Parece que sí tenéis ganas, así que toda la gente que votó "sí" en la encuesta tiene que interactuar con este #JuevesDePsicoHilos (un sábado)!!!!

Hoy hablamos de:

🦾🏋️‍♂️MOTIVACIÓN INTRÍNSECA:
Hace tiempo que tenía ganas de hacer este hilo, y unas semanas atrás me lo recordó una seguidora por MD de Instagram (recuerdo que debéis seguirnos allí para vernos la carita: instagram.com/waldendos_/)

¡Vamos a ver qué ponía el post que nos enlazaba en el MD!
El post realmente era típico post acientífico diciendo que los "premios" no son buenos porque favorece que los niños no hagan las cosas porque les gustan sino para lograr algo ajeno a la tarea.

Y proponen alternativas y ese rollo:
No voy a entrar en esto pq ya hice un hilo al respecto, en donde aclaraba los classic errores en los que cae esta peña

Pero spoiler:

Decir "aprobaste tu examen, estudiaste y te esforzaste mucho para conseguirlo" también es un "premio" (reforzamiento)!!

Lo importante sobre este post para este hilo son las 2 imágenes del mismo que aún no he puesto

Vinculan los "PREMIOS" a la MOTIVACIÓN EXTRÍNSECA, rollo: ¡ahora el niño solo hará cosas cuando obtenga algo y si mañana no le das 100E no va a estudiar!

Bueno, a ver. Varias cosas:
1. No deis 100 euros a los niños por aprobar un puto examen. Que sé que no lo hacéis pero por siaca me veo en la obligación de decíroslo. Os va a salir más caro meteros farlopa cada finde en la espalda de CR7 que lograr que vuestro hijo acabe la ESO, no me jodas.
2. No os metáis farla, los consultores de las Big Four que lo consumen no se parecen tanto a los de la izquierda como a los de la derecha
3. Que los "premios" externos a la propia tarea (como el dinero o los dulces o cualquier otra cosa tangible) sean perjudiciales a largo plazo es un MITO ya contrastado.

Mostramos papers al respecto:
**Antes hay que decir que hay papers que dicen que esto es así, que los reforzadores tangibles caca. P.ej., Martin y Pear (2008) mencionan 2:

1- Deci, Koestner y Ryan (1999)
2- Kohn (1993)

Este segundo llega a decir que no deberían darse NUNCA, radicalismo anti-R+ a fuego🔥
Por ejemplo, Flora y Flora (1999) vieron cómo un programa de Pizza Hut basado simplemente en dar pizzas a quienes leyeran más:

1- Incrementaba mucho el número de alumnos que leían
2- No tenía efectos negativos ni en su disfrute ni en su aprendizaje (intrínseco) de la actividad
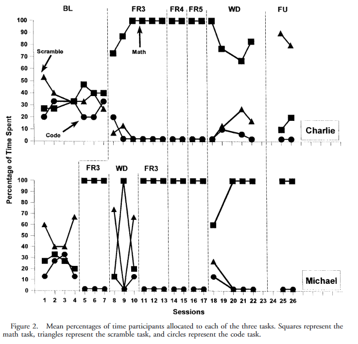
Otro ej. es Mcginnis et al. (1999), en donde a 2 chavales se les presentaban una serie de tareas de 3 tipos pero solo se les reforzaba (extrínsicamente) las de mates:

¿Cuáles hacían más? Pista: los cuadrados muestran las tareas de mates.

¿Dejaban de hacerlo a largo plazo?
4. ¿Qué diferencia hay entre la motivación extrínseca y la intrínseca?

Vamos a ejemplificarlo con una serie ultramegaconocida (y mi fav, así de mainstream soy):
Creo que no vais a comeros grandes spoilers, podéis seguir leyendo. Es decir, ¿quién cojones no sabe qué pasa en la serie? No hablaré de quién muere, I swear
Walter White, WW, es un profe de física de insti de lo más normal del mundo al que le detectan cáncer.

En España eso es una putada, en EEUU es un drama x 1000. Cosas de la sanidad privada: o pagas o mueres. Walter quería pagar pero igual no tenía tanto money
Así que se junta a Jesse Pinkman, un chavalito que ha coqueteado con lo de ser un dealer de meta en el barrio, y deciden ponerse a cocinar un cristal cojonudísimo, el más puro de la zona.

La zona es Nuevo México, donde otra cosa no pero droga hay
El motivo de Walter White para cocinar cristal no podía ser más EXTRÍNSECO: no había tenido contacto con las drogas nunca hasta entonces, al menos a este nivel.

