Bruce Baird Profile picture
Sep 4, 2022 77 tweets 55 min read Read on X
Once you've looked at enough videos of nuclear, TNT & ANFO explosions, you realize the perpetrators of the 2020 #BeirutBlast actually stitched together this Frankenstein's monster from TWO huge explosions, one aboveground & the other belowground #25MonthsAndCounting

Thread
1/ Image
It was the aboveground (possibly nuclear) bomb that produced the blast that rocked Beirut & the strange reddish mushroom cloud. And it was the belowground definitely nuclear 5+ kiloton bomb that blasted the grayish earth below the cloud, leaving behind a massive crater.
2/ ImageImage
If the word "nuclear" hasn't scared you off, you should know I premise my use of the word on the conclusion (discussed in numerous tweets) that the perps of #BeirutBlast & other state-directed terrorism for the past 40 years have mastered Minimum Residual Radiation (MRR) nukes
3/ Image
Since almost everybody believes the 2020 #BeirutBlast was caused by an aboveground explosion involving 2750 tonnes of ammonium nitrate fertilizer, let's begin our comparative video analysis with the aboveground explosion.
4/ ImageImageImageImage
In an Aug 2021 thread I showed it was highly doubtful any of this AN could ever detonate, even more doubtful detonate simultaneously & even if they all miraculously detonated at once the configuration is not conducive to generating a concentrated blast
5/
For their part, in #BeirutBlast aftermath, several teams of "experts" - who NEVER question the "official" AN story - based on analyses of blast arrival time, structural damage, seismic signals, etc., calculated an explosive yield ranging from 100 to 1100 tons TNT equivalent
6/ ImageImage
"Experts" use the term "TNT equivalent" to compare different effects (e.g., blast) of both nuclear and nonnuclear explosions by using various formulas to calculate how many, pounds, tons, kilotons, etc. of TNT it would take to produce the same effect.
7/ ImageImageImage
Although the "official" AN story is ridiculous, it is entirely possible that properly configured & detonated high explosives (HE) like TNT or ANFO could have been used. Indeed there are numerous examples of aboveground HE explosions used to generate exactly this kind of blast.
8/ ImageImageImageImage
Indeed, from late 1950s to early 1990s, US & Canada engaged in extensive program using aboveground hemispherical charges of TNT or ANFO with yields 450-4300 metric tons TNT equivalent as a way to test blast effects sidestepping nuclear test bans
9/ ImageImage
For our purposes, the most eerily similar HE test for comparison to the 2020 #BeirutBlast are the three tests of hemispherical charges employing 500 US tons TNT carried out by US & Canada on the island of Kahoʻolawe, Hawaii from Feb-June 1965
10/
Like the #BeirutBlast, the Sailor Hat tests (Bravo, Charlie & Delta) took place near open water, formed transient white Wilson clouds, had lots of reddish colors, created huge air blasts, blasted large craters & movie clips taken from land, air & sea capture all this
11/
However, using Windows Video Editor to examine the #BeirutBlast and Sailor Hat videos at 33 millisecond (ms) intervals (with t = 0 marking earliest appearance of a flash) reveals some major differences btwn the 500-ton TNT Sailor Hat blasts & the uncertain Beirut explosive
12/
For this analysis I will focus on the first of the Sailor Hat tests (Bravo) carried out 6 Feb 1965 b/c it is the best documented in the film & writings of Canadian chief scientist Dr. John Dewey as well as the only crater that was thoroughly measured
13/
First, let's examine the kind of fireball of 500-ton hemisphere of TNT sitting on Hawaiian basalt produces. After the initial flash (t = 0, ur) recedes, by 66 ms (ll) one can make out a bright white hemisphere that by 133 ms (lr) has spread slightly & become more yellowish.
14/ ImageImageImageImage
By 166 ms (ul) one can clearly see darkish ejecta with the glowing hemisphere becoming increasingly yellowish as more and more basalt is blasted out @ 300 ms (ur) & 600 ms (ll) while @ 766 ms (lr) you can even see ejecta splashing in the water.
15/ ImageImageImageImage
