@SRileyIDD @DrCWalters
tinyurl.com/y6xzjppj
- average halving time of 38 (28, 58) days
- reproduction number (R) of 0.89.
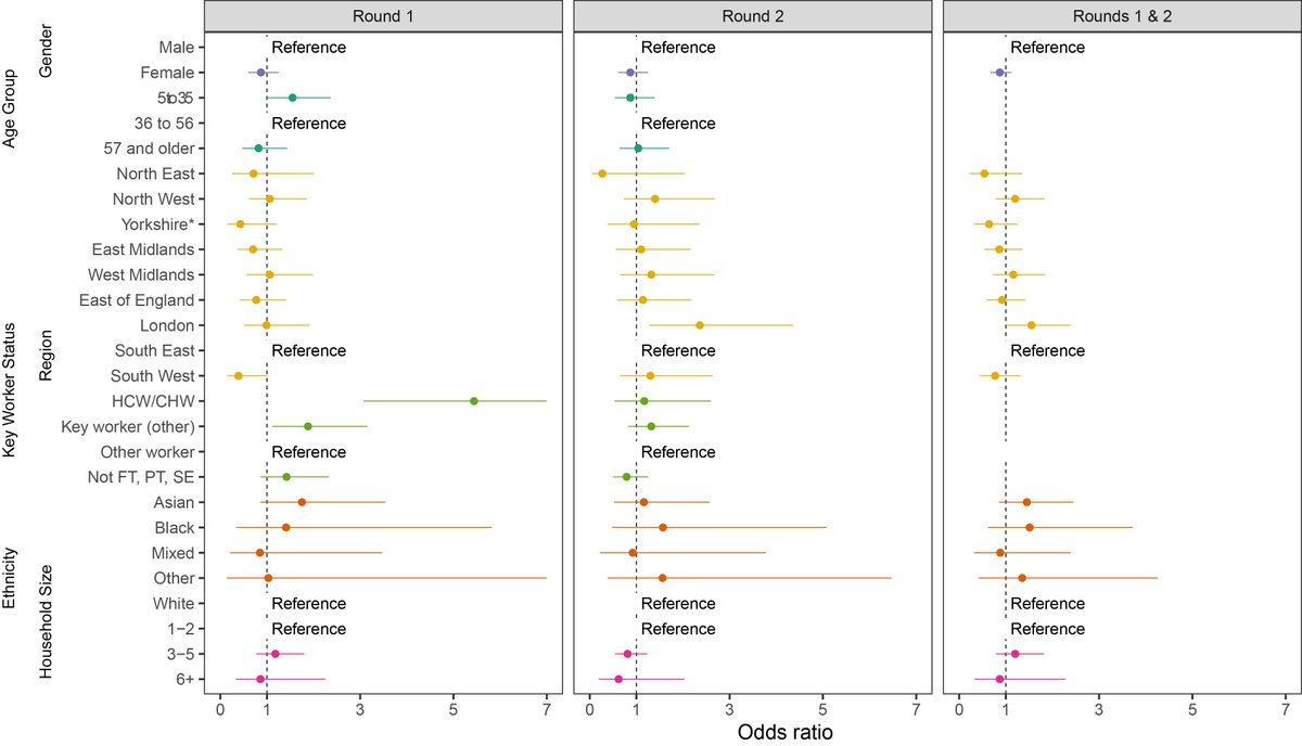
- The proportion of asymptomatic swab-positive participants at the time of sampling increased from 69% (round 1) to 81% (round 2).
- As the SARS-CoV-2 epidemic in England transitioned out of its initial lockdown phase, prevalence of swab-positivity continued to decrease.
- Community-based as well as symptomatic testing is essential to inform the current control strategies in the UK


