Eugen Dimant Profile picture
Sep 4, 2020 13 tweets 9 min read Read on X
💥New WP: Hate Trumps Love💥
RQ: study behavioral-, belief- & norm-based mechanisms through which perceptions of closeness, altruism & cooperativeness are affected by political polarization under @realDonaldTrump

Findings: it’s grim
Paper: bit.ly/32TNKrk

Short thread👇 Image
1/11

Rising political polarization is often linked to fractured societies rife with racial inequality, factional conflict & partisan animosity.

In the U.S., many issues yield a surprising partisan divide, think mask wearing (see also recent paper by @spbhanot & @dhopkins1776)
2/11

In multiple pre-registered *behavioral* experiments, I study the perceptional & behavioral consequences of polarization.

In particular, I examine the behavioral-, belief-, and norm-based mechanisms with which this political intergroup conflict materializes.
3/11

I do so in both strategic & non-strategic decision contexts that capture cooperativeness, altruism & anti-social behavior

I examine ingroup-love separately from outgroup-hate by comparing behavior/attitudes in #Trump prime conditions to those in minimal identity conditions
4/11

Importance: understanding how political polarization may affect one's willingness to engage in altruistic behavior and the collective provision of goods within and between factions has direct social welfare implications (e.g., outgroup animosity & dehumanization divide) Image
5/11

Research questions that this paper tackles (I)

Behavioral:
◆How does polarization affect pro-/anti-social decisions, cooperation, and social expectations?
◆Do these take shape in form of ingroup-love, outgroup-hate, or both simultaneously?
6/11

Research questions that this paper tackles (II)

Perceptional:
◆Are these behavioral differences consistent with observed variations in perceived interpersonal closeness & social #norms?
◆ Can they help explain *why* we observe these differences across political factions?
7/11

3 economic games capture 3 types of settings:
◆Non-strategic: Dictator Game with taking option (List, 2007)
◆Strategic: variants of a Public Goods Game ('ABC of Cooperation' version by Fischbacher, Fehr & Gächter, 2001)
◆'Social': norm elicitation (Krupka & Weber, 2013)
8/11

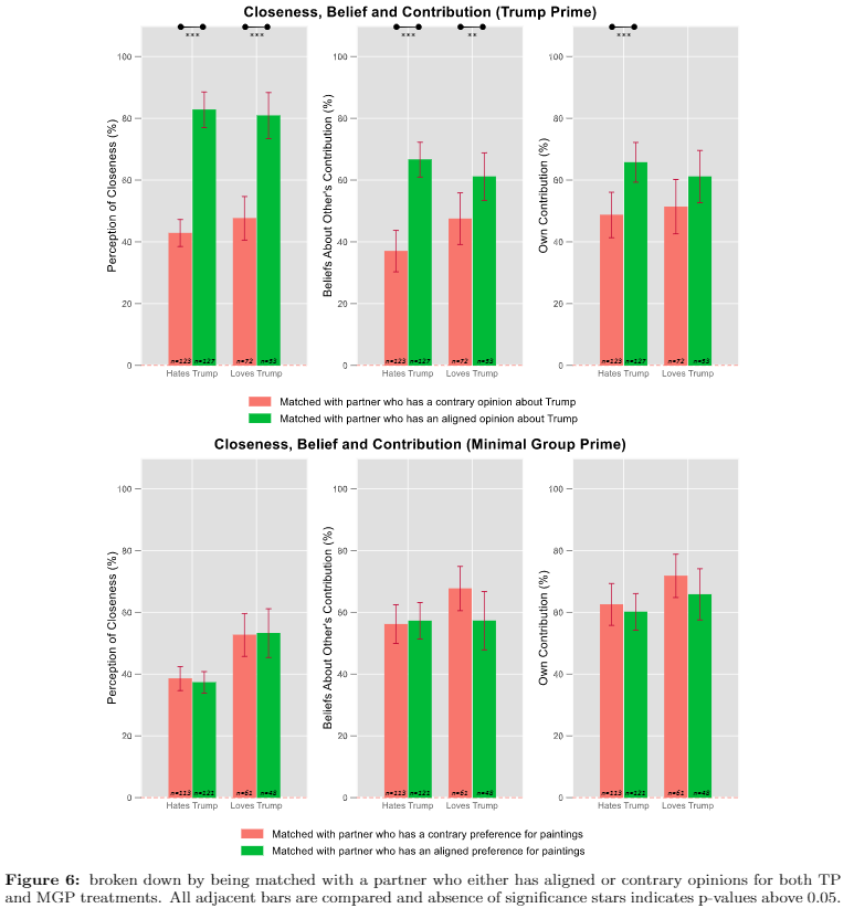
Some results:
◆Ingroup-love/outgroup-hate is nuanced (former for perceptions, latter for behavior)
◆Polarization is detrimental for cooperation - NOT b/c adverse preferences per se but b/c fallacious beliefs of other's cooperativeness
◆Behaviors map onto norm perceptions ImageImageImageImage
9/11

