Boochi Profile picture
Dec 5, 2024 41 tweets 23 min read Read on X
The latest studies and statistics on interracial relationships, focusing on:

○ Online dating and hookups
○ Marriage
○ Cohabitation
○ Birth data and trends
○ Relationship outcomes

From 2014 to 2024

🧵🧵🧵 Image
The earliest data from OkCupid:

White women are the most racially exclusive.

Despite liberals outnumbering cons over 2 to 1, and their preference taboo.

Exclusivity increased in 2014, despite an altered matching algorithm.

Asian women desired Black men more than White women. Image
Image
Image
Image
"'QuickMatch score' predicts compatibility based on profile information, rather than visual attraction. Answers to match questions, etc.

'Let's Meet score' predicts the willingness to engage in real-world meeting based on visual attraction (rating)."

shorturl.at/2zNvcImage
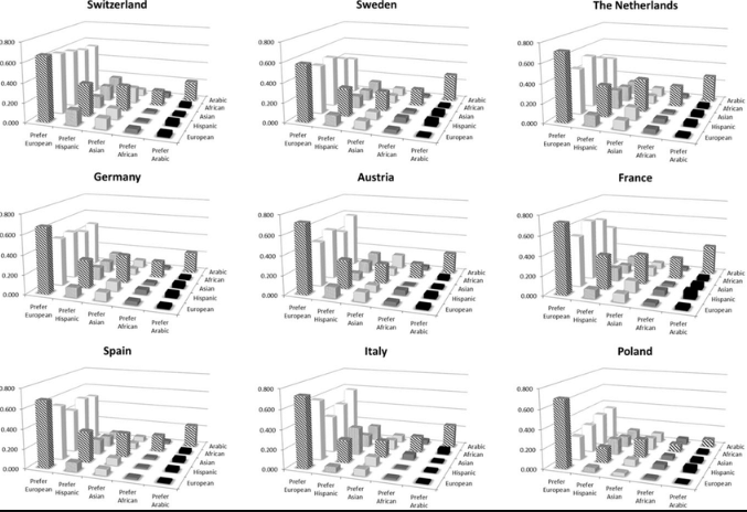
From a 2015 study, "Racial Preferences in Online Dating across European countries"

"Individuals uniformly prefer to date same-race partners, and there is a hierarchy of preferences among natives and minorities.

Non-Arabic minority daters have strong preferences for Europeans." Image
Image
Image
From a 2016 study, "Crossracial Differences in the Racial Preferences"

"African-Americans are the least desired dating partners. The percentage of European-Americans willing to date African-Americans is significantly lower than the percentage willing to date Hispanic and Asian-Americans."Image
Image
From a 2017 German study, "Does the internet affect assortative mating?"

Online dating reduces endogamy compared to other forms of meeting partners, but mainly educational and religious endogamy.

Racial endogamy is twice as prevalent as the former two. Image
Image
From a 2020 Dutch study, "Tinder usage and interracial dating":

Using 24 fake Tinder profiles featuring White and non-White people (minorities in the Netherlands: Turkish, Moroccan, etc)

12 White, 12 non-White.

All respondents found White-looking profiles more attractive. Image
Study limitations:

Asking respondents to indicate ethnic similarity could have primed them to the purpose of the study, and led to increased social desirability in their answers.

Conclusion:

All respondents ranked Caucasian-looking Tinder users as more attractive and dateable Image
From a 2021 study, "Modeling dating decisions" by William J Chopik et al.

"Attractiveness and race were nearly double the influence of other things...

"While attractiveness played a major role in the participants' decisions to swipe left or right, race was a leading factor." Image
Image
Conclusion:

"When the targets were Black, Asian, or Hispanic, they were less likely to be swiped right on. Among the largest effect sizes was a lower likelihood of swiping right if the target was Black."

Negative stereotypes may impact their [perceived] attractiveness." Image
Image
From a 2022 study in the Netherlands, "Assortative online dating" by Ranzini, et al:

"Respondents with a Dutch ancestry were more likely to select a White person. Both Dutch and non-Dutch ancestry preferred White targets.

Race was the most important factor in partner choice." Image
Image
We created a dating app and asked respondents (500 young adults) to select dates from 110 profiles, which varied on race, education, and culture (Dutch or non-Dutch).

Conclusion:

"Visual cues to race determine selection, while related cultural signaling appears irrelevant." Image
Image
From a 2022 study, "Romance & Racism"

"White women particularly had strong same-race preferences"

Latinas liked White men over Black and Asian, but not Latinos.

Asian women preferred Asian over Black, but not White men.

