اول: «در این برهه حساس کنونی» رویکرد متفاوت دو مکتب اتریشی و کینزی در مورد مواجهه با اقتصاد در حال بحران بسیار جالب توجهه.
دوم: این روزها بعد از سود خیره کننده فاند//

هر دوی اینها خوندن کتاب رو بسیار جذاب و به موقع میکنه.//
ولی از اونجاییکه منم آدمِ به شدت صبوری هستم(یا در واقع یاد گرفتم باشم)و معتقدم نشون دادن مفاهیم بنیادی//
برای «معاملهگر» و نه «سرمایهگذار» بهترین استراتژیه و پارادوکس درستی رو هم اشاره میکنه: با این کار stop loss بسیار نزدیکی انتخاب میشه ولی در مورد حد بالای برد در معامله چی؟این سوالیه که جواب به اون نوع معامله گر رو تعیین میکنه//
و بعد مفهومی از کتاب رو تعریف میکنه به اسم state of rest، وضعیتی که چانه زنیها انجام شده،معاملات ممکن انجام شده و باقی بازیگران بازار قبمتهای پیشنهادی خرید و فروششون//
در ابتدا به سراغ مفهوم shi در نوشتههای سانتزو میرن و اونو در مقابل مفهوم Li که رویکردی صریح، مستقیم و رو-در-رویانه است قرار میده و میگه در حالیکه در رویکرد صریح و مستقیم Li انرژی بسیار صرف مقابله//
فراموش نمیکنیم که هنوز درباره سرمایهگذاری داریم حرف میزنیم هر چند به روشی غیر مستقیم، درست مشابه همین استراتژی!//
بعد از باستیات نوبت به مِنگر(Menger) که در حال و هوای فلسفی اون زمان پا پیش بگذاره و با الهام از مفهوم علیت منجر به معلول غایی(telology) که همزمان در فلسفه(کانت)و بیولوزی(بهیِر) رونق داشت//
به عنوان یک موضوع الهام انگیز، به روند دگردیسی//
ولی کلیدیترین ابداع منگر در تقابل با اقتصاددانان کلاسیک ینی هیوم و اسمیث بود که به دست اومد. کلاسیکها معتقد بودند مکانیزم تعیین قیمت رو در «کوتاه مدت» عرضه و تقاضا در بازار تعیین میکنه و //
با چند مثال ساده هم نشون میده که ارزش کالا از مصرف کننده میاد و نه تولید، برای نمونه مثال فردی رو میزنه که در بیابان//
کاربرد بعدی این مفاهیم در مکانیزم کشف قیمت در عملیات تبادل کالاست و اینکه اگر فرد آ گندم خودش رو با تخم مرغ فرد ب معاوضه//
به همین علت کمیابی و مطلوبیت نهایی رو به نزوله//
منگر به درستی بنیانگذار مکتب اتریشی بود، مکتبی که با اضافات شاگردانش مخصوصن باوِک و میسز «مکتب» شد//
در بخش اول ابن کتاب، بام باورک که از طرف دوستانش به مارکسِ بورژواها معروف شده بود به مصاف نظریه «استثماذ کارگر» مارکس رفته بود:مارکس عقیده داشت ارزش اصلی محصول به خاطر کار کارگرانه و کارفرمایان بدون انجام کاری کارگران رو استثمار میکنن//
موضوع بعدی که به بسط اون پرداخت آغاز توضیح چرخه(سیکل)های اقتصادی بود. از نظر بامباورک توسعه ساختارهای سرمایه نه بابت انباشت محصولات تولیدی صورت میگیره،بلکه به دلیل باز-هدایت سرمایه به سمت//
مفهوم بعدی کم شدن مطلوبیت نهایی بود. و باز مثال جالب دیگهای که زد://
مکانیزم کشف قیمت از دیگر نتایج کار بامباورک بود. همون چیزی که قبلن منگر شروع به توضیحش کرده بود: در روند بازار//
این وضعیت تعادل ممکنه با ایجاد شرایط جدید به هم بریزه و دو باره در نقطه/قیمت دیگهای تعادل//
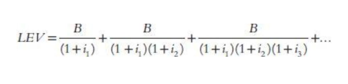
LEV: Land Expected Value
LRV: Land Replacement Value
//
اول نرخ بهره i که همون opportunity cost//
قدم بعدی فاوستمن محاسبه r بهینه بود: برای حداکثر کردنLEV، چطور باید r رو تعیین کنیم.
