Update includes 449 new patients (8,699 total); 717 new outcomes (6,860 total).
Full report 👇. /1
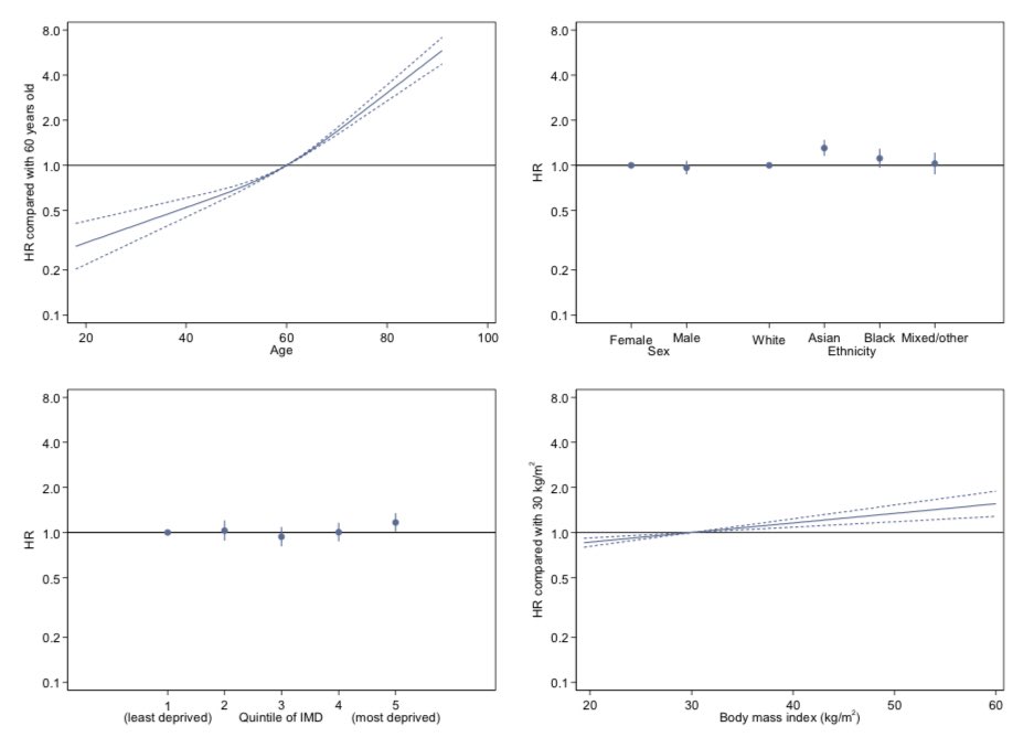
- age is highly significant, the strongest predictor by far of survival after ICU admission
- there is no statistically significant difference by sex
- Only Asian ethnicity has a statistically significant extra mortality risk compared to whites. /11
- only the most deprived 20% have statistically significant extra mortality risk compared to the least deprived group
- BMI is significant, chance of survival falls as BMI rises
There are other more medical breakdowns available in the report. /12
Tweets 9-12 show relative risk of surviving, once admitted to ICU.
Some groups are doubly at risk, e.g. Asians.
Some are more likely to need ICU but at no extra risk once admitted, e.g. Males. /13