By and large, the results are not driven by ingroup-outgroup considerations alone. Instead, the observed disparities in perceptions, beliefs & own cooperativeness largely rest on the emotional state that is evoked by political polarization.

The paper unpacks this in detail
10/11

Important policy prescription: observed partisan rift might be not as forlorn as previously suggested.

Adverse behavioral impact of intergroup conflict can be attributed to one's grim expectations about others➡️fix such 'negativity' bias via belief-based interventions.
11/11

A *lot* of helpful input came from @abaldama, @dhdannychoi, @Leesplez, @m_levendusky, @BrendanNyhan, @sean and in particular from @peyton_k 🙏
It's a timely topic with interesting insights that I hope will be found interesting. Comments welcome!

12/11 Bonus thanks

Folks whose research was quite relevant to this paper (and are on Twitter) include @ylelkes @CFCamerer @ezraklein @profcikara @namalhotra - thank you for the interesting reads!

#EconTwitter #PoliSciTwitter #SocSciResearch

• • •

Missing some Tweet in this thread? You can try to force a refresh
 

Keep Current with Eugen Dimant

Eugen Dimant Profile picture

Stay in touch and get notified when new unrolls are available from this author!

Read all threads

This Thread may be Removed Anytime!

PDF

Twitter may remove this content at anytime! Save it as PDF for later use!

Try unrolling a thread yourself!

how to unroll video
  1. Follow @ThreadReaderApp to mention us!

  2. From a Twitter thread mention us with a keyword "unroll"
@threadreaderapp unroll

Practice here first or read more on our help page!

More from @eugen_dimant

Nov 17, 2022
🚨New Publication🚨

𝗜𝗻𝘁𝗲𝗿𝗲𝘀𝘁𝗲𝗱 𝗶𝗻 𝘁𝗵𝗲 𝗿𝗲𝘀𝗲𝗮𝗿𝗰𝗵 𝗳𝗿𝗼𝗻𝘁𝗶𝗲𝗿 𝗼𝗳 𝘀𝗼𝗰𝗶𝗮𝗹 𝗻𝗼𝗿𝗺𝘀 & 𝗯𝗲𝗵𝗮𝘃𝗶𝗼𝗿 𝗰𝗵𝗮𝗻𝗴𝗲?

💡Yes? You're in luck: @CBicchieri @MicheleJGelfand @silviasondereg2 & I might have just the right insights to share.

A little🧵
Last year, we took on the endeavor to be co-editors on a special issue on social norms & behavior change at JEBO.

We were floored by the demand: received 120 submissions & ultimately accepted 22 papers ranging from theory & non-experimental to laboratory & extra-lab experiments
In what follows, I will briefly mention the accepted papers in order of their employed methodology.

If you'd like to get straight into the science, the four of us have compiled the most exciting insights in our editorial piece that you can download here: authors.elsevier.com/a/1g5Vbc24a-egJ
Read 26 tweets
Dec 9, 2021
👣First publication of 2022 is✔️

We show when & how social #norm compliance erodes over time + the role that group #identity plays in mitigating it

Paper: doi.org/10.1016/j.geb.…
Results in🧵👇
👀@jayvanbavel @CassSunstein @BrendanNyhan @eckelcc @RFisman @erezyoeli #EconTwitter
Apologies, the DOI link seems not to be active just yet

Link that works: sciencedirect.com/science/articl…

Read 4 tweets
Sep 8, 2021
💡New paper (with the fantastic @BellaRen19 & @ME_Schweitzer @Wharton) examining the role of social motives in spreading misinformation/conspiracy theories.

