Castellanos Lab Profile picture
Nov 4 9 tweets 5 min read Twitter logo Read on Twitter
1/9 Sometimes you've projects you enjoy and you have a lot of fun. When they work... It's awesome!!!

Well, in the last year we've learnt how to make the thinnest possible ommelettes and we ended up using them to fabricate field-effect transistors 🤯


🧵👇 nature.com/articles/s4169…
Image
2/9 First thing is to explain that the idea of using albumen as dielectric has been used already in organic semiconductors (cool stuff 👇), but we wanted to use it with 2D materials and nobody had tried yet.

onlinelibrary.wiley.com/doi/epdf/10.10…
Image
3/9 So we went to the supermarket (@Mercadona, we used your botteled eggwhite) we filtered the eggwhite, spincoat it (~400-600 nm thick) over a silicon chip and evaporate Ti/Au electrodes with an @OssilaScience shadow mask.

Image
Image
Microscope image of the drain/source electrodes evaporated over the albumen dielectric layer
4/9 We then exfoliate a single-layer MoS2 semiconducting flake and we transferred by deterministic transfer () bridging the two electrodes. iopscience.iop.org/article/10.108…
Image
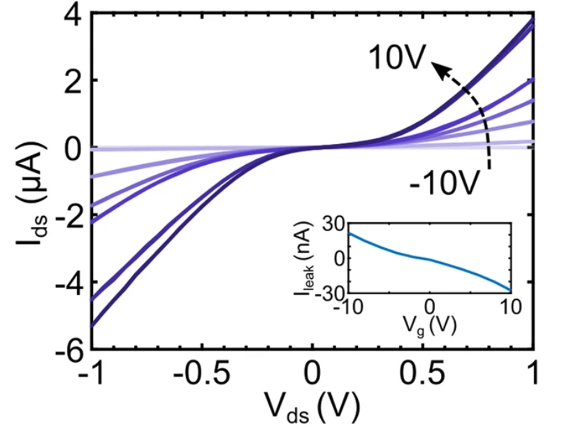
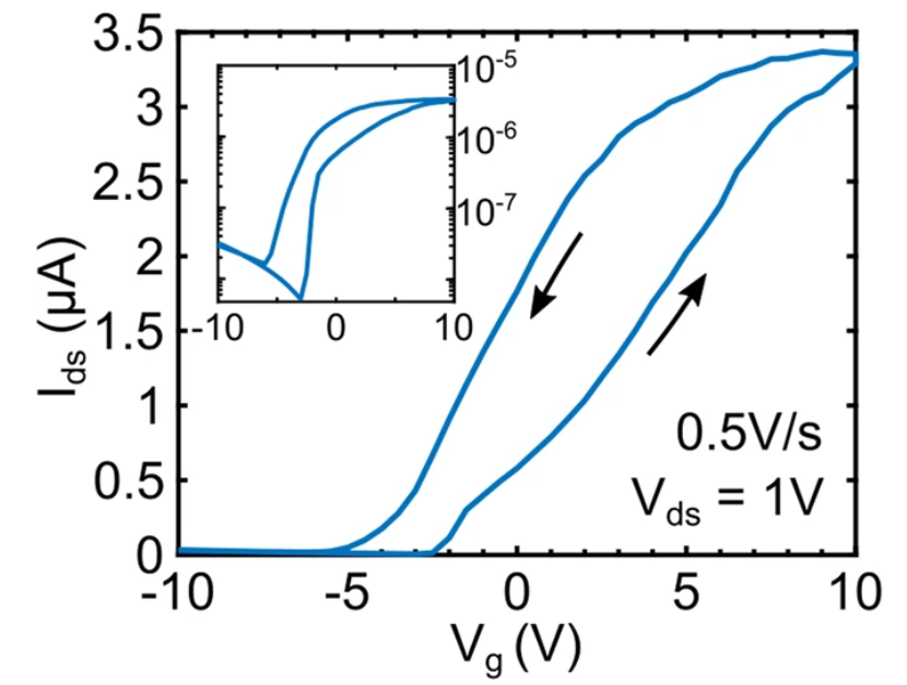
5/9 When we start probing the electrical properties of the devices the things become really interesting. The transfer curves and the gate sweeps indeed indicates that the device behaves as a field-effect transistor.
Image
Image
6/9 But here is when it becames wild... When we compare the performance of the devices with that of MoS2 transistors fabricated the same way but using standard SiO2 dielectric, the chicken eggwhite outperforms them Image
7/9 We've evidence that the eggwhite film acts as an ionic conductor leading to a efficient electric field gating and Coulomb scatterers screening, thus the high mobility. We have plenty of material in the paper, if interested take a look it's #OpenAccess
doi.org/10.1038/s41699…
8/9 BONUS
Of course we tried fabricating devices with the whole egg, making (as promissed) the thinnest omelette possible! The devices work, we see current through the MoS2 channel, tunability... But they have a huge gate leakage and some weird polarizability... Keep working Image
9/9 I would like to thank the @2d_foundry folks Thomas, Pablo and Yong. Specially to Thomas for the heavy-lifting and steering this weird project. And Gianluca's team for the support with the dielectric characterization Image