At 833 ms (l) one san see that the fireball is no longer really hemispherical & one can just make out the formation of a white Wilson condensation cloud, that by 1000 ms (r) (i.e., 1 second from the initial flash) only slightly obscures the fireball.
16/ ImageImage
By 1633 ms (ul) as the Wilson cloud lifts, one can see the fireball is increasingly reddish-orange with the base of what was the fireball increasingly covered by large blackish sections until there is no more fireball in contact with surface by 7600 ms (lr).
17/ ImageImageImageImage
From a distance we can see the fireball itself is simply slowly rising in the air - 2 sec (ul), 4 sec (ur), 6 sec (ll), 8 sec (lr) - as the fireball increasingly turns blackish
18/ ImageImageImageImage
After the fireball turns completely blackish @ 10 sec (ul), the still very hot cloud continues to rise as the base becomes narrower 12 sec (ur), 13 sec (ll) until the last still from the clip @ 13.733 sec (lr)
19/ ImageImageImageImage
So how does the known surface explosion of a 500-ton hemisphere of TNT compare to the #BeirutBlast? In short, not very well! First, although the Beirut flash is the same kind of bright white color, it is NOT a sphere. Is this b/c the detonation took place inside a warehouse?
20/ ImageImageImageImage
More amazingly the Beirut flash by 33 ms (ul) had transformed into a multi-colored fireball taller than the grain silos & continued expanding, rising, becoming more spherical & turning blacker @ 66 ms (ur), 100 ms (ll) & 133 ms (lr)
21/ ImageImageImageImage
Since quite a few "experts" have used this exact sequence of video images in support of the "official" 2020 #BeirutBlast narrative, it behooves us to examine more fully what this particular video has to reveal
22/
These "experts" used the radius of the Beirut fireball to calculate the explosive yield of the #BeirutBlast and in so doing showed the fireball @ 33 ms was almost perfectly spherical & the fireball was only slightly affected by ground surface effects as the fireball expanded
23/ ImageImageImage
What these "experts" seem to not know (or don't care) is that the critical thing about a fireball unaffected by ground surface effects is that there is NO way such an explosion is going to even compress the soil beneath it let alone BLAST a conventional crater!
24/ ImageImage
To demonstrate this w/o resorting to talk about nukes let me draw on the largest HE "air burst" ever carried out by US, the pre-Trinity detonation on 7 May 1945 of 100 tons of TNT stacked on a platform so that height of burst (HOB) was ~ 28 feet above the Alamogordo playa.
25/ ImageImageImageImage
The 100-ton TNT shot was a test run for Trinity, the 1st nuclear explosion 16 July 1945 on same spot, based on belief that blast properties were a function of cube root of explosive yield, thus 100 tons TNT @ 28 ft comparable to Trinity's estimated 4-5 kt TNT @ 100 ft
26/
It's hard to judge how much of the 100-ton TNT test shot's base we're seeing but fireball first appears nondescript (ul), forms a hemisphere 300 ms later (ur) & steadily rises to form a sphere @ 2 sec (ll) & continues to rise w/narrow cloud stem thru last still @ 5.5 sec (lr)
27/ ImageImageImageImage
The pre-Trinity 100-ton TNT test with its fireball did NOT blast a conventional crater. It merely compressed the ground forming a shallow "compression crater" abt 29 ft wide & less than 5 ft deep (seen in the lower right corner of photo next to Trinity's "compression crater")
28/ Image
Based on cube-root scaling, Beirut's estimated 500 metric tons TNT - arranged the same way as pre-Trinity's 100 tons of TNT - would have to be stacked on top of a 36-ft high platform @ HOB = 49.5 ft inside that warehouse in order to create a similar blast as pre-Trinity
29/ ImageImage
To whatever minimal extent Beirut's fireball impacted the surface in the first 170 ms, it is clear that by at least t = 400 ms (before the Wilson cloud obscures the base) that the fireball is clear of the surface: 200 ms (ul), 300 ms (ur), 400 ms (ll), 500 ms (lr)
30/ ImageImageImageImage
Further confirming that Beirut's fireball did NOT blast a crater is the lack of any visual evidence of ejecta in the first 500 ms. In every HE hemispherical surface explosion video I've seen, there is always plenty of evidence of earth being ejected by fireball by 500 ms.
31/
