Pradeep Kumar Profile picture
Jun 25, 2021 10 tweets 7 min read Read on X
Respected @KTRTRS would like to bring to your kind notice regarding children who are suffering with Spinal muscular atrophy (SMA) and looking for life saving medicine Zolgensma @Novartis
In India ZolgenSMA Injection landed cost is 16 Crores plus 6 1//2 crores duties & taxes.
In our country, 800+ children suffering with Spinal Muscular Atrophy (SMA) and they are looking for Life saving medicine ZolGenSMA. bit.ly/3h3Gsby
Sir, recently you extended your help for @FightsSma Ayansh and requested @nsitharaman @FinMinIndia @ianuragthakur for tax exemption of life saving medicine Zolgensma
Sir, from #Telangana no one knows how many children suffering with SMA. In social media found the below links where children parents are requesting help to procure the life saving medicine ZolgenSMA.

Children who are suffering with Spinal Muscular Atrophy (SMA), the children parents, relatives with the help of crowdfunding platforms raising money to procure ZolgenSMA Injection from Novartis US.
INDIA NATIONAL POLICY FOR RARE DISEASES,2021 also not given proper details about the procurement / import policy for the life saving medicine.
main.mohfw.gov.in/sites/default/…
Each and every time children parents can not ask @FinMinIndia @nsitharaman @ianuragthakur @cbic_india for tax exemption. Instead of that there should be a national wide procurement policy to import the medicine to save the little children.
@FightsSma Image
Children & parents feel helpless and they are not in a situation to afford 16 Crores plus 6 1//2 crores duties & taxes to procure the injection.
So, requesting @KTRTRS @TelanganaCMO @drgsrao to please take it to the notice of @MoHFW_INDIA @drharshvardhan @AshwiniKChoubey @PMOIndia @narendramodi @nsitharaman to draft a policy to procure / import the life saving injection ZolGenSMA.

@VTankha

• • •

Missing some Tweet in this thread? You can try to force a refresh
 

Keep Current with Pradeep Kumar

Pradeep Kumar Profile picture

Stay in touch and get notified when new unrolls are available from this author!

Read all threads

This Thread may be Removed Anytime!

PDF

Twitter may remove this content at anytime! Save it as PDF for later use!

Try unrolling a thread yourself!

how to unroll video
  1. Follow @ThreadReaderApp to mention us!

  2. From a Twitter thread mention us with a keyword "unroll"
@threadreaderapp unroll

Practice here first or read more on our help page!

More from @PkGollamudi

Oct 1, 2024
గౌరవనీయులు @KRaghuRaju గారి ని పోలీస్ కస్టడీ లో చిత్ర హింసలు పెట్టారు అని @India_NHRC కి ఇచ్చిన పిర్యాదు (Case 779/1/6/2021, Diary No7263/IN/2021) విషయమై గుంటూరు ప్రభుత్వ హాస్పిటల్ వారు, మరియు @APPOLICE100 వారు పోలీస్ కస్టడీ లో ఎటువంటి గాయాలు లేవు అని @India_NHRC కి రిపోర్ట్ చేశారు. ఇప్పుడు పోలీస్ వారు కస్టడీ లో గాయాలు అయినాయి అని చెప్తున్నారు. సికింద్రాబాద్ మిలిటరీ హాస్పిటల్ వారి రిపోర్ట్స్ ని
@KRaghuRaju గారు బయట పెడితే ప్రజలకు వాస్తవాలు తెలుస్తాయి.

@PV_Sunil_Kumar గారి మీద గాని అప్పటి కేసు కి సంబంధిచి ప్రభుత్వ ఆదేశాలనుగుణంగా విధులు నిర్వర్తించిన అధికారుల మీద ఆధారాలు లేకుండా నేరారోపణలు చేయకుండా నిస్కపక్షపాతముగా విచారణ చేసి వాస్తవాలు బయటపెట్టవలసినదిగా విజ్ఞప్తి.

