Ram Profile picture
Ram
✝ 🚫Communism🚫Crypto🚫Porn
Aug 20, 2025 5 tweets 2 min read
Behold the rotting shell of American plight,
In a suit that’s ill-fitted, a pitiful sight:
The sleaze of a conman, the cowardice shown,
The gluttony of parasites, all on their own.
The racism of Klansmen, the sexism so vile... Image The ignorance of drunks, who sit and beguile.
The greed of hedge-fund ghouls, all splashed in bright hue,
Paraded like livestock, for all to construe.
Not a leader, not human, just a grotesque charade,
A distillation of truths that this country has made... Image
Apr 27, 2025 8 tweets 2 min read
Imagine the following hypothetical scenario for a "movie": unemployment rises, reccesion sets in, markets crash, Citizens still believing they have freedom of speech continue peacefully protesting on the streets... Suddenly and inexplicably some masked individuals start vandalizing everything...
Mar 28, 2025 7 tweets 1 min read
Save this thread👇🏼

The Next Casualty in the Tariffs war👇🏼 Image 1/5  Strained US foreign relations will significantly impact the movie industry.  It's not just box office; filming locations & tax incentives play a huge role.  #MovieIndustry #ForeignPolicy 🌎🎬 Image
Feb 17, 2025 16 tweets 4 min read
1/15 Humans are our own worst enemies, right? But on a national scale? United States has been brilliantly manipulated! Our differences – weaponized against us. Think about it: racism, sexism, classism...all expertly used to divide and conquer. 🤯 #DivideAndConquer #WakeUpAmerica Image 2/15 Remember that old adage, "Divide and conquer"? It's not just some historical footnote. It's our current reality. Mysoginy, xenophobia, ableism...they’re the bullets in this silent war. Who's benefiting? 🤔 #SilentWar #PoliticalManipulation Image
Feb 14, 2025 8 tweets 3 min read
Trump's racism is hypocritical bait-and-switch! He attacks Black and Brown folks... unless they're Indian. 🤔 Suddenly, his usual bigotry vanishes! Is it because Putin's got big plans for India? A superpower puppet state, perhaps? #TrumpIsARacist #PutinPuppet #IndiaSuperpower 🇮🇳 Image Remember Trump called Mexicans "rapists"? Now imagine him suddenly embracing the largest immigrant force in the world – Indians – for geopolitical gain. The cognitive dissonance is *chef's kiss*. What a convenient shift in his xenophobia #TrumpContradictions #ImmigrationHypocrisy Image
Dec 18, 2024 19 tweets 6 min read
A con artist doesn't really need to be a genius; he just needs to be evil and smarter than his marks... Image It does, however, take a great level of mastery of the fraud and deception skills to gaslight a whole nation. Image
Jul 10, 2023 7 tweets 2 min read
El magnesio es un nutriente que el cuerpo necesita para mantenerse sano. Es importante para muchos procesos que realiza el cuerpo. Por ejemplo, regula la función de los músculos y el sistema nervioso, los niveles de azúcar en la sangre, y la presión sanguínea. Además, ayuda a formar proteína, masa ósea y ADN (el material genético presente en las células). El alto consumo de magnesio en suplementos dietéticos y medicamentos puede causar diarrea, náuseas y cólicos estomacales.
Jul 3, 2023 13 tweets 4 min read
Si usted nació en Venezuela probablemente no haya escuchado hablar de los personajes daneses: Elith Worsing, Ludvig Johannes Brandstrup, e Ingeborg Bruhn-Bertelsen. Ni del Teatro Tivoli de Copenhague o la Revyen Tivoli. @threadreaderapp unroll Sin embargo, yo podría asegurar, con certeza, que usted ha escuchado una de sus composiciones, quizás miles de veces, que incluso la conoce de memoria y la puede tararear con una sonrisa de genuina felicidad.
Feb 1, 2023 5 tweets 2 min read
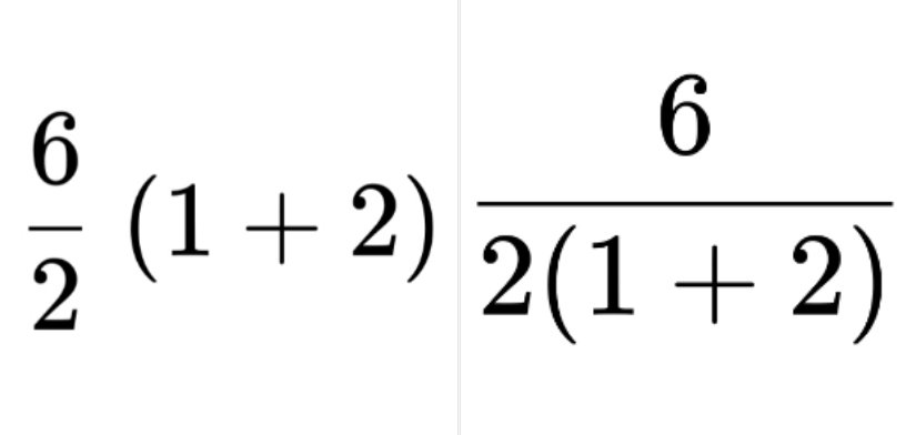
Este tipo de pregunta que tiene años causando airadas discusiones, aparece periódicamente en todas las redes, lo interesante, es que aproximadamente solo 1% de quienes responden, se dan cuenta que se trata de una pregunta ambigua y que varios resultados son posibles y validos👇 Si la pregunta fuese planteada con una imágen no habría problema👇En estos dos ejemplos, esta muy claro cual es el Denominador, cual el Numerador y que está dentro del parentesis👇
Feb 1, 2023 10 tweets 5 min read
Se trata del trending topic "ambiguous math question" solo alrededor del 1% del publico se da cuenta, estas preguntas son un truco, se escriben de forma ambigua creando incesantes debates y controversia. Al omitir los paréntesis varios resultados son posibles y validos👇 Aunque las preguntas matemáticas ambiguas empezaron como un juego en Internet, los resultados demuestran que existe la posibilidad real de que usted o un ser querido falle un examen, o pierda una oportunidad laboral, si quien hace las preguntas también esta confundido.
Sep 29, 2022 6 tweets 2 min read
El 28-1-1965 Un joven con gafas de carey hace su debut en el Festival de San Remo, al inicio de este video puede escucharse a Mike Bongiorno, presentarlo así: “Nicola di Bari es nativo de Manfredonia y ha comenzado a cantar al lado de una pequeña tienda que vendía helados👇 El locutor continúa diciendo: "parece que se había estropeado el tocadiscos y, entonces, el propietario lo contrató esperando atraer a la gente. Ha tenido varios oficios, entre ellos albañil, botones y barman” ese año lograría llegar a la ronda final del festival👇