That video is of "Minor Scale", claimed to be "the largest ever man-made non-nuclear explosion," detonating 4744 US tons ANFO poured in bulk into 44-ft radius fiberglass hemisphere, reported as equivalent to 4000 tons TNT, detonated 27 June 1985 at White Sands Missile Range.
32/ Image
BTW, relevant to what I've just said about spherical fireballs, I believe that photo claimed by Wikipedia to be the "Minor Scale fireball immediately after detonation" is a FABRICATION. The official report has the photo you would expect from a hemispherical charge.
33/ ImageImage
In many ways the #BeirutBlast looks more like an ANFO (ammonium nitrate/fuel oil) explosion than TNT. Like Sailor Hat there's a bright flash (ul) followed by whitish hemisphere (ur) @ 33 ms. But like Beirut from 66 ms (ll) to 100 ms (lr) fireball disappears behind cloud/dust
34/ ImageImageImageImage
But whereas w/Minor Scale ANFO explosion you clearly see upward & outward ejection of earth as early as 66 ms (ul) - indeed Minor Scale looks like an underground nuclear explosion @ 300 ms (ur) & 500 ms (ll) - you see nothing like that by 500 ms w/the #BeirutBlast (lr)
35/ ImageImageImageImage
Indeed you don't see any sign of upward & outward ejection of earth until 2566 ms (i.e., 2.566 seconds after initial flash) (ul) as the Wilson cloud begins to lift, revealing a distinctly grayish ejecta below the reddish "cloud"
36/ ImageImageImageImage
Contrary to a typical "cloud stem" like that we've seen for Sailor Hat Bravo (left) where there the stem gets narrower as the "mushroom cloud" rises, in the #BeirutBlast (right) the "stem" actually gets WIDER over time
37/ ImageImage
Indeed the grayish ejecta seems to be coming NOT from any aboveground explosion but rather a very powerful UNDERGROUND explosion akin to (albeit much smaller than) Storax Sedan, the largest underground nuke (100 kt) ever detonated (July 1962) by US, 635 ft below the surface
38/
If the #BeirutBlast was too small to be a Storax Sedan, the height & mass of the grayish ejecta certainly makes this underground blast appear much more powerful than, say, Teapot ESS, a 1.2-kt device detonated 67 feet below the surface on 23 March 1955
39/
In addition to blasting out a huge crater, this #BeirutBlast underground explosion also generated a powerful air blast directed more vertically upward than horizontally, pushing up the earlier formed reddish "mushroom cloud" much higher in the sky
40/ Image
The combination of the aboveground and belowground explosions - that were probably detonated almost simultaneously - ended up creating the Frankenstein's monster with which we began this thread, the likes of which the world had never seen before
41/ ImageImageImageImage
So what kind of explosive devices were these? How big were they? How deep and/or high were they detonated? Were they NUCLEAR or not? To start to answer these questions, I turn first to where I started back in Aug 2020 - the massive #BeirutBlast crater.
42/
No official report has been released on #BeirutBlast crater. As I discuss in more detail on my website, Wikipedia claims diameter of 124 m reported by CNN (NYTimes said 140 m) & depth of 43 m reported by AFP. Those dimensions are generally accepted.
43/
drbairdonline.com/nuked/the-tell… ImageImageImage
Few have a sense of HOW DEEP a 43-m deep crater actually is since it filled with seawater so quickly. It's the height of a 13-story building! #BeirutBlast crater is 3rd only to 100-m deep Storax Sedan (ur) & Soviet Chagan (lr) craters in terms of craters ever blasted my man!
44/ ImageImageImage
So could 500 tons TNT stacked on the floor of a warehouse in Beirut have blasted such a monstrous crater? NO WAAY! For example, 500 tons TNT sitting on Canadian prairie in Operation Snowball in 1964 blasted a crater 85 m diameter but ONLY 4 m deep (ignoring the upthrust)!
45/ ImageImageImageImage
The Snowball test wasn't an outlier. 1974 US Army compendium listed all crater data for surface hemisherical charges over sandy silty clay and came up with a correlation that shows 500 tons TNT would be expected to blast a crater 81.4 m in diameter but only 3.8 m deep.
46/ ImageImageImage
The official Minor Scale report stated on this largest of all manmade non-nuclear explosions (equivalent to 4 kt TNT): "The crater size was 345 feet in diameter (including the crater lip) and 80 feet in depth. The depth was about twice as deep as the predictions."