దయచేసి ఆంధ్ర ప్రదేశ్ పోలీస్ వారికీ వినతి, NHRC కి రిపోర్ట్ పంపించే సమయములో ప్రతి అంశాన్ని అప్పటి సంఘటనలో వున్నా పోలీస్, డాక్టర్స్ నుండి ఆడియో, వీడియో చేయడం జరిగింది. ఇప్పుడు దానికి విరుద్ధమైన సాక్ష్యాలు చెపితే భవిష్యత్తులో ఎదురయ్యే ఇబ్బందులు కూడా ఒకసారి ఆలోచించండి. స్పక్షపాతంగా విచారణ చేయండి. NHRC కి ఇచ్చిన విరుద్ధమైన సాక్ష్యాలు ఎవరైనా ప్రలోభాలతో, బెదిరింపులతో ఇస్త్తే వాటిని కోర్టులు, రాజ్యాంగబద్ధ కమిషన్ లో సవాలు చేస్తే జరుగబోయే పరిణామాలు కూడా ఆలోచించండి.

@India_NHRC కి 2021 వ సంవత్సరములో @APPOLICE100
వారు ఇచ్చిన రిపోర్ట్ ని ట్వీట్ కి జతచేయడమైనది

@AndhraPradeshCM @ncbn @Anitha_TDP
@APDeputyCMO @PawanKalyan @naralokesh
@YSRCParty @ysjagan @INC_Andhra
@realyssharmila @gvharshakumar @JPRpurnachandra @YSJaganTrends
@DrPradeepChinta @NCSC_GoI @ikishormakwana
@RamdasAthawale @Drvirendrakum13 @IPS_Association
రఘు రామ కృష్ణ రాజు తనని గుంటూరు CID ఆఫీస్ లో PV సునీల్ గారు, విజయ్ పాల్ గారు మరియు CID టీం తనని చిత్ర హింసలు పెట్టి తనని చంపే ప్రయత్నం చేసింది అని గుంటూరు నగరం పాలెం లో ఒక కంప్లైట్ జులై 11 2024 న చేశారు FIR నెంబర్ 187 / 2024 FIR సెక్షన్స్ 120b 166 167 197 307 326 465 506 r / w 34 IPC సెక్షన్ ని పెట్టారు.

