How to get URL link on X (Twitter) App



2⃣Objetivos
2⃣Examinamos la relación entre la gravedad de los síntomas de COVID-19, la memoria y la función ejecutiva en adultos mayores utilizando datos del Estudio Nacional de Tendencias de Salud y Envejecimiento.
2⃣Este estudio investigó los métodos de detección eficaces y el estado de contaminación por Sars2 en la superficie de frutas y verduras disponibles comercialmente.
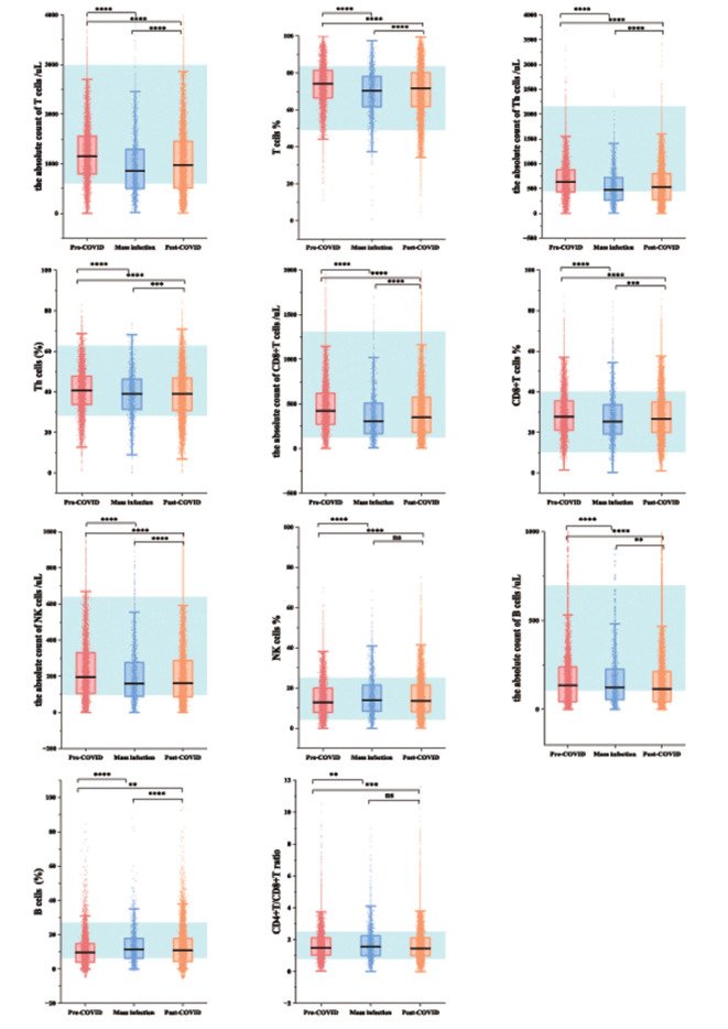
2⃣La COVID-19 y la COVID persistente se caracterizan por una respuesta inmunitaria desregulada.
2⃣Antecedentes y objetivos
2⃣Al menos el 10% de las personas infectadas con SARS-CoV-2 desarrollan diversos síntomas multisistémicos que duran más de 12 semanas, conocidos como secuelas posagudas de COVID-19 (PASC) o "COVID persistente".

2⃣La hipertensión pulmonar tromboembólica crónica (HPTEC) es una enfermedad rara caracterizada por hipertensión pulmonar (HP), resultante de la estenosis u oclusión de las arterias pulmonares debido a un trombo orgánico que obstruye el flujo sanguíneo en las arterias pulmonares.
2⃣ANTECEDENTES

2⃣Se ha reportado el riesgo de complicaciones cardiovasculares tras la infección por SARS2 en adultos, pero la evidencia en niños y adolescentes es limitada.
2⃣Se ha propuesto una asociación entre la Covid19 y la reactivación concomitante del virus varicela-zóster (VVZ).
2⃣Se han observado numerosas secuelas neurológicas asociadas a Covid19.
2⃣ANTECEDENTES
2⃣Aunque la epidemia mundial de SARS2 ha disminuido gradualmente, en algunas zonas la situación aún no se ha aplacado y se ha convertido en una emergencia sanitaria mundial.

2⃣No existen tratamientos aprobados para Long Covid, una enfermedad debilitante posterior a la infección por SARS-CoV-2 que se estima que afecta a decenas de millones de personas.
2⃣INTRODUCCIÓN
2⃣IMPORTANCIA



2⃣ANTECEDENTES



2⃣ANTECEDENTES
2⃣Primero fue el multimillonario propietario del LA Times (y célebre cirujano de trasplantes, además de inventor de medicamentos contra el cáncer) Pat Soon-Shiong, quien tuiteó que la actual locura por las infecciones por covid “continuará” hasta que tengamos nuevas vacunas.
2⃣No hay límite a lo que te puede robar.