47/ ImageImage
Minor Scale authors were likely trying to inflate crater size b/c the standard for explosive cratering is to measure apparent crater dimensions from original ground surface, NOT top of the lip. Even so at 105 m wide & 24.5 m deep, Minor Scale much smaller than Beirut crater.
48/ Image
Last we have the mysterious tale of the Sailor Hat Bravo crater. Today on Kahoʻolawe there is still a crater but this same exact spot was used by both Charlie & Delta, filled with sand before Delta & never officially measured as part of Operation Sailor Hat
49/ ImageImageImageImage
There is quite impressive film footage of what is likely the Sailor Hat Bravo crater blasted out of basalt but official dimensions were only 48 m diameter & 12 m deep, less than a third as deep as #BeirutBlast crater. The crater was reportedly filled in leaving no sign of it!
50/ ImageImageImage
Some might question whether the particular earth ejected by #BeirutBlast could've made a difference. NOT that much difference. The only info I've found is study of the grain silo construction that state there was ~16 m alluvial sand on top of chalk.
51/
hiddenarchitecture.net/beirut-grain-s… ImageImage
So if even the largest non-nuclear explosive charge on the Warehouse 12 floor could NOT have blasted the #BeirutBlast crater, what could? It is clear from ALL the tomes on explosive cratering from 1600s thru WWI that ONLY an UNDERGROUND explosive could have done this.
52/ ImageImageImageImage
After WWII the US military engaged in numerous studies of aboveground, surface & underground explosive cratering although unfortunately many were classified and, as I've found in a study I'm working on now, published studies are increasingly suspect after circa 1980
53/ ImageImageImageImage
Fortunately some studies from 1950s & 1960s started becoming declassified (sometimes heavily redacted) beginning late 1970s. One study I've recently discovered & found most useful for forensic crater analysis is Capabilities of Atomic Weapons (1957 ed., declassified 1997).
54/ Image
Figures 2-20 and 2-21 from Capabilities of Atomic Weapons (1957 ed) give quite clear-cut directions for how to calculate crater radius & depth based on burst height/depth & explosive yield in dry soil or soft rock.
55/ ImageImageImageImage
Although one could through trial & error use known crater radius & depth to backcalculate burst height/depth & yield, a far simpler approach is to simply come up w/polynomial equations for the Fig. 2-20 (l) & 2-21 (r) curves & use a graphing calculator to solve the equations.
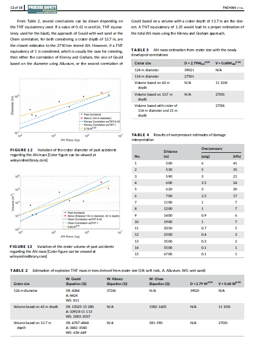
56/ ImageImage
Interestingly solving the equations shows that the MINIMUM crater diameter is 141 m. The NYTimes 140 m wide crater has a MAXIMUM crater depth of 42.7 m while CNN's 124 m crater has a MAXIMUM crater depth of 39.0 m, both a bit shallower than "official" crater depth of 43 m.
57/ ImageImage
Solving the equations for the NYTimes 140 m wide crater at max crater depth 42.7 m comes up w/yield 5.40 kt TNT equivalent @ DOB 51.4 m (l). Solving for CNN 124 m wide crater at max crater depth 39.0 m comes up w/yield 3.81 kt @ DOB 46.6 m (r).
58/ ImageImage
Some "experts" - undoubtedly finding it hard to explain away 43-m deep crater - have proposed crater could NOT have been that deep. One study said crater MUST HAVE BEEN only 13.7 m deep while another claimed 4 m depth based on secret hydrographic survey done by Lebanese Navy!
59/ ImageImageImageImage
Actually, the table below (based on Figs. 2-20 & 2-21 assuming crater diameter 120 m) show shallower craters can require GREATER yields than deeper craters b/c charges would have to be at smaller depth of burst (DOB). A 15 m deep crater requires 47 kt @ 4 m ABOVE the surface!
60/ Image
If even the smallest yield we can come up (3.08 kt) at all consistent with "official" dimensions (120 m crater diameter by 35 m depth) would still require DOB 28.7 m we are OBVIOUSLY talking about an underground NUKE rather than high explosives like Minor Scale.
61/ Image
To give you an idea of what size nuclear device we are talking about, here's some images of W80 Intermediate Yield Strategic Cruise Missile Warhead manufactured by US in 1980s 11.8" wide x 31.4" long weighing 290 lbs that came in a 5 kt yield mod.