ఈ FIR లో @PV_Sunil_Kumar IPS , PSR ఆంజనేయులు IPS , మాజీ ఆంధ్ర ప్రదేశ్ ముఖ్యమంత్రి @ysjagan ,విజయ్ పాల్ అడిషనల్ SP CID , డాక్టర్ ప్రభావతి (గుంటూరు GGH ) ని నిందితులుగా పేర్కొన్నారు.
CID ఆఫీస్ లో రఘు రామ కృష్ణ రాజుని చంపే ప్రయత్నం, గుంటూరు డాక్టర్ బృందం CID వారు తనని కొట్టిన గాని ఆ వివరాలు ఇవ్వకుండా తప్పుడు రిపోర్ట్ ఇచ్చింది అని FIR లో అభియోగం చేశారు.
ఇదే విషయమై గతములో మానవ హక్కుల కమిషన్ కి 2021 వ సంవత్సరములో ఒక పిర్యాదు వెళ్ళింది. ఆ పిర్యాదు విచారించినప్పుడు గౌరవ ఆంధ్ర ప్రదేశ్ పోలీస్ వారు ఒక డీటెయిల్ రిపోర్ట్ సమర్పించారు. అందులోని కొన్ని అంశాలు :
1 ) రఘు రామ కృష్ణ రాజు అరెస్ట్ విషయం అప్పటి లోక్ సభ స్పీకర్ ఓం ప్రకాష్ బిర్లా గారికి చెప్పలేదు అని అభియోగం చేశారు. (వాస్తవం : AP CID పోలీస్ వారు లోక్ సభ స్పీకర్ గారికి అరెస్ట్ విషయం తెలియచేసారు)
2 ) AP CID పోలీస్ వారు తనని కొట్టారు అని అభియోగం చేశారు ( వాస్తవం : AP CID పోలీస్ వారు చట్ట పరిధిలో నియమ నిబంధనలు అనుసరించి రఘు రామ కృష్ణ రాజు ని అరెస్ట్ చేశారు)
అరెస్ట్ సమయములో AP పోలీస్ వారు పాటించిన నిబంధనలను NHRC కి పంపిన రిపోర్ట్ లో పూర్తి వివరాలు అందించారు. మినిస్ట్రీ అఫ్ హోమ్ అఫైర్స్ (MHA ) వారు ఇచ్చిన Y కేటగిరీ సెక్యూరిటీ సిబ్బంది అరెస్ట్ సమయములో రఘు రామ కృష్ణ రాజు వెంటే వున్నారు. NHRC కి ఇచ్చిన రిపోర్ట్ లో రఘు రామ కృష్ణ రాజు MHA తనకిచ్చిన భద్రతా సిబ్బందిని AP పోలీస్ వారి పై ఫైరింగ్ ఓపెన్ చేయమని చెప్పినట్లు వున్నది. కానీ AP పోలీస్ వారు సంభందిత CISF అధికారులతో మాట్లాడి వారి అనుమతి తీసుకున్న తర్వాతనే అరెస్ట్ చేయడం జరిగింది.
3 ) గుంటూరు హాస్పిటల్ వారు తప్పు రిపోర్ట్ సబ్మిట్ చేశారు ( వాస్తవం రఘు రామ కృష్ణ రాజు కు సరిఅయిన మందులు సరి అయినా సమయానికి అందించారు, అతని ఆరోగ్యాన్ని ఎప్పటి కప్పుడు పరీక్షించారు. పూర్తిగా పరిశీలనా చేసి రఘు రామ కృష్ణ రాజు ఒంటి మీద ఎటువంటి దెబ్బలు లేవు అని ద్రువీకరించుకున్న తర్వాతే రిపోర్ట్ ఇచ్చారు)
4 ) AP CID వారి అధీనములో వున్నపుడు మినిస్ట్రీ అఫ్ హోమ్ అఫైర్స్ వారు ఇచ్చిన Y కేటగిరీ సెక్యూరిటీ సిబ్బందిలో ఇద్దరు రఘు రామ కృష్ణ రాజు తో పాటె వున్నారు. (ఒకవేళ ఏమన్నా దాడి జరిగితే వారిని కూడా విచారించి పూర్తి వివరాలు సేకరించాలి)
5 ) రఘు రామ కృష్ణ రాజు ని గుంటూరు సబ్ జైలు కి రిమాండ్ కి పంపే సమయములో జైలు అధికారులు కూడా రఘు రామ కృష్ణ రాజు ని పూర్తిగా పరీక్షించి అతని ఒంటి మీద ఏవన్నా గాయాలు ఉన్నాయా లేదా అని పరీక్షించి వైద్యుల రిపోర్ట్ ని NHRC కి సబ్మిట్ చేయడం జరిగింది. ఆ రిపోర్ట్ లో కూడా ఎటువంటి గాయాలు లేవు అని తెలియజేసారు.
6 ) రఘు రామ కృష్ణ రాజు గారు సికింద్రాబాద్ మిలిటరీ హాస్పిటల్ వారు ఇచ్చిన రిపోర్ట్ ని బహిర్గతంగ ప్రజల ముందు ఉంచండి. CID పోలీస్ వారు నిన్ను కొట్టారో లేదో, నీ ఒంటి మీద గాయాలు CID వారు కొడతం వలన ఏర్పడ్డాయి లేదు అందరకి తెలుస్తుంది.

దయచేసి ఆంధ్ర ప్రదేశ్ పోలీస్ వారికీ వినతి, NHRC కి రిపోర్ట్ పంపించే సమయములో ప్రతి అంశాన్ని అప్పటి సంఘటనలో వున్నా పోలీస్, డాక్టర్స్ నుండి ఆడియో, వీడియో చేయడం జరిగింది. ఇప్పుడు దానికి విరుద్ధమైన సాక్ష్యాలు చెపితే భవిష్యత్తులో ఎదురయ్యే ఇబ్బందులు కూడా ఒకసారి ఆలోచించండి. స్పక్షపాతంగా విచారణ చేయండి. NHRC కి ఇచ్చిన విరుద్ధమైన సాక్ష్యాలు ఎవరైనా ప్రలోభాలతో, బెదిరింపులతో ఇస్త్తే వాటిని కోర్టులు, రాజ్యాంగబద్ధ కమిషన్ లో సవాలు చేస్తే జరుగబోయే పరిణామాలు కూడా ఆలోచించండి.

