La química de las caries.
Cuando niños, todos recibimos la recomendación amenazante de no consumir tantos dulces o refrescos, pues de lo contrario nuestros dientes pagarían el precio de esos antojos. Estas golosinas azucaradas ciertamente tienen parte de la culpa, mas no toda. /1
Es importante entender el papel de las bacterias y el daño que los ácidos que producen sobre el enamel dental, con el fin de poder cuidar apropiadamente nuestra salud dental y prevenir la aparición de las famosas caries. /2
Aclaremos algo: el azúcar no causa las caries. Son las bacterias que viven en nuestra boca. La boca, como el resto de nuestro cuerpo, está habitada por millones de bacterias, microscópicas, invisibles para nosotros. No pueden removerse completamente aunque lo intentemos. /3
Una higiene bucal apropiada, y mantenerse hidratado, ayuda a mantener bajo control las bacterias en nuestra boca. Pero no siempre es una tarea sencilla. Los residuos de alimentos que quedan entre los dientes y en nuestra boca, son consumidos por las bacterias. /4
Al consumir los residuos de alimentos, las bacterias excretan ácidos que degradan la estructura del enamel dentario, disolviéndolos parcialmente, lo que eventualmente genera un agujero. Una vez formada esa cavidad, no hay regeneración natural y la única solución es un relleno. /5
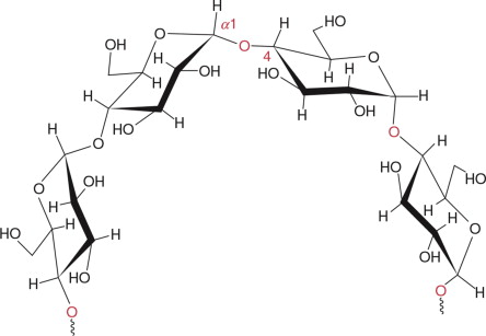
Los azúcares, la saliva y las bacterias se combinan en este proceso. Después de consumir azúcar, en pocos minutos, se forman glicoproteínas que se adhieren a la superficie dental formando placa. Millones de bacterias conocidas como S. mutans se adhieren a la glicoproteína. /6
La bacteria usa la fructosa en un proceso metabólico llamado glicólisis para obtener energía. La hidrólisis de sucrosa genera glucosa y fructosa que pueden ser aprovechados por las bacterias. /7
La fructosa es entonces metabolizada en condiciones anaeróbicas (sin aire) y transformada en ácido láctico. El cambio en acidez provocado por el incremento en la concentración de ácido láctico disminuye el pH, disolviendo el fosfato de calcio del enamel dentario. /8
Es posible prevenir este proceso cepillando apropiada y frecuentemente los dientes y usando hilo dental con el fin de remover los residuos de alimentos y la placa formada. También una dieta rica en calcio y el uso de pasta de dientes con fluoruro mejora la resistencia dental. /9
Dietas ricas en carbohidratos complejos, con bajo contenido de azúcares y sin sucrosa, también ayuda a prevenir la formación de placa y las caries. /10
S. mutans posee una enzima llamada glucosil transferasa, capaz de polimerizar la glucosa de la sucrosa, liberando en el proceso fructosa. El proceso genera dextrano, similar a la amilosa del almidón. Éste se adhiere al diente y a las bacterias, formando la placa bacteriana. /11
La solución no es matar todas las bacterias, pues algunas son benéficas, ayudando a digerir comida o a mantener controladas a otros microorganismos. Se ha investigado el uso de nanopartículas de óxido de zinc, de óxido de cobre y de plata para tratar las infecciones dentales. /12
Pero este tipo de nanomateriales no son selectivos y pueden matar bacterias benéficas. Se han probado nanopartículas de óxido de cerio que son capaces, a través de reacciones redox, de destruir selectivamente la placa bacteriana. /13
El uso de nanomateriales para proteger nuestros dientes y mejorar nuestra salud dental, es un área de investigación que puede darnos interesantes sorpresas en los siguientes años. Cuida tus dientes, pues ellos te cuidan a ti. /14
Con información de: "Stopping tooth decay before it starts — without killing bacteria" (American Chemical Society); Robinson C, Shore RC, Brookes SJ, Strafford S, Wood SR, Kirkham J. The chemistry of enamel caries. Crit Rev Oral Biol Med. 2000;11(4):481-95.

• • •

Missing some Tweet in this thread? You can try to force a refresh
 

Keep Current with Nanoprofe

Nanoprofe Profile picture

Stay in touch and get notified when new unrolls are available from this author!

Read all threads

This Thread may be Removed Anytime!

PDF

Twitter may remove this content at anytime! Save it as PDF for later use!

Try unrolling a thread yourself!

how to unroll video
  1. Follow @ThreadReaderApp to mention us!

  2. From a Twitter thread mention us with a keyword "unroll"
@threadreaderapp unroll

Practice here first or read more on our help page!