62/
nuclearweaponarchive.org/Usa/Weapons/W8… ImageImageImage
As to how the perps placed that size nuke deep under Warehouse 12, they likely used a mobile drill rig that could easily drill the correct diameter borehole down required 30-60 m through 16 m alluvial sand into the chalk bedrock so that the nuke could be lowered to the bottom
63/ Image
Of course, as I said in the 3rd tweet of this thread, I believe the perps used a Minimum Residual Radiation (MRR) nuke. A non-MRR nuke (like W80) would have left easily identifiable residual radioactivity all over Beirut & Mediterranean area wherever the dust settled.
64/ ImageImageImage
If you are NOT one of those who thinks the whole idea of an Minimum Residual Radiation nuke is a complete oxymoron (like "military intelligence"), take a look at what I've posted about them in numerous tweets, e.g., this thread.
65/
If solid evidence screams the explosion HAS to be nuclear but there's NO radioactivity then I conclude the perps know how to HIDE the radioactivity. Furthermore I believe 5 nuclear states (US, USSR, Israel, France, China) have learned to do just that!
66/
A 5.6 kt MRR nuke detonated 53 m below Warehouse 12 can explain the crater, grayish dust spewed out, rapid rise of reddish cloud & seismic activity, but what about the aboveground explosion that produced the reddish cloud & shock wave/air blast that devastated much of Beirut?
67/ Image
Numerous "experts" have argued the reddish cloud is PROOF of ammonium nitrate explosion but I believe this claim is totally FALSE. In my research on "ammonium nitrate" explosions going back to 1921 Oppau, I have yet to come across a single one that produced a reddish cloud.
68/ Image
Many "experts" have argued the "reddish" color of the #BeirutBlast cloud comes from the production of nitrogen dioxide (NO2) as a result of explosive decomposition of NH4NO3 but to me the orange-brownish color of NO2 (l) looks NOTHING like the "reddish" color of the cloud (r)
69/ ImageImage
Frankly in all my examination of nuclear & HE videos I've never seen anything like the palette of colors in the #BeirutBlast cloud. Indeed, I don't see how any HE could have created such a cloud. Which makes me suspect the aboveground bomb might be another 3rd-gen MRR nuke!
70/ Image
Los Alamos physicist Ted Taylor asserted back in 1972 the amazing thing abt 3rd-gen nukes is they could be tailored to produce whatever combination of effects you want, even spew out "nothing but green paint"! If green paint, why not a palette of REDDISH colors?!
71/ ImageImageImage
For the #BeirutBlast, the perps obviously wanted a shockwave but did not want much in the way of initial or residual radiation, basically an MRR nuke which is essentially a "blast bomb."
72/ Image
I have suggested one thing the perps definitely needed to avoid was interference w/videos of the explosion that they WANTED people to take, e.g. radiation/charged particles that physicist Heinz Pommer says interfered w/camera pixels in videos of nuclear strike in Yemen 2015
73/
There are other possibly better reasons to suggest the aboveground bomb might have been a 3rd-gen MRR nuke. Although I've never seen what the flash of a nuke detonated inside a building looks like, I find it curious the entire exterior of the warehouse lights up in the flash.
74/ ImageImageImageImage
There are indications (e.g., spherical fireball) the center of aboveground blast was well off the ground. I don't think the perps could've or would've wanted to stack enough HE atop a high platform to achieve this when they could simply hang an MRR nuke from the roof beams.
75/ ImageImage
As to the explosive yield & HOB of this aboveground nuke, I have no good correlations so I'll throw a bone to the "experts" and go with their range of 100-1100 tons TNT equiv (based on blast wave time of arrival, fireball, etc.) but with HOB the ceiling of Warehouse 12.
76/ ImageImage
Curiously, this range of 100-1100 tons TNT equivalent is EXACTLY the variable yield of the W-79 Mod 0 artillery shell, 8" wide, 44" long, & weighing 200 lbs that was also manufactured by the US in the 1980s!
77/
nuclearweaponarchive.org/Usa/Weapons/Al…
End of thread Image