• • •

Missing some Tweet in this thread? You can try to force a refresh
 

Keep Current with Castellanos Lab

Castellanos Lab Profile picture

Stay in touch and get notified when new unrolls are available from this author!

Read all threads

This Thread may be Removed Anytime!

PDF

Twitter may remove this content at anytime! Save it as PDF for later use!

Try unrolling a thread yourself!

how to unroll video
  1. Follow @ThreadReaderApp to mention us!

  2. From a Twitter thread mention us with a keyword "unroll"
@threadreaderapp unroll

Practice here first or read more on our help page!

More from @Andres_2DMat

Sep 20, 2022
Our work "Combining Freestanding Ferroelectric Perovskite Oxides with Two-Dimensional Semiconductors for High Performance Transistors" is published online (#openaccess). I prepared a thread to briefly explain what we did 👇 pubs.acs.org/doi/10.1021/ac…
In the last 12 years the sci-community has learn a lot about techniques and tools to handle freestanding atomically thin layers thanks to the isolation of 2D van der Waals materials: doi.org/10.1039/C7CS00…
In the last years, other families of materials (non-van der Waals) have been isolated in freestanding form by smart procedures (liquid phase exfoliation, using sacrificial layers, etc):
doi.org/10.1002/adma.2…
doi.org/10.1021/acsnan…
Read 13 tweets
Mar 29, 2020
With the COVID-19 situation scalating so fast our lab @icmmcsic has been closed down for almost 3 weeks now. #StayHomeStaySafe

I've been thinking about interesting experiments that can be carried out at home with basically no measurement tools at all.👇Thread in!
Sometime ago I wrote a little paper about a method to characterize the mechanical properties of micro-fibers (like carbon fibers):

[article]


[preprint] https://t.co/hj6V6IkHssiopscience.iop.org/article/10.108…
arxiv.org/ftp/arxiv/pape…
Well, I decided to repeat the experiment with a spaghetti instead of a carbon fiber to see if I could experimentally determine the Young's modulus, one of the most important magnitudes in mechanics, of spaghetti. Image
Read 13 tweets

Did Thread Reader help you today?

Support us! We are indie developers!


This site is made by just two indie developers on a laptop doing marketing, support and development! Read more about the story.

Become a Premium Member ($3/month or $30/year) and get exclusive features!

Become Premium

Don't want to be a Premium member but still want to support us?

Make a small donation by buying us coffee ($5) or help with server cost ($10)

Donate via Paypal

Or Donate anonymously using crypto!

Ethereum

0xfe58350B80634f60Fa6Dc149a72b4DFbc17D341E copy

Bitcoin

3ATGMxNzCUFzxpMCHL5sWSt4DVtS8UqXpi copy

Thank you for your support!

Follow Us on Twitter!

:(