@AndhraPradeshCM @ncbn @Anitha_TDP
@APDeputyCMO @PawanKalyan @naralokesh
@YSRCParty @ysjagan @INC_Andhra
@realyssharmila @gvharshakumar
@JPRpurnachandra @YSJaganTrends @DrPradeepChinta @NCSC_GoI @ikishormakwana @RamdasAthawale @Drvirendrakum13 @IPS_AssociationImage
Image
Image
Image
రఘు రామ కృష్ణ రాజు తనని గుంటూరు CID ఆఫీస్ లో PV సునీల్ గారు, విజయ్ పాల్ గారు మరియు CID టీం తనని చిత్ర హింసలు పెట్టి తనని చంపే ప్రయత్నం చేసింది అని గుంటూరు నగరం పాలెం లో ఒక కంప్లైట్ జులై 11 2024 న చేశారు FIR నెంబర్ 187 / 2024 FIR సెక్షన్స్ 120b 166 167 197 307 326 465 506 r / w 34 IPC సెక్షన్ ని పెట్టారు.

ఈ FIR లో @PV_Sunil_Kumar IPS , PSR ఆంజనేయులు IPS , మాజీ ఆంధ్ర ప్రదేశ్ ముఖ్యమంత్రి @ysjagan ,విజయ్ పాల్ అడిషనల్ SP CID , డాక్టర్ ప్రభావతి (గుంటూరు GGH ) ని నిందితులుగా పేర్కొన్నారు.
CID ఆఫీస్ లో రఘు రామ కృష్ణ రాజుని చంపే ప్రయత్నం, గుంటూరు డాక్టర్ బృందం CID వారు తనని కొట్టిన గాని ఆ వివరాలు ఇవ్వకుండా తప్పుడు రిపోర్ట్ ఇచ్చింది అని FIR లో అభియోగం చేశారు.
ఇదే విషయమై గతములో మానవ హక్కుల కమిషన్ కి 2021 వ సంవత్సరములో ఒక పిర్యాదు వెళ్ళింది. ఆ పిర్యాదు విచారించినప్పుడు గౌరవ ఆంధ్ర ప్రదేశ్ పోలీస్ వారు ఒక డీటెయిల్ రిపోర్ట్ సమర్పించారు. అందులోని కొన్ని అంశాలు :
1 ) రఘు రామ కృష్ణ రాజు అరెస్ట్ విషయం అప్పటి లోక్ సభ స్పీకర్ ఓం ప్రకాష్ బిర్లా గారికి చెప్పలేదు అని అభియోగం చేశారు. (వాస్తవం : AP CID పోలీస్ వారు లోక్ సభ స్పీకర్ గారికి అరెస్ట్ విషయం తెలియచేసారు)
2 ) AP CID పోలీస్ వారు తనని కొట్టారు అని అభియోగం చేశారు ( వాస్తవం : AP CID పోలీస్ వారు చట్ట పరిధిలో నియమ నిబంధనలు అనుసరించి రఘు రామ కృష్ణ రాజు ని అరెస్ట్ చేశారు)
అరెస్ట్ సమయములో AP పోలీస్ వారు పాటించిన నిబంధనలను NHRC కి పంపిన రిపోర్ట్ లో పూర్తి వివరాలు అందించారు. మినిస్ట్రీ అఫ్ హోమ్ అఫైర్స్ (MHA ) వారు ఇచ్చిన Y కేటగిరీ సెక్యూరిటీ సిబ్బంది అరెస్ట్ సమయములో రఘు రామ కృష్ణ రాజు వెంటే వున్నారు. NHRC కి ఇచ్చిన రిపోర్ట్ లో రఘు రామ కృష్ణ రాజు MHA తనకిచ్చిన భద్రతా సిబ్బందిని AP పోలీస్ వారి పై ఫైరింగ్ ఓపెన్ చేయమని చెప్పినట్లు వున్నది. కానీ AP పోలీస్ వారు సంభందిత CISF అధికారులతో మాట్లాడి వారి అనుమతి తీసుకున్న తర్వాతనే అరెస్ట్ చేయడం జరిగింది.
3 ) గుంటూరు హాస్పిటల్ వారు తప్పు రిపోర్ట్ సబ్మిట్ చేశారు ( వాస్తవం రఘు రామ కృష్ణ రాజు కు సరిఅయిన మందులు సరి అయినా సమయానికి అందించారు, అతని ఆరోగ్యాన్ని ఎప్పటి కప్పుడు పరీక్షించారు. పూర్తిగా పరిశీలనా చేసి రఘు రామ కృష్ణ రాజు ఒంటి మీద ఎటువంటి దెబ్బలు లేవు అని ద్రువీకరించుకున్న తర్వాతే రిపోర్ట్ ఇచ్చారు)
4 ) AP CID వారి అధీనములో వున్నపుడు మినిస్ట్రీ అఫ్ హోమ్ అఫైర్స్ వారు ఇచ్చిన Y కేటగిరీ సెక్యూరిటీ సిబ్బందిలో ఇద్దరు రఘు రామ కృష్ణ రాజు తో పాటె వున్నారు. (ఒకవేళ ఏమన్నా దాడి జరిగితే వారిని కూడా విచారించి పూర్తి వివరాలు సేకరించాలి)
5 ) రఘు రామ కృష్ణ రాజు ని గుంటూరు సబ్ జైలు కి రిమాండ్ కి పంపే సమయములో జైలు అధికారులు కూడా రఘు రామ కృష్ణ రాజు ని పూర్తిగా పరీక్షించి అతని ఒంటి మీద ఏవన్నా గాయాలు ఉన్నాయా లేదా అని పరీక్షించి వైద్యుల రిపోర్ట్ ని NHRC కి సబ్మిట్ చేయడం జరిగింది. ఆ రిపోర్ట్ లో కూడా ఎటువంటి గాయాలు లేవు అని తెలియజేసారు.
6 ) రఘు రామ కృష్ణ రాజు గారు సికింద్రాబాద్ మిలిటరీ హాస్పిటల్ వారు ఇచ్చిన రిపోర్ట్ ని బహిర్గతంగ ప్రజల ముందు ఉంచండి. CID పోలీస్ వారు నిన్ను కొట్టారో లేదో, నీ ఒంటి మీద గాయాలు CID వారు కొడతం వలన ఏర్పడ్డాయి లేదు అందరకి తెలుస్తుంది.

