Dr. hbd nrx 🐸 Profile picture
Free speech activist. Gnon partisan. #humanbiodiversity
Apr 4, 2024 21 tweets 4 min read
A brief history of the alt-right & Charlottesville:

Contemporary use of the term likely dates to 2010 and Richard Spencer's Alternative Right website.

At the time, the US right was still in the Reagan-Bush-Romney era of: Supporting wars in the middle east
Funneling unlimited money to defense contractors
Evangelical Christian conservatism
Supporting mass immigration and cheap labor
Generally favoring big business
Patriot act government surveillance
Not opposing any leftist anti-white policies
Mar 26, 2024 8 tweets 2 min read
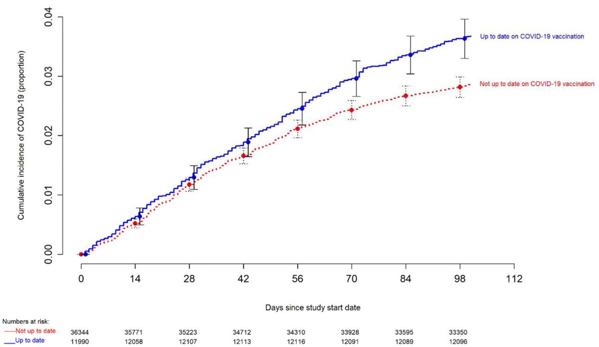
Occasionally I tell people that the covid vax increases the chance of catching covid, and they just think I'm an idiot. They haven't seen the data.

People heard that the vax reduced cases by 95%. What happened? It does look like the mrna vaxxes were effective during the time of the initial trials in 2020. Those trials only followed patients for 3 months or so, and the initial strains of covid were circulating.

But efficacy didn't turn out to be so good in the real world.
Dec 10, 2023 7 tweets 2 min read
My most significant redpill moment was shortly after the Trayvon incident in 2012. In particular, I realized then that differences were irreconcilable and that the shared values I thought existed weren't shared.

We've come a long way since then. 2013-2015 had a renaissance of HBD and anti-left blog activity, but the audience was relatively tiny. People like BAP, Richard Spencer, and Steve Sailer had Twitter followings in the hundreds early on. Redpill discourse was a small fringe, mainly discussed in clandestine groups.
Nov 11, 2023 20 tweets 4 min read
I finally watched The Trayvon Hoax documentary--twice.

The filmmaker set out to create a documentary about the Trayvon case, and in the process he discovered a very strange hoax involving the key prosecution witness being swapped for another person. I had heard when the documentary first came out that Rachel Jeantel was supposedly not actually Trayvon's girlfriend and not the person on the phone with Trayvon that night.
Jun 5, 2023 4 tweets 1 min read
Looks like Trump will be indicted for some crimes related to classified documents. These are obviously politically motivated, and Trump is correct here. Nevertheless, Trump is far more useful as a martyr than a presidential candidate at this point. Image You and I can object all we want to the fact that Trump is going to be facing trial in possible 4 separate cases (the current NY case, the classified docs case, the GA election interference case, and maybe a Jan 6 case), but it just doesn't matter. Normies fall for this stuff.
Jun 4, 2023 7 tweets 2 min read
Before we get to a definition, let's consider different aspects of woke:

BLM: the idea that blacks are oppressed by police & history of slavery. Extends to ideas about white supremacy

LGBT: non-cishets are oppressed, so their identities need to be affirmed and celebrated Feminism: society favors men, keeps female wages down, etc

Immigration: borders are unjust for keeping people out of nice places by an accident of their birth

What other aspects of woke am I missing?
Apr 29, 2023 6 tweets 2 min read
Pretend we describe the situation in South Africa to the US left and right.

Left: "SA may have its problems today, but morally things are better now because apartheid is gone."

Far right: "We can see from outcomes that democracy has failed, things were better under apartheid" The core difference in this case is consequentialist vs deontological. Are the outcomes the primary concern, or are ideas about fairness & democracy the primary concern?

This is similar to debates about communism--are we more concerned with (assumed) good intentions or outcomes?
Apr 28, 2023 5 tweets 1 min read
Talked to my dad today. He informed me that Fox News lost a lawsuit and then fired their craziest right wing host Tucker Carlson for telling election lies.

I told him I didn't watch Fox News, but that I was surprised they would fire that guy because I heard he was popular. I avoid getting into political discussions with most of my family. I've tried in the past, and it's not worth it. Responding with, for example, a defense of Tucker as a reasonable guy would be totally pointless.
Apr 25, 2023 5 tweets 1 min read
Hanania is right. This is an effective message. These themes are what people want to hear. Notice that Biden is avoiding all of the controversial issues and just saying things that most people like: freedom, equal opportunity, democracy. This is actually more effective rhetoric than his 2020 campaign themes, which were mostly just "orange man bad". It's going to be difficult to counter this.

