Heiß diskutierter Pre-Print:Outcomes of SARS-CoV-2 Reinfection researchsquare.com/article/rs-174…

❌ Was der Pre-Print NICHT zeigt:
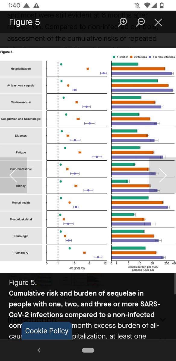
👉 Risiko für Tod und Folgeschäden steigt kumulativ mit jeder Reinfektion

✅ Was der Pre-Print zeigt:
👉Vorherige Infektion verringert das Risiko NICHT
Der Pre-Print wird momentan als Beweis dafür verbreitet, dass mit jeder Reinfektionen das Risiko für Tod und Folgeschäden steigt - eine vorherige Infektion und 'natürliche' (Infektion alleine) oder Hybrid-Immunität (Impfung + Infektion) keinen Schutz bietet.
Wie jede Analyse hat auch diese Stärken und Schwächen.
✅Stärken:
👍sehr großes Datenset
👍Vergleichsgruppen: nie infiziert vs ungeimpft infiziert vs 1x, 2x oder 3x reinfiziert vs. geimpft und 1x oder mehrfach infiziert
❌Schwächen - und die sind hier wirklich wichtig:
👉 Die Personen waren 60+ (US Veteranen Datenbank) pot. mit Komorbiditäten - diese Gruppe bildet den schlechtesten Immunresponse nach Infektion oder Impfung, im Vergleich zu jüngeren Altersgruppen.
👉 die Vergleichszeitpunkte:
Das Risiko für Effekt X wird zwischen den einzelnen Gruppen zu einem Zeitpunkt Y vergleichen - das heißt:
Person A, 1x infiziert: 100 Tage nach Infektion
Person B, 2x infiziert: auch Tag 100 nach Erstinfektion - das kann aber Tag 3, also die Akutphase, der zweiten Infektion sein
Das ist m.M. nach keine kleine Limitation. Weil Risiken zu unterschiedlichen Zeitpunkten - Risiko nach abgeheilter Infektion vs akute Phase der 2 oder 3 Infektion - vergleichen werden, denke ich nicht, dass wir daraus einen kumulativen Risikozuwachs ableiten können.
Trotzdem: eine vorherige Infektion scheint NICHT vor Folgeschäden einer erneuten #SARSCoV2 Infektion zu schützen*
*In Personen 60+

Jede Infektion ist ein Risikoevent und kann Folgeschäden verursachen. Ob wirklich kumulativ lässt sich aber wegen der Limitationen nicht so sagen.
In jedem Fall gilt: solange wir nicht mit Sicherheit ausschließen können, dass jede Reinfektion das Risiko für Tod und Folgeschäden kumulativ erhöht, gilt: vermeide Infektionen oder Reinfektion! Like the plague it literally is.
Wiederholte Reinfektionen mit immer neuen Varianten, die sich immer weiter von den der Erstinfektionsvariante bzw den Varianten entfernen, an die die Impfstoffe angepasst wurden, ist KEINE GUTE IDEE.

#durchseuchungsstop
#CovidIsNotOver
#COVID

• • •

Missing some Tweet in this thread? You can try to force a refresh
 

Keep Current with molecular.sylvia

molecular.sylvia Profile picture

Stay in touch and get notified when new unrolls are available from this author!

Read all threads

This Thread may be Removed Anytime!

PDF

Twitter may remove this content at anytime! Save it as PDF for later use!

Try unrolling a thread yourself!

how to unroll video
  1. Follow @ThreadReaderApp to mention us!

  2. From a Twitter thread mention us with a keyword "unroll"
@threadreaderapp unroll

Practice here first or read more on our help page!

Did Thread Reader help you today?

Support us! We are indie developers!


This site is made by just two indie developers on a laptop doing marketing, support and development! Read more about the story.

Become a Premium Member ($3/month or $30/year) and get exclusive features!

Become Premium

Don't want to be a Premium member but still want to support us?

Make a small donation by buying us coffee ($5) or help with server cost ($10)

Donate via Paypal

Or Donate anonymously using crypto!

Ethereum

0xfe58350B80634f60Fa6Dc149a72b4DFbc17D341E copy

Bitcoin

3ATGMxNzCUFzxpMCHL5sWSt4DVtS8UqXpi copy

Thank you for your support!

Follow Us on Twitter!

:(