Amatica Health Profile picture
Patient-centred chronic disease research
May 30, 2025 6 tweets 3 min read
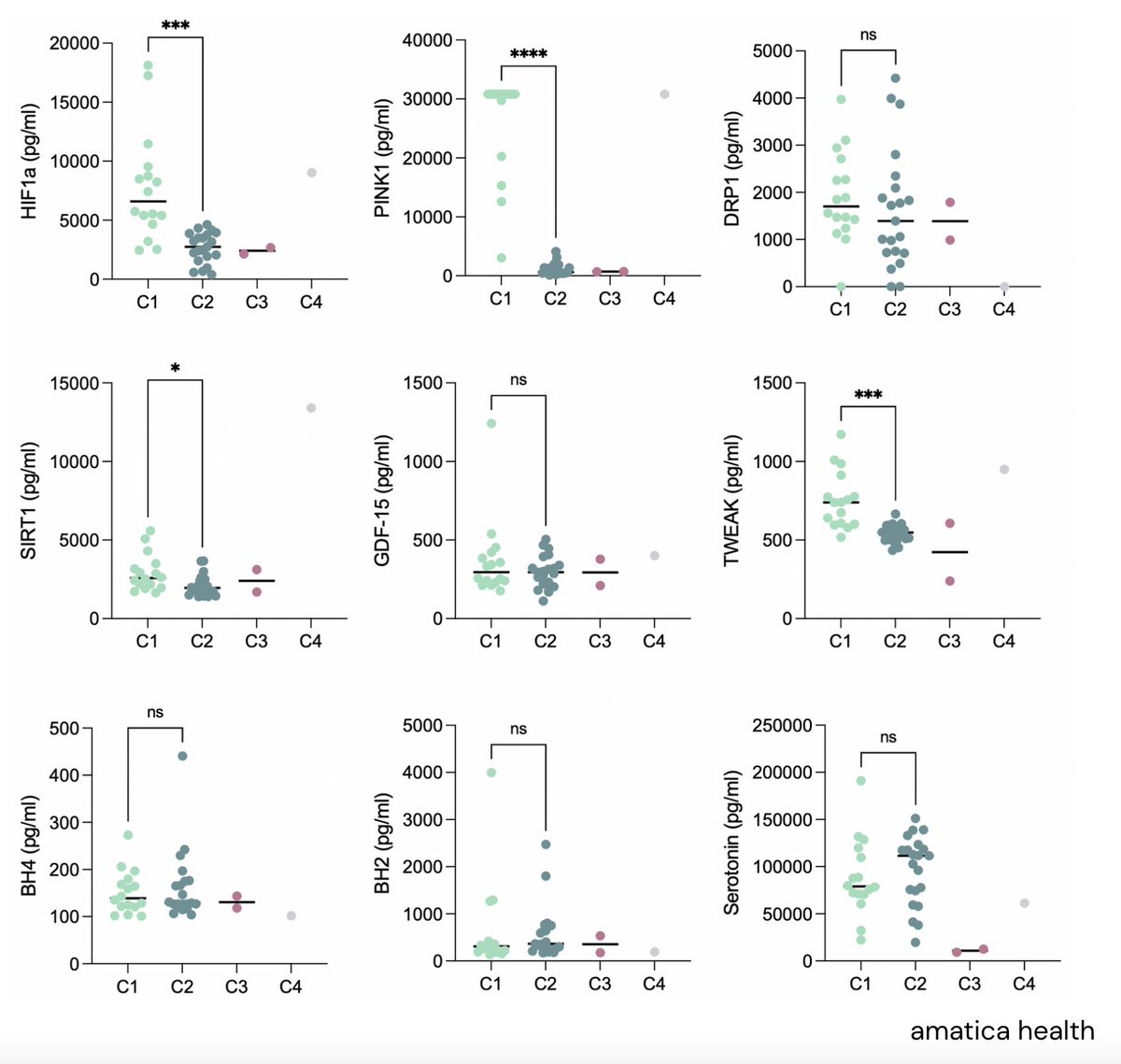
Clustering of energy, metabolic & O2-sensing markers reveals two distinct patient groups in Long COVID/ME/CFS

The group with more abnormal energy/metabolic/O2-sensing shows significant alterations in inflammatory signalling & vascular regulation pathways Image
Image
Image
We clustered patients on 9 metabolic markers: HIF1a (hypoxia), PINK1 (mitochondrial quality), DRP1 (mitochondrial dynamics), SIRT1 (metabolism), GDF-15 (mitochondrial stress), BH4/BH2 (metabolism and NO), TWEAK (tissue remodelling cytokine), serotonin (neurotransmitter) Image
Mar 6, 2025 6 tweets 2 min read
Orignal Research 🔬📷

47% of ME/CFS patients showed elevated α-NAGA (nagalase) levels compared to controls

Although the overall difference wasn’t statistically significant (p=0.1704), we will focus analysis within this subgroup & expand the study with more participants📷🧵 Image What Is Nagalase?

Simply put, nagalase is an enzyme that helps break down complex sugars attached to proteins and lipids. In healthy cells, it works quietly to recycle cellular components