Black women did not show a preference for any race. Image
Image
Image
"White women and Latinas were more willing to date White men than Asian and Black men."

Asian and Black men were equally disliked.

Asian women preferred White and Asian men. (They were more willing to date Black men than White women were.)

Black women had no racial preference Image
Image
From a 2022 Russian study, "How Tinder changes dating among Russian Generation Z,"

"Dateability is heavily influenced by racial preferences...

Almost everyone stated that they would never swipe right on someone of a different race." Image
Image
The author theorizes Russians have racial preferences due to "sexual racism" from Russian media.

"Russian children don't see Black people growing up, so they absorb pictures of Blacks from Russian pop culture. This shows them with low social capital, thus zoomers hesitate." Image
Image
Image
Image
From a 2023 study 'Racial preferences in dating apps' by Aldana et al:

In a mock tinder app with 2,513 participants

"All of the female participants who initiated a conversation in the heterosexual condition with the Black male profile were trans women, according to their bios." Image
Image
Image
Image
"Thousands of people saw these profiles.

White profiles had more likes in every situation."

Conclusion:

"Homogamous preferences, and rooted problems like sexual racism, can lead users to maintain a racialized sexual hierarchy that privileges Whiteness." Image
From a 2023 study, Match's "Singles in America:

Gen Z Less Likely To Date Outside of Their Race Than Millennials"

"While Gen Z might be known for their progressive politics, they might not be as progressive when it comes to dating compared with their Millenial elders." Image
Image
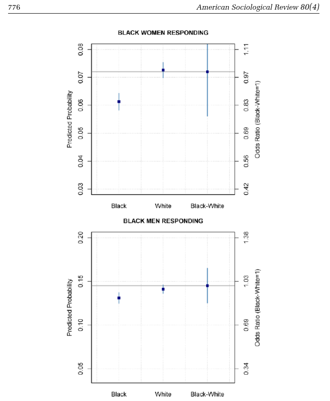
From the Annual Review of Sociology (2024):

"It was speculated that Asian men face more discrimination from White women than Black men do.

"Yet...[it] overlooks that, Black and Asian men outmarry at similar rates.

White women discriminate against Black and Asian men equally.." Image
Conclusion: Therefor White men's marriage patterns with Black women are the anomaly, and must be due to anti-Black discrimination.

"White men's anti-Black discrimination may be a more important explanation for observed intermarriage patterns." Image
From a 2024 study:

The rise of dating apps haven't changed racial marriage preferences:

"Our results indicated strong racial preferences...

The paper found minimal changes in these preferences over the 2008-21 period, in which online dating dominated marriage selection." Image
Image
Conclusion:

Our findings of minimal changes in preferences over the 2008-21 period is surprising. Given the proliferation of online dating...

Because people have increasingly been marrying someone more like themselves, that can account for the increase in household inequality. Image
Now for Marriage:

Among currently married women in their 1st marriage in 2016, 10 percent were in an interracial/interethnic marriage.

10.3% of women
5.1% of married non-Hispanic White women
8% of married Black women
20.6% of Asian women
22.4% of Hispanic or Latino (any race) Image
Image
Why is the number (5.1%) so low here?

"Research has shown that interracial couples have higher rates of divorce than other couples, so the percentage of currently married interracial couples shown in the table may be lower than the percentage of interracial couples who married."Image
Image
What are the trends?

2000-2016, the total % of interracial married households increased from 7.4% to 10.2%.

Of this:

White/Hispanic: 35% to 40% respectively.
White/Asian: 12.5%-14.4%
White/Black couples: 7.1%-8.1%.

Note: this is % of IR households, not all households Image
From a 2023 study, "Black-White intermarriage in a global perspective"

For the first time, French data includes a proxy for race!

White females | White males:
Brazil: 5.4%---4.1%
France: 2.0%--1.4%
UK: 0.7%----0.4%
USA: 2.0%---0.6%
SA: 0.5%----1.0% Image
Image
"We use the term intermarriage in a generic manner; in our study we examine both married and cohabiting couples.

A feature of black–white intermarriage in the US is an imbalanced sex ratio; such gender imbalances are not found in any other countries."

demographic-research.org/volumes/vol49/…Image
Image
From “But Will It Last?: Marital Instability Among Interracial Couples"

White wife/Black husband marriages show twice the divorce rate of White wife/White husband couples by the 10th year of marriage.

The highest divorce rate of any combo, including Black-Black marriages. Image
Image
Image
From a later study "Marital Dissolution..."

Black husband-White wife marriages are 185% more likely to end in divorce.
White Husband-Black wife, 158%
Hispanic Husband-White wife, 133%
White Husband-Hispanic wife, 111%
Both gender combinations with Asians had lower divorce rates Image
Image
Now cohabitation:

8% of White adults cohabit, 57% are married.

