My Authors
Read all threads
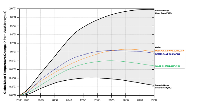
1⃣3⃣ Even for same RF level in 2100 different IAMs underlying RCPs produce different trajectories & temp changes
So it's not just different socioeconomics, implications for concentration pathways as well
Decoupling socioeconomics from physical climate turned out to be an illusion
1⃣4⃣ We extensively document RCP scenario misuse in the USNCA, IPCC and underlying literature -- see the paper for details .... I'll jump ahead
1⃣5⃣
OK, so what?
Scenarios are misused
We're all friends here, can't we just ignore it?

We think this issues are pretty important
For both climate policy & climate politics

See paper for expansion of arguments below
1⃣6⃣ We offer 3 reasons to explain how scenarios went off track
1-Divergence between original intent & actual use
2-IPCC went from literature review to literature coordination
3-Prioritization of physical climate modeling
1⃣7⃣ It is important to note that in 2007 29 leading climate researchers participating in the RCP development process under the IPCC PERFECTLY anticipated the subsequent misuse of RCP8.5 and wrote a warning
(Aside: Where ya'll been these past 13 years?)
1⃣8⃣ Not widely appreciated is that the IPCC orchestrates the production of climate research (using scenarios)
This was recognized in 2005 by the IPCC as a potential "conflict of interest"

The IPCC is thus not just an assessment body but a research coordinating body
1⃣9⃣ In 2005 the IPCC identified its coordinating role as helpful for future assessments
"More "homogeneity" in the literature was viewed as a feature, not a flaw
That decision in fact made climate research brittle, not robust
2⃣0⃣ Little appreciated is that the process & substance of the RCPs was not driven by policy relevance but by the computational needs of climate modeling

Aside: Scenarios were always the purview of IPCC WG3 pre-RCPs, but make no mistake, post-SRES the IPCC WG1 was in charge
2⃣1⃣ We discuss briefly other factors in the paper that likely contributed to scenario misuse
Political dynamics
Media dynamics
Professional dynamics
Science dynamics

Bottom line:
2⃣2⃣ After 15+ years the community finally has (much of) its originally-proposed scenario matrix architecture in place under the Shared Socioeconomic Pathways (SSPs)
So maybe everything is now fixed?
Unfortunately, no
2⃣3⃣ See the paper for deets, but the SSPs both carry forward some RCP problems & introduce new ones
1-Need for continuity w/ (flawed) past scenarios
2-Introduction of biases
3-Scenario chimeras, ignoring plausibility
2⃣4⃣ This quote from an anonymous Dutch climate scientist really sums up this story:
"You simply do not realize that the RCPs can start a life of their own"

There should be nothing controversial about our analysis - the scenario misuse we document is obvious & utterly pedestrian
2⃣5⃣ We (w/ @jritch) suggestion some options
✅Just fix it
✅Get IPCC out of scenarios
✅Focus on near term (a la IEA)
✅Don't let climate modeling drive scenarios for policy
✅Expand what is considered valid & relevant

Bottom line below
Full paper: papers.ssrn.com/sol3/papers.cf…
/END
Missing some Tweet in this thread? You can try to force a refresh.

Enjoying this thread?

Keep Current with Roger Pielke Jr.

Profile picture

Stay in touch and get notified when new unrolls are available from this author!

Read all threads

This Thread may be Removed Anytime!

Twitter may remove this content at anytime, convert it as a PDF, save and print for later use!

Try unrolling a thread yourself!

how to unroll video

1) Follow Thread Reader App on Twitter so you can easily mention us!

2) Go to a Twitter thread (series of Tweets by the same owner) and mention us with a keyword "unroll" @threadreaderapp unroll

You can practice here first or read more on our help page!

Follow Us on Twitter!

Did Thread Reader help you today?

Support us! We are indie developers!


This site is made by just two indie developers on a laptop doing marketing, support and development! Read more about the story.

Become a Premium Member ($3.00/month or $30.00/year) and get exclusive features!

Become Premium

Too expensive? Make a small donation by buying us coffee ($5) or help with server cost ($10)

Donate via Paypal Become our Patreon

Thank you for your support!