దయచేసి ఆంధ్ర ప్రదేశ్ పోలీస్ వారికీ వినతి, NHRC కి రిపోర్ట్ పంపించే సమయములో ప్రతి అంశాన్ని అప్పటి సంఘటనలో వున్నా పోలీస్, డాక్టర్స్ నుండి ఆడియో, వీడియో చేయడం జరిగింది. ఇప్పుడు దానికి విరుద్ధమైన సాక్ష్యాలు చెపితే భవిష్యత్తులో ఎదురయ్యే ఇబ్బందులు కూడా ఒకసారి ఆలోచించండి. స్పక్షపాతంగా విచారణ చేయండి. NHRC కి ఇచ్చిన విరుద్ధమైన సాక్ష్యాలు ఎవరైనా ప్రలోభాలతో, బెదిరింపులతో ఇస్త్తే వాటిని కోర్టులు, రాజ్యాంగబద్ధ కమిషన్ లో సవాలు చేస్తే జరుగబోయే పరిణామాలు కూడా ఆలోచించండి.

@AndhraPradeshCM @ncbn @Anitha_TDP
@APDeputyCMO @PawanKalyan @naralokesh
@YSRCParty @ysjagan @INC_Andhra
@realyssharmila @gvharshakumar
@JPRpurnachandra @YSJaganTrends @DrPradeepChinta @NCSC_GoI @ikishormakwana @RamdasAthawale @Drvirendrakum13 @IPS_AssociationImage
Image
Image
Image
Read 6 tweets
Jun 16, 2024
ప్రైవేట్ ఎయిడెడ్, ప్రైవేట్ అన్‌ ఎయిడెడ్ కాలేజీల్లో చదువుకునే విద్యార్దులకు ఫీజు రియింబర్స్‌మెంట్‌ తీసివేస్తూ ఇచ్చిన G.O.MS.No. 77 వలన వేల మంది పేద, SC, ST ,బలహీన వర్గాల విద్యార్థులు ఉన్నత విద్యకు దూరం అయ్యారు. ఈ G O ని రద్దు చేయవలసినదిగా విజ్ఞప్తి.