Whites are the least likely to cohabit interracially, at 12%.

Of cohabiting households in 2007-2011, 2.7% were Black-White.

In 2017-2021, this share increased to 2.8%.

A .1% increase in the last decade. Image
Image
Image
Image
White men and women have the same cohabitation rates: 7.9% each.

Cohabitation rates have plateaued over the past decade.

Only 26% of non-Hispanic White women remain in their cohabitant union for at least 3 years before separation. 8% survive 5 years. Image
Image
Image
Image
Now for IR Birth Data:

From the latest CDC Natality Statistics,

For White mother births in 2023 (Excluding unknown):

87.6% of fathers are non-Hispanic White
5.6% are Hispanic-White
--92%--^
3.5% are Black (Hisp and non)
2.1% are 2 or more races (H&N)
1.2% are Asian (H&N) Image
For White father births in 2023 (Excluding unknown):

88% of mothers are non-Hispanic White
6.2% are Hispanic-White
--94.2%--^
2% are Asian (Hisp and non)
2% are 2 or more races (H&N)
1.25% are Black (H&N) Image
Broken down by single moms and dads (Excl Unknown):

White single mothers, by race of dad:

Black: 62%
2 or more races: 46%
Hispanic-White: 43%
Asian: 27.3%
Non-Hispanic White: 23%

For White single fathers:

Black: 42%
Hispanic-White: 39%
Asian: 27%
Non-Hispanic White: 23% Image
Image
For Birthrate Trends (2016-2023)

Like in all previous years, the overall number of IR births is down since 2016.

The increases in percentage (.1% every 3 years for BM-WW births) isn't due to an increase in their number--rather White-White births have simply declined overall. Image
Image
Key points from the CDC data:

IR couples with non-Whites have higher rates of single parenthood in every case, especially with Black partners.

The birth rate between White women and Asian men is equivalent White women and Black men, when controlling for population size. (1/3) Image
Note the CDC data I added does not include "Unknown or unstated," thus there's a gap in the data I can't speculate on.

I'll also be adding relevant racial preference data to this thread for easy reference moving forward.
A 2015 study, "Positioning Multiraciality in Cybserspace," wanted to find out where multiracial individuals are positioned in the "racial hierarchies of the dating market."

For White women:
White > Asian-White > Hispanic-White > Black-White > Hispanic > Asian > Black Image
Image
Image
For Asian women:
Asian-White>White>Asian

For Asian men:
Asian-White>Asian>White

For Hispanic women:
Hispanic-White>White>Hispanic

For Hispanic men:
Hispanic>White>Hispanic-White

For Black women:
White men>Black-White>Black

For Black men:
Black-White>White>Black Image
Image
Image
Here's the updated study on multiracial dating.

• • •

Missing some Tweet in this thread? You can try to force a refresh
 

Keep Current with Boochi

Boochi Profile picture

Stay in touch and get notified when new unrolls are available from this author!

Read all threads

This Thread may be Removed Anytime!

PDF

Twitter may remove this content at anytime! Save it as PDF for later use!

Try unrolling a thread yourself!

how to unroll video
  1. Follow @ThreadReaderApp to mention us!

  2. From a Twitter thread mention us with a keyword "unroll"
@threadreaderapp unroll

Practice here first or read more on our help page!

More from @Boochibooch

Mar 8, 2025
A 2020 study found that a racial hierarchy emerges for multiracial daters consistent with past research.

All groups responded to their own in-group the most, except for Hispanic-White women, who preferred White men.

All groups responded to monoracial Black men the least.

White women are more likely to respond to Asian-White men than Black-White men.

Black-White men prefer monoracial Black women, then Black-White, then White.

Black-White and Hispanic-White women privilege "Whiteness"

Black women prefered White men, Black-White, and Black men least.

Hispanic-White men prefer Hispanic, Hispanic-White, and White women equally.

Hispanic-White and Asian-White women view White men as more gender progressive than their other monoracial group.

All groups showed "anti-Black" bias.Image
Image
Image
Image
White women exclude non-White monoracial daters, and treat multiracial daters as in-between group for all but Asian-White men (surprisingly).

"White women primarily respond to White men, and exclude all monoracial minority men.

They do indicate a willingness to respond to Asian-White, Hispanic-White, and, to a lesser extent, Black-White multiracial men;

When considering multiracials, White women treat Black-White and Hispanic-White multi-racial men as an in-between group and dis-play equivalent treatment of Asian-White multiracials and White daters."