در مورد نرخ بهره باید گفت://
اگر r رو از صفر کم کم افزایش بدیم میبینیم که LEV اول
با فرض کردن r=1 به نتایج جالبی میرسیم:
LEV=B/i
با تعریف بازگشت سرمایه:
ROIC= B/LRV
و جایگزینی B از این فرمول در معادله بالا
LEV=(ROIC x LRV)/i
جدای از روش کارآفرینی/تولید او که در نوع و فلسفه خودروسازیش//
بعد به واقعهای اشاره میکنه که یه سرکارگر کارگاه راهسازی دچار صانحهای میشه که طی اون به قسمتی//
و به صورت کوتاهی هم به مارهایی که روانشناسان و اقتصاددانهای رفتاری در این زمینه انجام دادن اشاره میشه//
بافت و شببههاش تو سرمابه گذاربهاشون مسیر طولانی مدت رو به بالای یک سهام رو انتخاب میکنن و منتظر میشن زمان و سود مرکب کار خودشون رو بکنن.
سرمایهگذار اتریشی ولی در مقابل معتقده//
نکته بعدی اشاره به اجبار «کوتهبینی» تو والاستریت هست و میگه تز اونجاییکه تریدرها بر اساس بازدهی حداکثر یک ساله خودشون سنجیده میشن//
همینطور به این موضوع ظریف اشاره میکنه که مدرنیزاسیون در زندگی امروزی، گستره تمرکز ما انسانها رو پایین آورده و همه ما داریم علائم ADD/ADHDاز خودمون نشون میدیم. اینطوری فرمولاسیون فاستمن برای ارزش حال درآمدهای آتی که قبلن//
یک مثال جنگلهایی که انبوه میشن و هر از چند گاهی با آتشسوزیهای طبیعی گونههای گیاهی خودشون رو متعادل میکنن و در این باره اشاره میکنه که چطور دخالت بشری و جلوگیری از وقوع این آتشسوزیهای طبیعی در دهه ۸۰//
nps.gov/yell/learn/nat…
نکته اینجاست که کارآفرینان برای انجام این تخمین و پیشگویی، از اطلاعات رفتاری مشتریان//
تاثیر دیگه مخدوش کردن ترجیح زمانی/time preference مصرف کنندگانه و انگولک کردن نگاه اونا برای تصمیمگیری درباره هزینه و یا پسانداز برای//
شاخص میزس که اینطور تعریف کردیم:
MSI=EV/RV
که تو اون
EV= (market) Expected Value
RV= (market) Replacement Value
چیزی مترادف//
اگر دقت کنیم میبینیم MSI در واقع همون نسبت Q توبین (برنده جایزه نوبل) اه که نسبت ارزش کلی بازار به نسبت ارزش جایگزینشه. در حالت عادی این باید برابر ۱ باشه،اگر بالا رفت ینی بازار گرون/overvaluedو اکه پایینتر از ۱ باشه، ارزون/undervaluedاه//
قدم بعدی این بود که تاریخ بازار رو بر اساس MSI اش به چها دسته تقسیم میکنه: از MSI بالا تا پایین و نگاه میکنه بر سر هر کدوم از این ۴ دسته چی میاد//
روش Tail Hedging
اینکه تمام سرمایه رو توی شاخص S&P میریزه که در بالا رفتن بازار مشارکت کنه ولی وقتی بازار گرون میشه(به اعتبار MSI مثلن) نیم درصد(!) پورتفولیو رو آپشنهای put خارج از پول//
نکتهای که نویسنده اشاره میکنه اینه که وقتی این براری/outperformance پیش میاد، کار ما تازه شروع میشه: سود حاصل از اون نیم درصد آپشن پول رو میریزیم تو شاخصی که//
Buy low, sell high
همون فلسفه اصلی value investing!
و به این ترتیب در واقع روش میدانی/roundabout و غیر مستقیم که در ابتدای کتاب بارها و بارها نمونههاش رو دیدیم انجام دادهایم//







