More from @nanoprofe

13 Jan
¿Puede el enjuague bucal inactivar al coronavirus?
Hay en distintos medios notas que señalan que, de acuerdo a ciertos estudios, es posible inactivar el virus SARS-CoV-2 utilizando ciertos tipos de enjuague bucal. Revisemos que hay detrás de ésto. /1
Ya en 2020, investigadores de la Universidad de Cardiff y del Hospital Universitario de Gales reportaron los resultados de un estudio clínico donde observaron que enjuagues bucales conteniendo al menos 0.07% de cloruro de cetilpiridinio (CPC) mostraban resultados prometedores. /2 Image
Sin embargo, el estudio no había sido aun revisado por pares y por tanto, la recomendación fue la de mantener todas las otras medidas de mitigación y prevención (uso de cubrebocas, lavado de manos, sana distancia, ventilar espacios) y no confiar solo en el enjuague bucal. /3 Image
Read 13 tweets
12 Jan
El CONACYT de Elena Alvarez no entiende nada. Sugiere que los recursos de las becas eran transferidos a las instituciones, lo que es falso. Las IES privadas que tienen posgrados en PNPC han tenido que cumplir requisitos para estar ahí. /1

jornada.com.mx/notas/2022/01/…
Además han tenido que invertir recursos propios para el desarrollo de infraestructura, becas de colegiatura, pago de descargas de profesores, apoyos internos de investigación. Todo eso sin una tasa de retorno o ganancia. Porque el fin no es económico sino de formación de RRHH. /2
La discriminación hacia IES privadas, no permitiendo que participen en igualdad de condiciones por becas nacionales para estudiantes mexicanos, solo generará una polarización y mayor asimetría entre los 2 sistemas, que por lo regular colaboran de forma activa. /3
Read 4 tweets
11 Jan
La capacidad de algunos virus de transmitirse principalmente a través del aire, como el SARS-CoV-2, la influenza o el sarampión, requieren estrategias apropiadas para mitigar las probabilidades de contagio e infección. La desinfección de superficies es insuficiente. /1
Una persona infectada puede emitir una carga viral variable a través de aerosoles expulsados al hablar, toser o estornudar, los cuáles pueden recorrer hasta más de 1 metro de distancia dependiendo de su tamaño y las condiciones ambientales. /2
El proceso ocurre en 3 etapas: a) generación y exhalación de aerosoles cargados con virus o virosoles; b) transporte de los virosoles de entre 5 y 100 μm; c) inhalación, deposición e infección. Cada fase estará determinada por factores aerodinámicos, anatómicos y ambientales. /3
Read 11 tweets
9 Jan
Aunque pensemos que la Covid-19 esté lejos de nosotros, es muy probable que más del 60% de la población mexicana ya se haya contagiado (consciente o inadvertidamente). Ómicron se transmite con más facilidad, así que es probable que al terminar esta 4ta ola, +80% se contagie. /1
Para protegernos y "prevenir", muchas personas han confiado su salud de forma polémica al dióxido de cloro, la ivermectina, las gotas de nanocitricos, o el consumo excesivo de antinflamatorios e incluso antibióticos. Hasta el VapoRub ha sido irresponsablemente recomendado. /2
Otras acciones, que han tenido un costo económico importante, como la sanitización obsesiva de superficies, el rociado de objetos y personas con desinfectantes, el uso de tapetes y jergas, la toma de temperatura incorrecta o pulseras y tarjetas desinfectantes, son innecesarias./3
Read 10 tweets
9 Jan
¿Cómo está el gobierno de Puebla involucrado en el secuestro del campus de la UDLAP ?
De inicio, en Febrero de 2021 el gobernador Barbosa nombró a José Daniel Vázquez Millán como presidente de la Junta para el Cuidado de las Instituciones de Asistencia Privada./1
Daniel Vázquez Millán es socio director del despacho Vázquez Millán y Asociados SC en la ciudad de México. Es licenciado en Derecho por la UAM (2018), abogado por la Escuela Libre de Derecho (2019), con especialidad en Derecho de Amparo por la Universidad Panamericana (2021). /2
Previo a su nombramiento no hay evidencias de experiencia relacionada al funcionamiento de Instituciones de Asistencia Privada o Fundaciones en Puebla, aunque se desempeñó como asesor de materia constitucional del gobierno de Puebla. /3
Read 18 tweets
7 Jan
La historia de la Universidad de las Américas Puebla (UDLAP) es la historia de la educación superior privada en México. Inicia con la fundación del Mexico City College en la ciudad de México en 1940, que es el antecedente de nuestra universidad. /1 Image
Históricamente, es la segunda universidad privada fundada en el país, siendo la primera la Universidad Autónoma de Guadalajara (originalmente Universidad Autónoma de Occidente) creada en 1935. En los años 60's recibió fondos para moverse a Puebla, iniciando actividades en 1970./2 Image
El campus de la UDLAP tiene una extensión de 85 hectáreas, más del 50% del cual está ocupado por áreas verdes y arboladas, por lo que es en la práctica un pulmón para el área conurbada Puebla-Cholula. Numerosas aves migratorias y especies silvestres habitan este espacio. /3 Image
Read 6 tweets

Did Thread Reader help you today?

Support us! We are indie developers!


This site is made by just two indie developers on a laptop doing marketing, support and development! Read more about the story.

Become a Premium Member ($3/month or $30/year) and get exclusive features!

Become Premium

Too expensive? Make a small donation by buying us coffee ($5) or help with server cost ($10)

Donate via Paypal

Or Donate anonymously using crypto!

Ethereum

0xfe58350B80634f60Fa6Dc149a72b4DFbc17D341E copy

Bitcoin

3ATGMxNzCUFzxpMCHL5sWSt4DVtS8UqXpi copy

Thank you for your support!

Follow Us on Twitter!

:(