No le molaba, era un friki algo naíf. Solo quería pasta para pagar su tratamiento
Pero lo que ocurrió a continuación te sorprenderá:

Las temporadas van pasando y ese profe ingenuo de física se convierte en el putísimo narco más importante y con la mejor droga de Nuevo México, llegando a crearse un álter ego: Heisenberg.
Lo que al principio hacía con dudas, miedo y reparo pasa a ser una actividad que perfecciona, aumenta e incluso le llena. Como dicen Los Chikos del Maíz:

"Un referente es Walter White, antisistema:
No es por la pasta, es por el ego y hacerlo brillante"
(un narco nunca es un referente ni antisistema, niños: segunda advertencia sobre que no os acerquéis a las drogas; y si lo hacéis al menos no la fabriquéis vosotros a gran escala en una autocaravana en el desierto de Alburquerque)
Todo esto llega al punto de que la "motivación extrínseca" que le "llevaba a" cocinar meta, dejar un colchón económico a su familia, pasa a segundo plano, distanciándose de su familia.

Y es cuando llega la mítica frase:
"I am not in danger Skyler, I am THE DANGER"
Esto, q puede parecernos una exageración ficticia, ocurre constantemente

¿O qué pensáis que ocurre con los consultores ultraexplotados que trabajan de 9am a 2am (eso lo he visto yo) por pasta y siguen hablando de la empresa como si fuera suya?

Recordemos a @Pantomima_Full:
Ahora pensad en algo que os mole algo, algo por lo que tengáis MOTIVACIÓN INTRÍNSECA, que no haga falta que os "premien" para que lo hagáis:
Os ayudo con ejemplos míos:

- Escuchar música
- Tomar cervezas con amigos
- Jugar al baloncesto

No os he dicho ya que soy de gustos EXTREMADAMENTE MAINSTREAMS???

Lo que sufro x poner bios originales en Tinder, la virgen
Pero, realmente es INTRÍNSECO???? Realmente hay algo DENTRO DE MÍ que me incita de forma inevitable a QUERER JUGAR AL BALONCESTO????
Si cada vez que tirara a canasta el balón no entrara, seguiría teniendo MOTIVACIÓN para seguir bajando a las canchas a jugar??

O si cada vez que dijera de bajar a mis amigos ninguno quisiera, seguiría MOTIVADO para bajar??

O si ya no fuera "guay" sino de frikis el basket?
Por qué no bajo a tomar cerveza solo por Madrid si tanto me gusta???

O por qué no bajo con extraños, si es porque no me gusta hacerlo solo??

O por qué no bajaría con mis amigos si estos empezaran a reírse de mí cada vez que quedamos??
Podría seguir así eternamente, pero la cuestión será la misma:

Ambas, la motivación "EXTRÍNSECA" y la "INTRÍNSECA", están controladas por cosas que ocurren fuera de nosotros y no surgen de nuestras vísceras.
Cuando a una niña le decimos "mira cómo pusiste todas las piezas del rompecabezas tú solita" estamos CONTROLANDO DESDE FUERA la conducta de la niña.

¡La niña no hace porque le salga de dentro, sino porque le mola que le halaguen!!!!
El Heisenberg que cocinaba a la izquierda al comienzo de la serie porque necesitaba pasta para cubrir su enfermedad (mot. extrínseca) hacía las mismas conductas que cuando lo hacía "porque le atraía" (mot. intrínseca)

¿O ves alguna diferencia importante entre ambas imágenes?
Como dicen De Pascual, Gálvez, Serrador, Gyran y Froxán (2020):

La única diferencia entre ambos Walters es que, cuando lo hace "por motiv. intrínseca", lo que decimos es que "el refozador para el comportamiento (cocinar) no es público o no resulta evidente" (como si lo es el 💰)
POR ÚLTIMO:

Si queréis un hilo en exclusiva sobre MOTIVACIÓN (en general), que también tiene su cosita controvertida, y por qué en este tweet puse que la motivación "lleva a" hacer algo ENTRE COMILLAS,

Lo haremos si este tweet llega a 20 FAVs ❤️‍🔥

¡Ah, sí! Falta la bibliografía:

- Martin, G., y Pear, J. (2008). Modificación de Conducta. Qué es y cómo aplicarla

- Flora, S.R., y Flora, D.B. (1999). Effects of extrinsic reinforcement for reading during childhood on reported reading habits of college students
- Mcginnis, J.C., Friman, P.C., y Carlyon, W.D. (1999). The effect of token rewards on «intrinsic» motivation for doing math

- De Pascual et al. (2020). Análisis funcional de términos psicológicos. En M.X. Froxán, Análisis funcional de la conducta humana

• • •

Missing some Tweet in this thread? You can try to force a refresh
 

Keep Current with Walden Dos

Walden Dos Profile picture

Stay in touch and get notified when new unrolls are available from this author!

Read all threads

This Thread may be Removed Anytime!

PDF

Twitter may remove this content at anytime! Save it as PDF for later use!

Try unrolling a thread yourself!

how to unroll video
  1. Follow @ThreadReaderApp to mention us!

  2. From a Twitter thread mention us with a keyword "unroll"
@threadreaderapp unroll

Practice here first or read more on our help page!

More from @WaldenDos_

11 Sep
A todo esto, sabemos que ayer fue el Día Mundial para la Prevención del Suicidio pero consideramos que no teníamos nada nuevo que aportar, por eso no pusimos nada.