In general, a successful candidate has to say, yes, I am also for freedom, equal opportunity, and democracy.
Apr 5, 2023 4 tweets 1 min read
People have a hard time with the idea that actually their own opinions are unpopular. Many of my opinions are extremely unpopular. Yours are, too. You know what's popular? Moderate progressive opinions. Black people. Support for Ukraine. Refugees welcome. Abortion. Etc. Some other issues have the potential to be popular if they're talked about in the right way, eg reducing illegal immigration.

Most of the battle here is about getting more people to see more truths, for example about black crime.
Apr 3, 2023 4 tweets 1 min read
Trump is making a huge error to turn himself in. He's legitimizing the system, effectively telling people that facing trial in front of a biased NYC jury is legitimate. He's also preventing a much-needed conflict between the Feds and Florida, and he's inviting further charges. Once NYC has him, GA and others will also go after him. They're just waiting for NYC at the moment.
Apr 2, 2023 7 tweets 1 min read
What are the relevant legal standards related to intent in Mackey's case? I assume he intended to distribute the meme, but isn't an intent to defraud also required? I find it hard to believe that a jury would believe that Mackey *actually believed* that people would fall for it. Of course he would *like* his opponents not to vote. Who wouldn't? But that desire doesn't mean that he genuinely believed that his meme would actually stop anyone from voting. Nobody is going to fall for that!
Mar 31, 2023 4 tweets 1 min read
His argument:

Authoritarian leaders are attacking freedom by

Banning books
Banning abortion ("criminalizing doctors")
Firing teachers (over crt/gender stuff)
Transporting illegals
"Targeting" trans kids
Racism
Not having gun control
Making it harder to vote And, he claims that as a result of all that, blue states have lower crime, better health, higher GDP. That's the @Steve_Sailer signal.
Mar 31, 2023 4 tweets 1 min read
Here's the relevant section of the constitution on this.

So, there will be a demand by NY, and this specifies that he "be delivered up".

DeSantis' best move here is probably to say that since FL doesn't have Trump in custody, he can't be delivered up. Surely the constitution doesn't require a certain level of diligence in trying to catch fugitives from other states.
Mar 21, 2023 6 tweets 2 min read
The US made some enormous errors since 1990 that led to this:

In 1990, the Russian people were very positive about the US, and China was impoverished. Naturally, the US response to this was to:

Support the looting of Russia via Yeltsin and the oligarchs, and Send all manufacturing to China because of its cheap labor and lack of environmental regulations.

Even in 2000 when Putin took power, Russians weren't opposed to the US, and Putin is not a natural enemy. Putin sees himself as a defender of Western Civilization.
Jan 15, 2023 12 tweets 3 min read
I didn't *want* the vaccines to fail or harm people, but I do want people to realize that maybe those of us who were cautious about the vaccines had a point all along. I know people don't learn, but I'd like to see the vaxxers have some more humility. They treated us like we were absolute morons. They censored us and wouldn't let contrary opinions about the vax be heard. They forced it on some of us and wished for our deaths. Yes, as that thread points out, it wasn't all of them, but overall they did so many bad things.
Dec 1, 2022 8 tweets 2 min read
It's important to understand that the concept of antifa is actually really popular.

I've been trying to understand, why do people vote for more of the same in cities like San Francisco, despite increasing crime, homeless encampments, etc.? So I read a bunch of antifa tweets to get an idea of what they're thinking.

The truth is, it's very simple. They're the good guys, and the fascists are the bad guys. Fascism is an imminent threat, and we can presume that it would basically be like the 3rd Reich again.
Nov 2, 2022 7 tweets 1 min read
My personal litmus tests on recent events/issues. These are the positions that were not just wrong but so wrong that they're difficult to forgive:

1. Not merely rooting for Ukraine but also supporting the flow of US resources to help them fight against Russia. 2. Any victim-blaming of Kyle Rittenhouse in relation to the shooting incident.

3. Supporting any covid vaccine mandates (not merely believing that the benefits of the vax outweighed the costs)

4. Generally dismissing claims of covid vaccine side effects
Oct 20, 2022 4 tweets 1 min read
Have you noticed how a sense of the past has disappeared over the last 30+ years? It's been replaced by the internet deluge with a constant present.

For example, Indians & the wild west. Even in the 80s,this was still in the backs of people's minds. Kids played cowboys & indians It's all vanished much faster than you would expect given the march of time. The same goes for people's sense of all historical time periods--they've all vanished and become replaced by today's Twitter feed.
Sep 16, 2022 5 tweets 2 min read
It was, of course, 100% obvious that the WIV had something to do with the origin of covid from day 1. We saw the videos about their bat virus collections back in Jan/Feb 2020, and we knew a little about their virus research.

The crazy thing is that most people still don't know. There are, of course, many possibilities for what exactly "something to do with the origin" means. Back in Feb 2020 I assumed it was probably just some mishandling of infected lab animals. I didn't know then about the actual gain of function research they were doing.
Aug 4, 2022 8 tweets 2 min read
Imagine varying age distributions in a population. A society with entirely people 80 years and older will barely function, and a society of entirely people under 10 will just die. A society consisting entirely of people ages 25-55 will have the fastest economic growth. Obviously none of these is sustainable, but we're just talking about the immediate economic situation here.

Children and seniors are an economic drain, and people are most productive in their middle years.