@ncbn @naralokesh x.com/naralokesh/sta…Image
Image
@naralokesh గారు,
పీజీ విద్యార్థులకు ఫీజు రీయింబర్స్మెంట్ పథకాన్ని రద్దు చేస్తూ గత ప్రభుత్వం తెచ్చిన జీ.ఓ.77 ని టిడిపి ప్రభుత్వం వచ్చిన మొదటి వంద రోజుల్లోనే రద్దు చేస్తాము అని యువగళం పాదయాత్రలో హామీ ఇచ్చారు.
దయచేసి జీ.ఓ.77 ని రద్దు చేయవలసినదిగా విజ్ఞప్తి🙏
@AndhraPradeshCM @ncbn
@GSandhyarani_ గారు, గత @YSRCParty ప్రభుత్వం ఇచ్చిన జీ.ఓ.77 వలన గిరిజన విద్యార్థులు పీజీ విద్యకు ఎలా దూరమవుతన్నారో తెలుపుతున్న RTI వివరాలు, దయచేసి విద్యాశాఖ మంత్రి శ్రీ @naralokesh గారి దృష్టికి తీసుకుని వెళ్లి జీ.ఓ.77 ని రద్దు చేయవలసినదిగా కోరండి.
@AndhraPradeshCM @ncbn Image
Image
Read 13 tweets
Apr 13, 2024
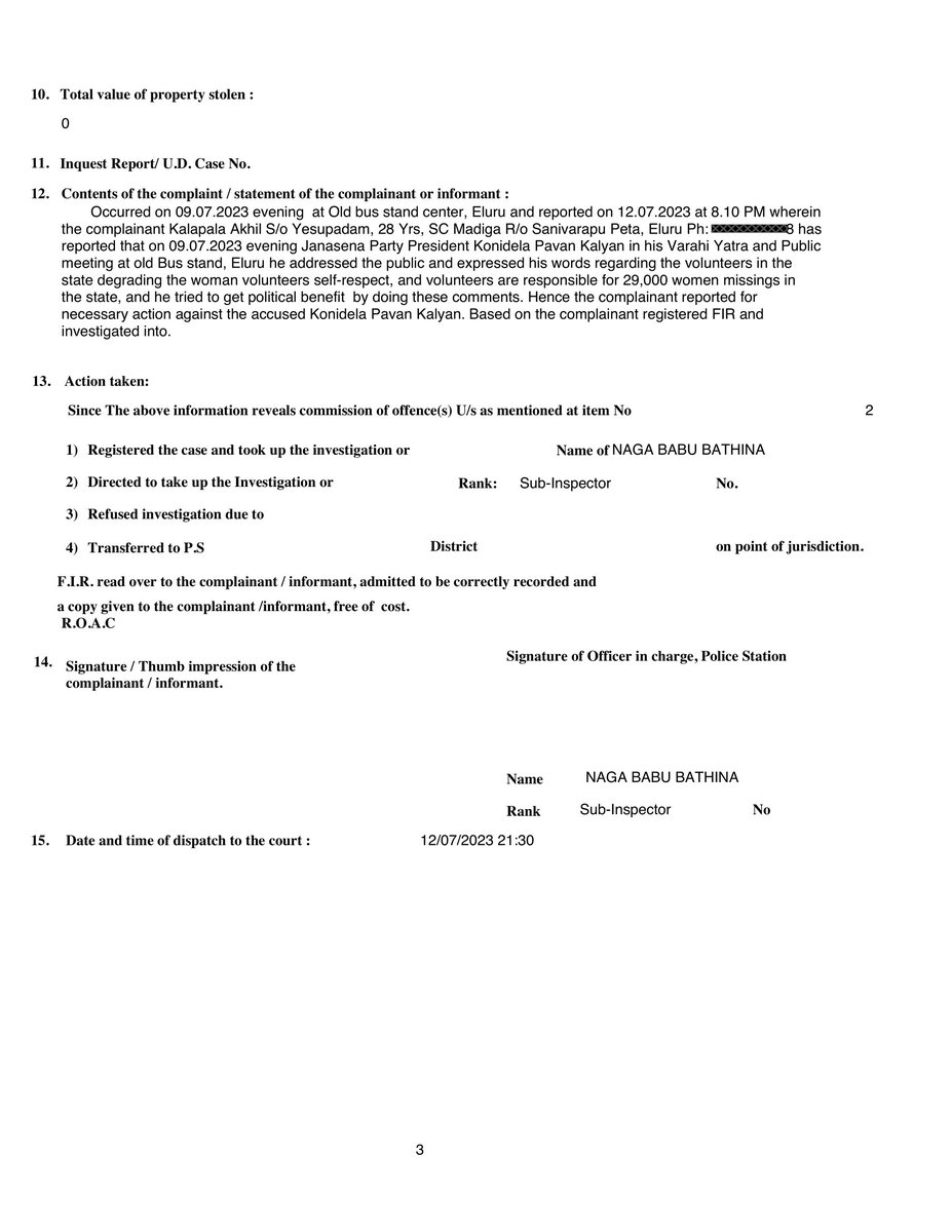
Fact Check - @NCSC_GoI asked to book 153,504,505 (2) IPC on @JanaSenaParty president @PawanKalyan Image
On 09.07.2023 @JanaSenaParty President @PawanKalyan during his election campaign  at Eluru made a remarks as AP Volunteers are responsible for missing of 29,000 women in the state of AP.