Pero sí querría apelar a todo aquel que no ha tenido nunca pensamientos suicidas, a quienes lo viven desde fuera:
Que sepáis todas aquellas que os sentís mal que solas nunca estáis. Y recordad quienes sí tenéis fuerza que tenemos la obligación de cuidarnos los unos a los otros.
No debemos sentirnos nunca un lastre para nadie, menos aún para quienes consideramos importantes. La psicología es importantísima pero son las redes de ayuda mutua las que nos salvan del infierno.

Sed un lugar de paz para quien siente que vive en constante guerra.
Read 7 tweets
2 Sep
Niña, QUE VUELVE WALDEN DOS ❗️❗️

¿Te suena esto?:

1- 🧔Persona asquerosa tuitea cosa asquerosa
2- 😡😠Personas no asquerosas se pican
3- 🤬🤳Personas no asquerosas queman el 🔁del tuit asqueroso quejándose

¿Que dice la PSICOLOGÍA sobre ello y sobre lo que deberíamos hacer?????
Bueno, por motivos obvios no voy a poner ejemplos, pero seguro que a cada cual se le ocurren los suyos propios.

Antes de empezar con la psicología, voy a poner 2 opiniones muy interesantes al respective:

La primera, de @nolesdescasito
La segunda, este tiktok tan cachondo:
Read 39 tweets
1 Apr
Esta semana os preguntamos si queríais un #JuevesDePsicoHilos sobre la Educación Especial y la Ley Celaá.

Y, bueno, creo que la respuesta no da lugar a dudas: Queréis ssssshade psicoeducativo duro. Pues Walden Dos no defrauda. Dale 👇

🇪🇸🌎 Bueno, para quienes nos leáis desde España sabréis de qué va la vaina.

Para quienes no, rapidito:
1. Nueva Ley Educativa en España. Gobierno Progresista
2. Reacción de la oposición: La peor ley educativa de la historia. ¡Quieren eliminar la Educación Especial!
3. Gobierno: Mentira
4. Oposición: Verdad
5. Etc.

Seguro que os suena, nos leáis desde México, Argentina o Kamchatka
Read 52 tweets
18 Mar
En los #juevesdepsicohilos de hoy os traemos un temita muy candente…

🗣️🦈LA PSICOLOGÍA DE LA MENTALIDAD DE TIBURÓN 🦈🗣️
Antes de na. Es difícil hablar de la mentalidad de tiburón si no sabemos exactamente qué es...

Pues bien, la mentalidad de tiburón hace referencia a una serie de pensamientos relacionados con la cultura del esfuerzo, la meritocracia y la libertad individual.
Un “si quieres puedes” de toda la vida, vaya.
Read 36 tweets
17 Mar
¿Cómo de miserable se puede ser para usar la Salud Mental como objeto de BURLA mientras se habla de SUICIDIOS?

Os dejamos algunos hilos nuestros (y datos fríos) debajo de este tweet sobre el ESTIGMA de la salud mental

No podemos seguir consintiendo esto:
Aquí hablamos sobre DIAGNÓSTICOS FAKE:

Usar tu posición de psicóloga/psiquiatra para decir que has diagnosticado un trastorno a otra persona, aunque es imposible hacerlo en una charla, para deslegitimarla

Aunque fuera real, UN TRASTORNO NO DESLEGITIMA

¿Os imagináis la cara de quien tenga un diagnóstico psicológico y vea que intentan decirle que no puede ser por ello, no sé, Presidente?

Aquí hablamos de ello: DIAGNÓSTICO FAKE A PEDRO SÁNCHEZ

La ultraderecha usa mucho este estigma, como vemos:

Read 11 tweets
25 Feb
Por qué las personas que llevan 20 años juntos deciden mantener una relación de pareja infeliz⁉️

Por qué no puedes quitar esa película que lleva aburriéndote una hora? ⁉️

🥸En el #juevesdepsicohilos te contamos el por qué ⬇️⬇️
Ambas respuestas tienen una respuesta muy parecida: por el puto efecto de costo hundido.

Este efecto se manifiesta en una mayor tendencia a continuar un esfuerzo una vez que se haya realizado una inversión en dinero, esfuerzo o tiempo.
Esto se considera un comportamiento irracional (de hecho, también se conoce como Falacia del costo irrecuperable). Solo los costos y beneficios futuros, no los costos pasados, deberían influir en la toma de decisiones porque las inversiones pasadas no se pueden deshacer
Read 21 tweets

Did Thread Reader help you today?

Support us! We are indie developers!


This site is made by just two indie developers on a laptop doing marketing, support and development! Read more about the story.

Become a Premium Member ($3/month or $30/year) and get exclusive features!

Become Premium

Too expensive? Make a small donation by buying us coffee ($5) or help with server cost ($10)

Donate via Paypal Become our Patreon

Thank you for your support!

Follow Us on Twitter!

:(