How to get URL link on X (Twitter) App

It’s not even about fairness or equity or anything.https://twitter.com/JessePeltan/status/1936504734556516626
I posted this without noticing that the right side of the diagram is mislabeled.
https://x.com/JessePeltan/status/1846282823335854254

We really need to update building codes. >2" of continuous exterior insulation should be standard everywhere.
2. American households spend around $2,000/year on energy for their homes and another $2,000/year on energy for their cars.
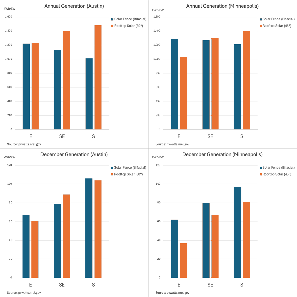
2. Vertical bifacial panels capture the low winter Sun.
2. Money printing made nominal prices go up - not new technology.
2) Smalley's list of humanity's top 10 problems organized the issues hierarchically