How to get URL link on X (Twitter) App
The three-judge panel finds that Plaintiffs are likely to succeed on their Section 2 claims even after Callais.
Justice Thomas dissents, arguing that shipping mifepristone for abortion violates the federal Comstock Act. He says the manufacturers cannot claim irreparable harm from losing profits tied to what he described as a criminal enterprise.

Plaintiffs have already filed for a Temporary Restraining Order. The Court invites them to file motions for preliminary injunctions under Section 2 and the 14th Amendment, briefing the effect of Callais.
The majority said Congress only gave presidents limited emergency tariff powers under Section 122, aimed at specific international payments crises tied to the old Bretton Woods financial system.https://twitter.com/scotus_wire/status/20494927639394223861. For the first time ever, the Court holds that compliance with Section 2 of the Voting Rights Act can be a compelling interest to use race, but only when properly construed.


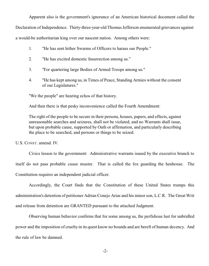
This is honestly the most unhinged opinion of a federal judge that I've ever read. The scathing and antagonistic language is one thing, but he makes a sweeping holding that the 4th Amendment requires an independent judicial officer, not administrative warrants, with ZERO analysis.


The new map must be in place by February 6th, 2026. The current NY-11 has existed since 1980.


What the Court permanently enjoined:


Despite agreeing to a Dec. 3 hearing, CA tried to delay to January 20th, over a month after the date that it now admits it must have a map in place.