• • •

Missing some Tweet in this thread? You can try to force a refresh
 

Keep Current with Bruce Baird

Bruce Baird Profile picture

Stay in touch and get notified when new unrolls are available from this author!

Read all threads

This Thread may be Removed Anytime!

PDF

Twitter may remove this content at anytime! Save it as PDF for later use!

Try unrolling a thread yourself!

how to unroll video
  1. Follow @ThreadReaderApp to mention us!

  2. From a Twitter thread mention us with a keyword "unroll"
@threadreaderapp unroll

Practice here first or read more on our help page!

More from @drbairdonline

Aug 18, 2025
In a recent thread I introduced how the "official" story evolved in the media & courts of an Al Qaeda terrorist truck bomb attack on the US Embassy in Nairobi, Kenya, on 7 Aug 1998. In this thread I will show how that "official" story is WRONG.
Thread
1/
To address what is WRONG with the "official" story of the 1998 Nairobi blast, let's start with the most glaring problem with the story - the catastrophic "total collapse" of the 7-story Ufundi Co-op House
2/ Image
Image
In the trial of United States of America v. Mohamed Sadeek Odeh et al (2001), the only witness re the Ufundi House "collapse" was FBI agent Donald Sachtleben although he didn't have much to say on the matter
3/
Read 49 tweets
Aug 12, 2025
Ten years ago today, on 12 Aug 2015, Tianjin - the largest port in northern China - was blasted by an underground NUKE. Just as with the 2020 #BeirutBlast, there is NO WAY an aboveground nonnuclear explosion could have produced such a huge crater Image
Image
The "official" Wikipedia story of the 2015 Tianjin blast is that there was a series of explosions. The first two explosions occurred 33 seconds apart with 2nd explosion much larger involving detonation of about 800 tonnes of ammonium nitrate (approx. 256 tonnes TNT equivalent).
While I'd want to verify anything Veterans Today reports, I'd second their assertion that Tianjin was clearly nuked back in 2015 & encourage people to look at their "evidence." Here is a reprint of their article originally published 25 Aug 2015.
web.archive.org/web/2020080607…Image
Read 14 tweets
Aug 7, 2025
On 7 Aug 1998 was it really Osama bin Laden & Al Qaeda's Mitsubishi van w/800 kg TNT that caused such devastation in Nairobi, Kenya, killing 213 & injuring 4000+? Hardly. How about an Israeli nuclear #FalseFlag to set up bin Laden as the fall guy for 9/11? Hmm.
Thread
1/ Image
Image
To make the case that a Mitsubishi van loaded w/800 kg TNT could "hardly" cause the devastation in Nairobi, I draw here on 5+ years of analyzing some two dozen car/truck bombings 1981-2017 (listed below) drawing on extensive reading in the literature on explosive cratering.
2/ Image
Image
I also stand here on "the shoulder of giants" who paved the way for challenging "official" stories of so-called terrorist car/truck bombings, beginning with the work of the rather mysterious Australian investigator Joe Vialls.
3/
Read 78 tweets
Jun 27, 2025
