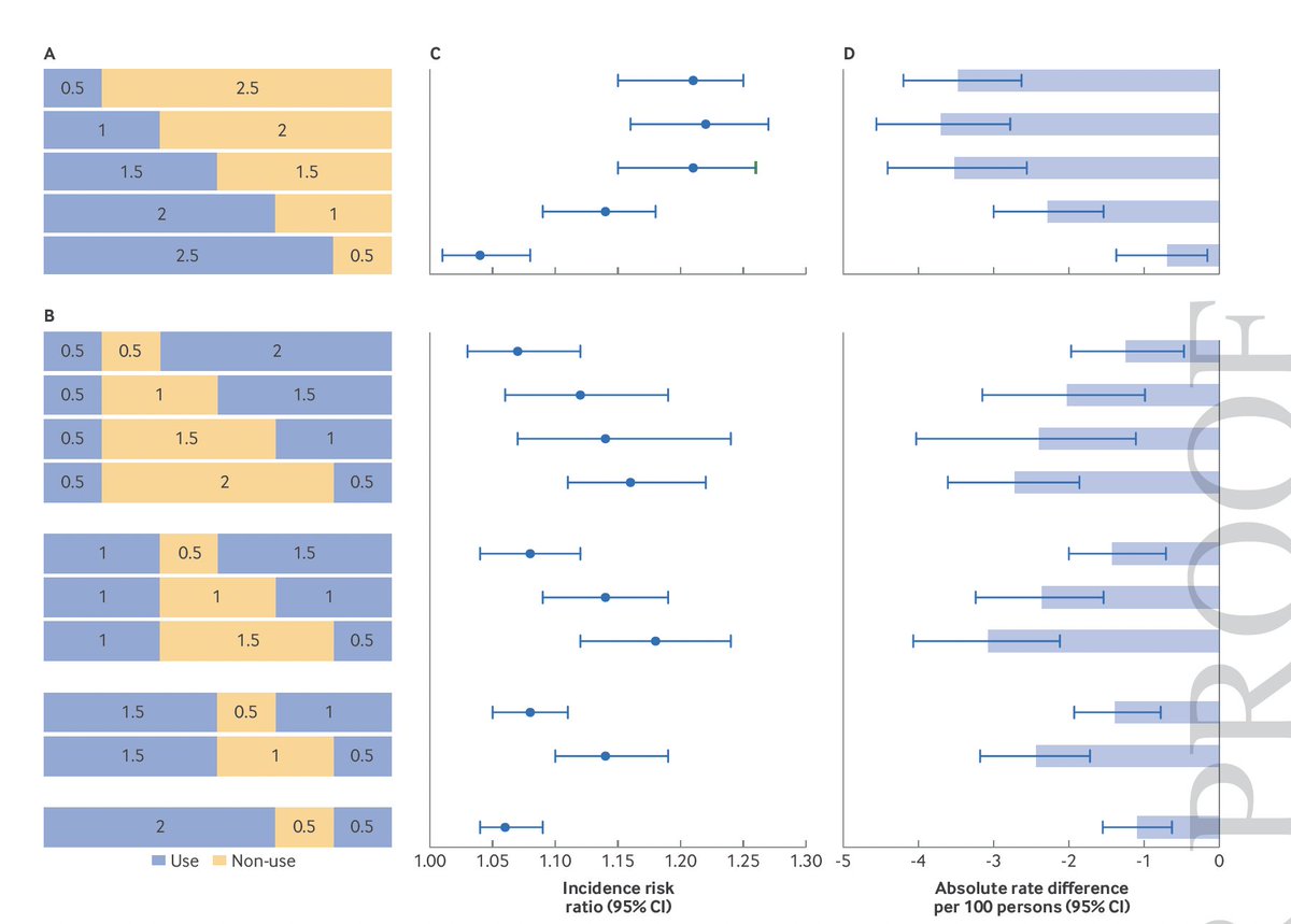
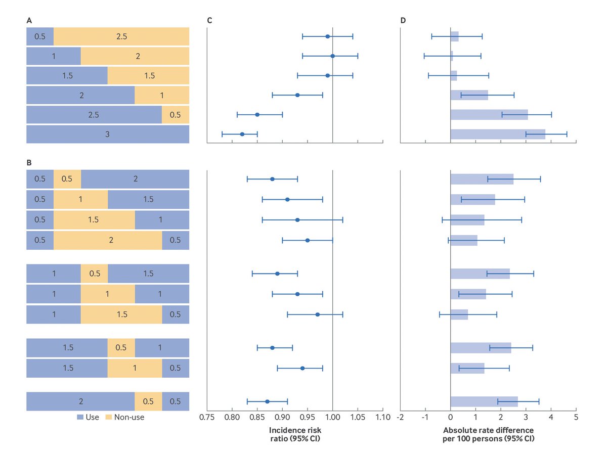
About 1 in 8 U.S. adults has taken a GLP-1 drug. But 36–81% of users stop within the first year. Most studies have focused on weight regain after stopping. We focused on what happens to the heart. Image
We followed 333,000+ adults with type 2 diabetes for 3 years, emulating a randomized trial across 16 treatment scenarios with different durations of use, discontinuation, and interruption.
The core finding: Cardiovascular protection builds slowly. It took 3 years of continuous GLP-1 use to achieve an 18% reduction in heart attack, stroke, and death.
But that protection erodes fast.
Stopping for 6 months: 4% increased risk
Stopping for 1 year: 14% increased risk
Stopping for 2 years: 22% increased risk
— all compared to staying on. Image
Here is the most striking finding:
What 3 years of continuous treatment builds, a year and a half off the drug can undo.
Protection accumulates slowly. It unravels quickly. That asymmetry may be the single most important clinical implication of this study. Image
Using the drug for 0.5, 1, or even 1.5 years and then stopping produced no significant cardiovascular benefit at 3 years.
The risk ratios were close to 1.0 — as if the drug had never been taken. Image
Restarting helped — but didn’t fully restore the protection of uninterrupted use.
Discontinuation leaves a lasting scar.
This happened in the VA system, where copays are capped at $11/month. Over a quarter of users still discontinued entirely. Nearly another quarter had interruptions.
Cost matters — but it is far from the only reason people stop.
When people stop GLP-1 drugs, it’s not just weight that comes back. They experience a resurgence in inflammation, blood pressure, cholesterol, and insulin resistance.
Weight regain is visible. The metabolic reversal is not.
We think of this as a form of metabolic whiplash.
GLP-1 drugs are not short-term treatments. They are long-term treatments, and patients, providers, and insurers all need to reckon with that. Stopping can undo years of accrued heart protection. Image
Weight regain is visible. The metabolic reversal is not.
Stopping can undo years of heart protection. Image
The heavy lifting here was done by the amazing @biostayan