Kalapala Akhil gave a complaint on 12.07.2023 to Eluru Police FIR Number : 246/2023

Image
Image
Image
Based on this FIR 246/2023 a complaint is submitted to National Commission for Scheduled Castes (NCSC by Borugadda Anil Kumar. NCSC File Number : File No AP/14/2023-APCR.

@NCSC_GoI @ikishormakwana
Read 8 tweets
Aug 7, 2023
Statues? or Social Welfare? #CitizenJournalism #MyReport News article reference links, G.O. details.

Article that highlight's the necessity to construct schools, hospitals and developmental infrastructure instead of investing on statues

Picture Credits : Unnamati Syama Sundar Image
125 feet Dr. B.R. #Ambedkar statue in AP & Telangana is being constructed by KPC Projects. kpcprojects.com
Image
125 feet Dr. B.R. #Ambedkar statue in AP & Telangana is being constructed by KPC Projects, designed by Design Associates, sculpted by Ram V Sutar and made at same foundry at Manesar, Gurugram.

designassociates.in
ramsutar.in
Image
Read 25 tweets
Jul 2, 2021
Two incidents which were happened in this week are really disturbing to see how hospitals are looting money in the name of Covid-19 treatment.

These hospitals are holding dead body and asking patient families to pay the bill amount then take the dead body. #HumanRights
1/
Do these hospitals have conscience, ethics, integrity?

Are they really following the G.O's issued by @TelanganaCMO ?

@TelanganaHealth @TS_HMFW @TelanganaCS @drgsrao
@KTRTRS @trsharish @DrTamilisaiGuv



2/
The first incident ~ see how the patients family members are going pillar to post pleading for help.

@TelanganaCMO @TelanganaCS @drgsrao @TS_HMFW @TelanganaHealth @TelanganaCS

3/
Read 13 tweets
Jul 1, 2021
DCGI approves anti-COVID drug developed by DRDO for emergency use pib.gov.in/PressReleasePa…
Forgive my ignorance, would like to know more details on the below :
2-deoxy-D-glucose (2-DG) has been developed by @DRDO_India & @drreddys @nawegate
drreddys.com/media/998967/p…
Read 4 tweets

Did Thread Reader help you today?

Support us! We are indie developers!


This site is made by just two indie developers on a laptop doing marketing, support and development! Read more about the story.

Become a Premium Member ($3/month or $30/year) and get exclusive features!

Become Premium

Don't want to be a Premium member but still want to support us?

Make a small donation by buying us coffee ($5) or help with server cost ($10)

Donate via Paypal

Or Donate anonymously using crypto!

Ethereum

0xfe58350B80634f60Fa6Dc149a72b4DFbc17D341E copy

Bitcoin

3ATGMxNzCUFzxpMCHL5sWSt4DVtS8UqXpi copy

Thank you for your support!

Follow Us!

:(