How to get URL link on X (Twitter) App
https://twitter.com/jsm2334/status/1866163625456488531Die Autoren kommunizieren das übrigens total transparent im gesamten Paper, wen die Dekomposition der Effekte interessiert, muss um Appendix nachschauen. Nun ist es aber so, dass das Timing der Messungen zu einerm geringeren Infektionsrisiko führt, egal ob Impfung oder nicht.
https://twitter.com/paul_schreyer/status/17696698100932362301. Was kam denn raus bei der Evaluation der Uni Marburg der CWA?

Wir ihr schnell sehen könnt, gibt es zB in der Meldeinzidenz ein Peak am 8.1.21. In dem rep Sample gibt es dem peak so nicht, da gibt es eher ein Plateau Mitte Dez bis Mitte Januar.
https://twitter.com/realB11529/status/1544107697028603906Wie zu vermuten, waren die allermeisten Menschen noch nie (max 3 Mal) bei einem Test. Warum? Weil sie meinen, keine Kontakte zu haben. Das ist natürlich Quatsch, gesundheitsbewusste Menschen würden ja wenigstens mal zum Arzt gehen und sei es zur Vorsorge.
Und weil viele auf die bedingt formatierten bunten Tabellen des RKI stehen, hier mal eine mit der Krankenlast in den Altersgruppen. Zwangstests in der grünen Gruppe scheinen en vogue. Aber sind sie sinnvoll? #FalscherFokus
https://twitter.com/lovelife_kr/status/1514010591098245123(2) Kurze, harte Lockdowns funktionieren nicht. Shanghai befindet sich seit mehr als zwei Wochen in dem wohl härtest möglichen Lockdown, selbst Hunde und Katzen werden eliminiert und dennoch steigen (!!!) die Zahlen.
https://twitter.com/Dt_Aerzteblatt/status/1494706044974485506im M. deltoideus (oder aber auch M. vastus lateralis) zu verabreichen. Wer mal woanders Gefäße versehentlich punktiert hat, kennnt den Unterschied. Und nun erfahre ich, dass man das gerade bei COVID-19 Impfstoffen doch machen sollte? Nachdem das im letzten Jahr immer wieder/2
https://twitter.com/janoschdahmen/status/1494589402345058312Unglaublich, dass er sich da hinsetzt und lügt. Nein, die "Niedriginzidenzstrategie"hatte nicht das beste Ergebnis. Nor, Fin, DK liegen in beiden Jahren auch kummuliert vor D. Im zweiten Jahr haben uns aber Spanien und Frankreich auch noch überholt.
Sportaktivitäten führen zu weniger Angststörungen, weniger Depressionen und einer höheren Lebensqualität.
Im Wesentlichen beruht also der Fakt, dass Nagel Gehör und Mittel fand, nicht auf seiner Expertise, sondern darauf, dass er schnell war und gut vernetzt (angefangen ohne Drittmittel und dann das Geld bekommen). Konsequent zu Ende gedacht ist das eine Katastrophe für den Standort:
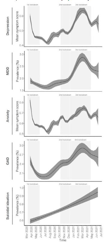
https://twitter.com/Tremont08/status/1480685798584373252Denn: Ein grundlegendes Muster in eigentlich fast allen Studien, die ich kenne, ist, dass jüngere Menschen mehr zusätzlich an psychischen Erkrankungen leiden als ältere Menschen. Die mussten aber weniger Angst direkt vor Corona haben.