Press release by the wonderful Shawn Ballard: medicine.washu.edu/news/stopping-…

@WashUMedicine @WashU @VAResearch

Paper:
bmjmedicine.bmj.com/content/5/1/e0…

• • •

Missing some Tweet in this thread? You can try to force a refresh
 

Keep Current with Ziyad Al-Aly, MD

Ziyad Al-Aly, MD Profile picture

Stay in touch and get notified when new unrolls are available from this author!

Read all threads

This Thread may be Removed Anytime!

PDF

Twitter may remove this content at anytime! Save it as PDF for later use!

Try unrolling a thread yourself!

how to unroll video
  1. Follow @ThreadReaderApp to mention us!

  2. From a Twitter thread mention us with a keyword "unroll"
@threadreaderapp unroll

Practice here first or read more on our help page!

More from @zalaly

Mar 4
📢NEW: In a study of 600,000 people published today in @bmj_latest, we found GLP-1 drugs (Ozempic, Wegovy, Mounjaro) associated with reduced risk of addiction across alcohol, opioids, cocaine, cannabis, nicotine—and 50% fewer substance-related deaths.
🧵
bmj.com/content/392/bm…Image
We used VA data—one of the largest healthcare systems in the world—to emulate 8 randomized trials.
600,000 people. 3 years of follow-up. Over 1.5 million person-years.
Two questions: Do GLP-1 drugs prevent addiction? And do they reduce harm in people already struggling with it?
Among people with no prior addiction, GLP-1 drugs were associated with lower risk of addiction across substances:
▸ Opioids: 25%
▸ Cocaine: 20%
▸ Nicotine: 20%
▸ Alcohol: 18%
▸ Cannabis: 14%
Consistent across every substance we tested.
Read 10 tweets
Jan 20, 2025
1. What are the benefits and risks of GLP1?