"Asian-White multiracial men benefit most from this heightened status."Image
"White men are most likely to respond to messages sent by White women, followed by Hispanic and Asian women, and they respond less frequently to messages sent by Black women."

With multiracial women, Asian-White women are actually responded to the most, followed by White and Hispanic-White, then Black-White and Black the least.Image
Image
Read 5 tweets
Mar 7, 2025
From 2010 to 2015, 68% of the minor victims of sex trafficking were White girls.

The vast majority of convicted sex traffickers were Black men (71%), while 20% were White men (2019)

32% of the buyers of trafficked girls where middle-aged Black men making $40k/year (2017) 🧵 Image
Image
Image
Image
A recent 2025 study asked victims of sex trafficking about their traffickers...

This is where it gets dark...

The White women said that they "were targeted to be prostituted by Black male traffickers because Black men 'would take pride in having little White girls.'" Image
A major theme emerged:

Victim #19: Black male traffickers "had a weird thing for White girls on drugs."

#20: "I saw far more White woman trafficked than anything else."

#33: "They'd always target the younger White women. I don't know why. I just feel race played a part in it." Image
Image
Read 10 tweets
Mar 3, 2025
According to the New York Times, 92% of Romance Novel writers are White.

"The majority of romance novels on the best-seller lists are by and about White, heterosexual people."

The new RWA president has said, "We have a lot of work to do." 🧵 Image
Image
The Romance Writers of America says it's committed to increasing the diversity of its authors.

Their new director, Jacki Renée, says that she "celebrates Black and Interracial love."

The majority of her published novels feature a White man and a Black woman. Image
Image
Despite their efforts to increase diversity, many publishing company officials complain that readers just don't want it:

“We hear that readers want more diversity, but it’s still the case that the most popular books are the least diverse."
-Director of Penguine Random House Image
Read 10 tweets
Feb 27, 2025
The term "sexual racism" is rooted in the concept that White people don't have a right to prefer their own race, even subconsciously.

This term isn't just confined to academia, as it effects policy, and even how White liberals virtue signal their sexual preferences. 🧵 Image
From "Sexual racism: Intimacy as a matter of justice,"

"In the case of sexual racism, one is seen as less physically attractive based on racial stereotypes or norms.

Intimacy is a matter of justice. We ought to care about the distribution of this opportunity." Image
Image
In her 2020 article "Colorblind and Colorbound," Jonahs describes how color-blind ideology is giving an explicit defense of race as an acceptable category of exclusion.

"Colorblind ideology upholds White supremacy, yet remains the dominant racial ideology." Image
Image
Read 20 tweets
Feb 25, 2025
Blacks rape and murder Whites on such an industrial scale, in 2009, Obama ordered the Bureau of Justice to cover up interracial rape statistics.

The cover-up of sex crimes against WW is a global phenomenon, yet American conservatives, and women, are often ignorant or apathetic. Image
Image
Image
Image
It's so terrible, that many can't believe it, even when they see the statistics.

1997, 1999, 2003, '04, '05, '06, '07, '08, not a single White on Black rape, while 100-200 thousand WW are raped by Black men, year after year.

Most either don't know, or don't care. Image
"To Kill a Mockingbird" is still read to young White children, often by the same people who say “believe all women” in the same breath.

Lynching had already been outlawed by the time it was published.

It's time for White guilt to be deconstructed.

Read 6 tweets
Feb 12, 2025
Kindle caters too much to female readers, so I've been looking for a new reading app.

I like that this one has cool genres like "CEO," "Billionaire," and "Alpha," so you know this one is for the boys!😎 Wish me luck. 🧵 Image
Image
"After spending one night with Alpha Kilian, she couldn't understand why she was carrying two wolf babies.

He's the richest, most powerful Alpha in Neredia."

94K reads...

This is the female hero myth. Image
Image
All of the top stories on this app are about a rejected young girl getting "claimed" by an Alpha.
Image
Image
Image
Read 14 tweets

Did Thread Reader help you today?

Support us! We are indie developers!


This site is made by just two indie developers on a laptop doing marketing, support and development! Read more about the story.

Become a Premium Member ($3/month or $30/year) and get exclusive features!

Become Premium

Don't want to be a Premium member but still want to support us?

Make a small donation by buying us coffee ($5) or help with server cost ($10)

Donate via Paypal

Or Donate anonymously using crypto!

Ethereum

0xfe58350B80634f60Fa6Dc149a72b4DFbc17D341E copy

Bitcoin

3ATGMxNzCUFzxpMCHL5sWSt4DVtS8UqXpi copy

Thank you for your support!

Follow Us!

:(