@umyaznemo What Mordechai Vanunu did back in 1986 was MUCH MORE than simply EXPOSE "Israel's secret nuclear weapons program." He actually revealed (unfortunately practically forgotten today) that Dimona was mass producing VERY sophisticated 3rd-gen "neutron bombs"!
@umyaznemo Theodore Hersh in The Samson Option (1991) reaffirmed Vanunu. Based on Vanunu's photos LLNL & LANL concluded "Israel was capable of manufacturing one of the most sophisticated weapons in the nuclear arsenal—a low-yield neutron bomb". By mid-1980s Israel had produced hundreds. Image
Image
Image
Image
@umyaznemo Reed & Stillman's The Nuclear Express (2010) actually concluded that Israel was the THIRD nuclear state (after US & USSR) to successfully test a neutron bomb in the infamous "Vela incident" off the coast of South Africa on 22 Sep 1979 Image
Image
Read 7 tweets
May 4, 2025
One week after the Bandar Abbas blast on 26 Apr 2025, while we await “official” numbers, I have enough confidence in evidence at hand to assert ISRAEL had "means, motive & opportunity" to perpetrate this act of SABOTAGE using TWO shallowly buried 1-kiloton "clean" NUKES
Thread
1/
As an historian, I hate the idea of rushing my conclusions into print. But, as an activist, I know how short the public attention span is. Alas "the weapons of mass distraction" will soon make sure Bandar Abbas is forgotten by all but the Iranian people. #BandarAbbasWho
2/ Image
I felt confident jumping into the Bandar Abbas quagmire b/c I had spent nearly five years studying 2020 Beirut blast & it was clear w/first Bandar Abbas coverage that the perps & their hasbara allies wanted you to think Bandar Abbas was another Beirut
3/
Read 86 tweets
Apr 27, 2025
Of course, you can't have an aboveground "ammonium nitrate" explosion without a large crater! That's a "truism" that goes all the way back to the 1921 Oppau explosion! If you didn't have a crater when the smoke cleared in Bandar Abbas, people might start asking questions!
Fortunately, the 2025 Bandar Abbas crater didn't immediately fill in with seawater like the 2020 Beirut blast so we should be able to get undeniable dimensions of apparent crater diameter & depth. But my bet is we NEVER get those "official" numbers.
You see the problem for the perps of the 2025 Bandar Abbas blast & all the gatekeepers, shills, limited hangouts, disinfo agents, controlled opposition, et al who support those perps is that with exact crater dimensions you can calculate explosive yield and height/depth of burst Image
Read 73 tweets

Did Thread Reader help you today?

Support us! We are indie developers!


This site is made by just two indie developers on a laptop doing marketing, support and development! Read more about the story.

Become a Premium Member ($3/month or $30/year) and get exclusive features!

Become Premium

Don't want to be a Premium member but still want to support us?

Make a small donation by buying us coffee ($5) or help with server cost ($10)

Donate via Paypal

Or Donate anonymously using crypto!

Ethereum

0xfe58350B80634f60Fa6Dc149a72b4DFbc17D341E copy

Bitcoin

3ATGMxNzCUFzxpMCHL5sWSt4DVtS8UqXpi copy

Thank you for your support!

Follow Us!

:(