Our new study in @naturemedicine comprehensively maps all the benefits and risks of GLP-1 receptor agonists (GLP-1) (Ozempic, Wegovy, Mounjaro, Zepbound).

By @Biostayan, Taeyoung Choi and me
🧵

nature.com/articles/s4159…
2. Why we did this study?

We saw that GLP1 use has substantially increased, and reports emerged about some off-target effects. But we realized that no one had comprehensively investigated effectiveness & risks of GLP-1 across all possible health outcomes
nature.com/articles/s4159…
3. So, we decided to do the comprehensive study!

We did a discovery analysis which comprehensively examined 175 possible health outcomes (leaving no stone unturned) in 215,970 people on GLP1 and more than 2 million individuals not on GLP1

nature.com/articles/s4159…Image
Read 16 tweets
Dec 30, 2024
How the Pandemic Increased US Deaths!
Visualized in 8 charts by @jwgale in @business

1. The Covid Pandemic Fueled a 4-Year Mortality Surge in the US Image
2. Heart disease has long been the leading cause of death in the US and globally. The Covid pandemic worsened its effects. Image
3. Deaths From Heart Disease Accelerated as Covid Spread Image
Read 10 tweets
Oct 15, 2024
🚨 Long COVID is a significant health crisis in China too!

My commentary on the largest Chinese study to date, involving 74,075 participants, which found that 10-30% of them reported long COVID symptoms such as fatigue and brain fog #LongCovid

thelancet.com/journals/lanwp…
The features of Long Covid reported in this Chinese study are remarkably similar to those reported in studies conducted in other parts of the world.

This underscores the consistency of Long Covid features across national borders and cultures!!!

thelancet.com/journals/lanwp…
The study also shows that:

🔸Reinfections increase risk of Long Covid
🔸Vaccines reduce risk of Long Covid

This is also consistent with evidence from studies performed in other parts of the world.

thelancet.com/journals/lanwp…
Read 6 tweets
Sep 23, 2024
Here are key slides of my talk at the NIH-RECOVER-TLC
#RECOVERTLC
nature.com/articles/s4159…
Image
The number of people with Long Covid is huge. This demands global attention. nature.com/articles/s4159…
Image
The economic toll of Long Covid is significant.

nature.com/articles/s4159…
Image
Read 11 tweets
Sep 10, 2024
Here is the first randomized trial to show that an antiviral can prevent Long Covid.

In the PANORAMIC trial, people randomized to molnupiravir had less risk of Long Covid than people who received no antivirals

My comment in the link below. A short🧵
thelancet.com/journals/lanin…
The study included people with at least one risk factor for progression to severe COVID-19 illness.

People randomized to molnupiravir or usual care (no antivirals) were followed for 6 months

thelancet.com/journals/lanin…
People who were randomly assigned to molnupiravir during the acute phase of COVID-19 had better outcomes at 3 months and 6 months than those randomly assigned to usual care

thelancet.com/journals/lanin…
Read 9 tweets

Did Thread Reader help you today?

Support us! We are indie developers!


This site is made by just two indie developers on a laptop doing marketing, support and development! Read more about the story.

Become a Premium Member ($3/month or $30/year) and get exclusive features!

Become Premium

Don't want to be a Premium member but still want to support us?

Make a small donation by buying us coffee ($5) or help with server cost ($10)

Donate via Paypal

Or Donate anonymously using crypto!

Ethereum

0xfe58350B80634f60Fa6Dc149a72b4DFbc17D341E copy

Bitcoin

3ATGMxNzCUFzxpMCHL5sWSt4DVtS8UqXpi copy

Thank you for your support!

Follow Us!

:(