How to get URL link on X (Twitter) App
Interestingly, the mental illness gaps between non-heterosexual and heterosexual women tend to be larger than those between non-heterosexual and heterosexual men. Within-sex rate differences:
The largest recent physiological study I could find seems to replicate this. All orientation groups in the sample showed arousal to stimuli depicting both male and female models to similar degrees. The nominally significant findings do not survive basic statistical hygiene.
https://twitter.com/Ben_Alfred_/status/2017330841664283100
Italians were an exception, as the gender ability profiles in their sample appear to be less differentiated. Strangely, Italian males even outperformed Italian females on some processing speed tasks.
You may be wondering "what's going on with factor 4?", and so did I. However, it ceases to be mysterious once you realize that factor 4 does not load at all on the second order general factor, and was also uncorrelated with factors 1 through 3. And look at the subtest loadings!
https://twitter.com/UBERSOY1/status/1942746416473862325
The confidence intervals for the adjusted effect sizes are inferred. Here is the table from the paper:
https://twitter.com/eigenrobot/status/1938573846698738095
tbf ‘the problem’ is chiefly genetic, so it’d be more apt to say that if this (in the context of us living in a dysgenic hellscape) doesn’t remind you of how sick and degenerate civilisation is now, your sexual disgust response has been mutated out of you
Some of this is due to some moral questions being more emotionally charged than others; how you feel about abortion is more genetic than how you feel about capitalism.
https://twitter.com/JamesTate121/status/1935881158794838111
a swedish study found that iq still predicts violent offending rates between siblings, and controlling for ses variables in half brothers reared apart did not decrease the effect size.
the paper found a linear decrease in men’s fertility ORs per sd increase in openness across cohorts over time, with no indication of the trend slowing or reversing.
https://twitter.com/kirawontmiss/status/1926687911514185965
2.a year before, i’d been chewed out for telling another teacher that dolphins, and consequently killer whales, were mammals



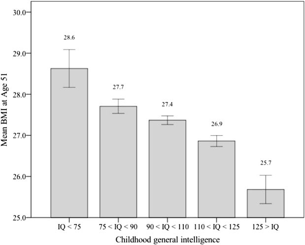
so what’s classed as ‘underweight’ (<18.5) isn’t associated with lower fertility or higher infant mortality. in fact, quite the opposite seems true. what about signs of fitness? intelligence is inversely associated with bmi: 