#COVID19 #COVID19at
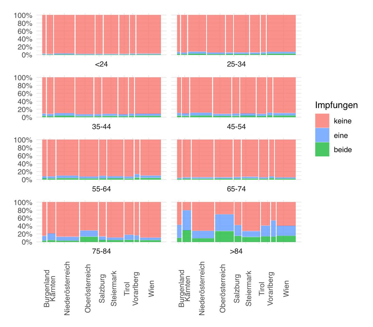
Ich habe mir die Impfquoten (Anteil der in einer Altersgruppe Geimpften) nach Bundesländern angesehen. Dabei bin ich wieder auf eine Analysen erschwerende Eigenheit gestoßen. Der Nationale Impfplan sieht ja vor, dass die Altersgruppe 80+
1/n
zuerst geimpft wird. In den Impfdaten (downloadbar von der AGES) gibt es eine Altersgruppe 75-84 und eine Gruppe >85. Man kann also die Zahl der Geimpften in der Gruppe >79 nicht eruieren und so nicht sehen, wie der Nationale Impfplan eingehalten wird.
2/n
Hier sind jedenfalls die Impfquoten, die man berechnen kann.
3/n, n=3 Image
Das ist der Anteil all derer, die mindestens eine Teilimpfung erhalten haben.
Hier noch eine andere Tabelle:
Wie wurden die verimpften Dosen in den Bundesländern auf die Altersgruppen verteilt (Zeilensumme immer 100%) Image

• • •

Missing some Tweet in this thread? You can try to force a refresh
 

Keep Current with Erich Neuwirth

Erich Neuwirth Profile picture

Stay in touch and get notified when new unrolls are available from this author!

Read all threads

This Thread may be Removed Anytime!

PDF

Twitter may remove this content at anytime! Save it as PDF for later use!

Try unrolling a thread yourself!

how to unroll video
  1. Follow @ThreadReaderApp to mention us!

  2. From a Twitter thread mention us with a keyword "unroll"
@threadreaderapp unroll

Practice here first or read more on our help page!

More from @neuwirthe

2 Mar
#COVID19 #COVID19at
Ih habe be mir die Impfquoten nach Altersgruppen angesehen. Image
Getrennt nach Bundesländern sieht das so aus: Image
Die Unterschiede für die einzelnen Altersgruppen zwischen den Bundesländern sieht man so: Image
Read 4 tweets
1 Mar
Problem: Am 2. Jänner 2021 wurde die Zählung der
Tests umgestellt.
Die Zahl der Tests vom 1.1. zum 2.1. ist um 88.935 niedriger. Es gibt noch keine korrigierten Zeitreihen
Deshalb werden in diesem Bericht jetzt eine Zeitlang die Testdaten nur bis 1. Jänner dargestellt.
Ich verwende bei den internationalen Vergleichen für Österreich Daten aus einer anderen Quelle als bei den nationalen Darstellungen. Deswegen kann es zu etwas unterschiedlichen Werten kommen.
#COVID19 #COVID19at
Bitte Blog auf
covidanalysen.at
lesen, dort finden Sie mehr Information als in den Tweets!
2021-03-01
Inzidenzen Image
Read 36 tweets
28 Feb
Problem: Am 2. Jänner 2021 wurde die Zählung der
Tests umgestellt.
Die Zahl der Tests vom 1.1. zum 2.1. ist um 88.935 niedriger. Es gibt noch keine korrigierten Zeitreihen
Deshalb werden in diesem Bericht jetzt eine Zeitlang die Testdaten nur bis 1. Jänner dargestellt.
Ich verwende bei den internationalen Vergleichen für Österreich Daten aus einer anderen Quelle als bei den nationalen Darstellungen. Deswegen kann es zu etwas unterschiedlichen Werten kommen.
#COVID19 #COVID19at
Bitte Blog auf
covidanalysen.at
lesen, dort finden Sie mehr Information als in den Tweets!
2021-02-28
Inzidenzen Image
Read 36 tweets
28 Feb
Von gestern, Samstag 27. Februar 8:00, bis heute, Sonntag 28. Februar 8:00, gab es 2313 neuregistrierte positive Fälle. Die Vergleichszahl von gestern war 2389, die Vergleichszahl von vorigem Sonntag 1596.
Die 7-Tage-Inzidenz pro 100.000 Einwohner beträgt damit 160, (gestern 152 und vor einer Woche 134).
Read 4 tweets
27 Feb
Problem: Am 2. Jänner 2021 wurde die Zählung der
Tests umgestellt.
Die Zahl der Tests vom 1.1. zum 2.1. ist um 88.935 niedriger. Es gibt noch keine korrigierten Zeitreihen
Deshalb werden in diesem Bericht jetzt eine Zeitlang die Testdaten nur bis 1. Jänner dargestellt.
Ich verwende bei den internationalen Vergleichen für Österreich Daten aus einer anderen Quelle als bei den nationalen Darstellungen. Deswegen kann es zu etwas unterschiedlichen Werten kommen.
#COVID19 #COVID19at
Bitte Blog auf
covidanalysen.at
lesen, dort finden Sie mehr Information als in den Tweets!
2021-02-27
Inzidenzen Image
Read 34 tweets
17 Feb
Problem: Am 2. Jänner 2021 wurde die Zählung der
Tests umgestellt.
Die Zahl der Tests vom 1.1. zum 2.1. ist um 88.935 niedriger. Es gibt noch keine korrigierten Zeitreihen
Deshalb werden in diesem Bericht jetzt eine Zeitlang die Testdaten nur bis 1. Jänner dargestellt.
Ich verwende bei den internationalen Vergleichen für Österreich Daten aus einer anderen Quelle als bei den nationalen Darstellungen. Deswegen kann es zu etwas unterschiedlichen Werten kommen.
#COVID19 #COVID19at
Bitte Blog auf
covidanalysen.at
lesen, dort finden Sie mehr Information als in den Tweets!
2021-02-17
Inzidenzen
Read 34 tweets

Did Thread Reader help you today?

Support us! We are indie developers!


This site is made by just two indie developers on a laptop doing marketing, support and development! Read more about the story.

Become a Premium Member ($3/month or $30/year) and get exclusive features!

Become Premium

Too expensive? Make a small donation by buying us coffee ($5) or help with server cost ($10)

Donate via Paypal Become our Patreon

Thank you for your support!

Follow Us on Twitter!