Paper: tinyurl.com/4mch6mk9

Short🧵with results
#EconTwitter @DG_Rand @Sander_vdLinden @GordPennycook @jayvanbavel
1/n
2/N

Great research analyzing the dissimination of misinformation & what to do about it has been produced by @DG_Rand @Sander_vdLinden @GordPennycook @jayvanbavel... et al. (& their teams)

They show how pervasive misinfo spread is & how people reason at the individual level.
3/N

Here, we are interested in the *collective* dimension of misinfo spread. We focus on social motives (e.g., feeling of belongingness, norms etc.) as a motivating mechanism to spread conspiracy theories (CT).

Understanding these social dynamics is important. And challenging.
Read 9 tweets
May 19, 2021
☢️New @CESifoGroup WP☢️
⦿I quantify impact of political polarization on social preferences via 15(!) incentive-compatible experiments
⦿I also test if #nudging can reduce polarization (it can't)

Paper: cesifo.org/en/publikation…
#EconTwitter

Short🧵on what's new in this version
1/7

1st of all, the paper contains many experiments and interventions. After the initial submission of this paper, reviewers asked to not only quantify the detrimental impact of polarization but also test behavioral interventions to alleviate it.

So now I have ~9,000 obs.
2/7

Quick recap: the 15 experiments capture
⦿ altruism & anti-social behavior (List 2007)
⦿ cooperativeness & trust (Fischbacher et al 2001)
⦿ norms (Krupka & Weber 2013)
⦿ behavioral interventions (defaults & norm-nudges, @shlomobenartzi @R_Thaler @CassSunstein @CBicchieri)
Read 8 tweets
Feb 5, 2019
🚨New WP (theory + experiment): lying & belief distortion under norm-uncertainty🚨
w/ @cbicchieri (@Penn) & Sonderegger (@CeDEx)

RQ: how do we engage in deviant behavior when social #norms are uncertain?
A: self-serving belief distortion
Paper: bit.ly/2Go0tJk

Thread ⬇
1/

Known:
#Lies are ubiquitous & people often lie for their own benefit or for others (@UriGneezy et al., 2018 AER, Abeler et al., 2019 Ecta)
◈ Reasons (not) to lie: ethical dissonance, image concerns...

--> we take a complementary approach: norm-following considerations
2/

Existing scientific approach to the study of norms:
◈ Clearly define norms and study how individuals react (tradition of @RobertCialdini, @CBicchieri, Fehr & others)
◈ Find: social norms motivate and affect personal decisions, even when they are not in our own self-interest
Read 11 tweets
Dec 13, 2018
🚨WP on deterrence & optimal design of institutions🚨
(w/ colleagues @econ_uzh @UniCologne @kielinstitute)

RQ: How to design institutions effective at deterring deviant behavior & recidivism?
A: Proper use of swiftness & uncertainty

Paper: bit.ly/2SJ9D63

Thread 1/n
Governments use substantial resources to keep society safe and punish people for criminal acts. Mass incarceration is both costly and ineffective.

Understanding how to design proper institutions is important from both the social and economic perspective.
A vast literature on criminal deterrence has focused on the relevance of the certainty and severity of punishment in deterring deviant behavior (following the Becker tradition).

We examine a third and understudied element (see HOPE program): celerity (swiftness of punishment)
Read 12 tweets

Did Thread Reader help you today?

Support us! We are indie developers!


This site is made by just two indie developers on a laptop doing marketing, support and development! Read more about the story.

Become a Premium Member ($3/month or $30/year) and get exclusive features!

Become Premium

Don't want to be a Premium member but still want to support us?

Make a small donation by buying us coffee ($5) or help with server cost ($10)

Donate via Paypal

Or Donate anonymously using crypto!

Ethereum

0xfe58350B80634f60Fa6Dc149a72b4DFbc17D341E copy

Bitcoin

3ATGMxNzCUFzxpMCHL5sWSt4DVtS8UqXpi copy

Thank you for your support!

Follow Us!

:(