Tara Kiran Profile picture
Jan 24 30 tweets 14 min read
*NEW* Our latest study @AnnFamMed @RickGlazier1 shows that team-based primary care, coupled with payment reform, can improve patient outcomes & reduce ED use

annfammed.org/content/20/1/24

We desperately need to expand team-based primary care in Canada

(a mega 🧵)
#Primarycare is the foundation of a high-performing health system. Yet, primary care has been in crisis for the last 2 decades—challenged by an outdated payment model, growing patient need, rapidly growing evidence, and dysfunctional electronic medical record systems
Sharing the care with an interprofessional team has been seen for some time as an antidote to this crisis

Pharmacists, social workers, nurses and others can provide additional expertise and support to patients, particularly those with chronic mental and physical health issues
It's not surprising that interprofessional teams are seen as one of the 10 building blocks of high-performing primary care annfammed.org/content/12/2/1…

and a key pillar of a patient's medical home @FamPhysCan patientsmedicalhome.ca
Many jurisdictions have introduced team-based care in some form but few to none have scaled these for the full population

Why? Many policy makers seem worried about return on investment

That's where our research comes in
In Ontario, Community Health Centres have offered team-based care for decades but clinically serve <1% of the population

In 2005, Ontario introduced Family Health Teams, a new model of team-based care (and the one we studied)
Doctors could apply to become part of Family Health Teams if they were already in one of Ontario's enrolment models where MDs were paid by capitation (that means instead of getting paid by the visit, they were paid a set fee per patient per year based on patient age and sex)
As part of a Family Health Team, the government would provide funding for other professionals to work alongside doctors. These could be nurses, nurse practitioners, social workers, pharmacists, dietitians and others
By 2011, ~20% of Ontarians received care as part of a Family Health Team (that number hasn't changed much)
Family Health Teams were popular among doctors and their patients. But did they improve health outcomes or related costs?

Our current study looks to see what the impact of Family Health Teams were on patients using the emergency department (ED)
Our study compared patients of MDs who transitioned to a Family Health Team (FHT) with patients of doctors who transitioned to a similar model (the Family Health Organization, FHO). In both cases, payment was by capitation but the FHT included access to an interprofessional team
We included data for 2,524,124 Ontarians and included outcome data (ie data on ED visit rate) from 2003 to 2017.

Patients' physicians transitioned to one of the new models sometime between 2006 and 2013 with most doing so before 2010
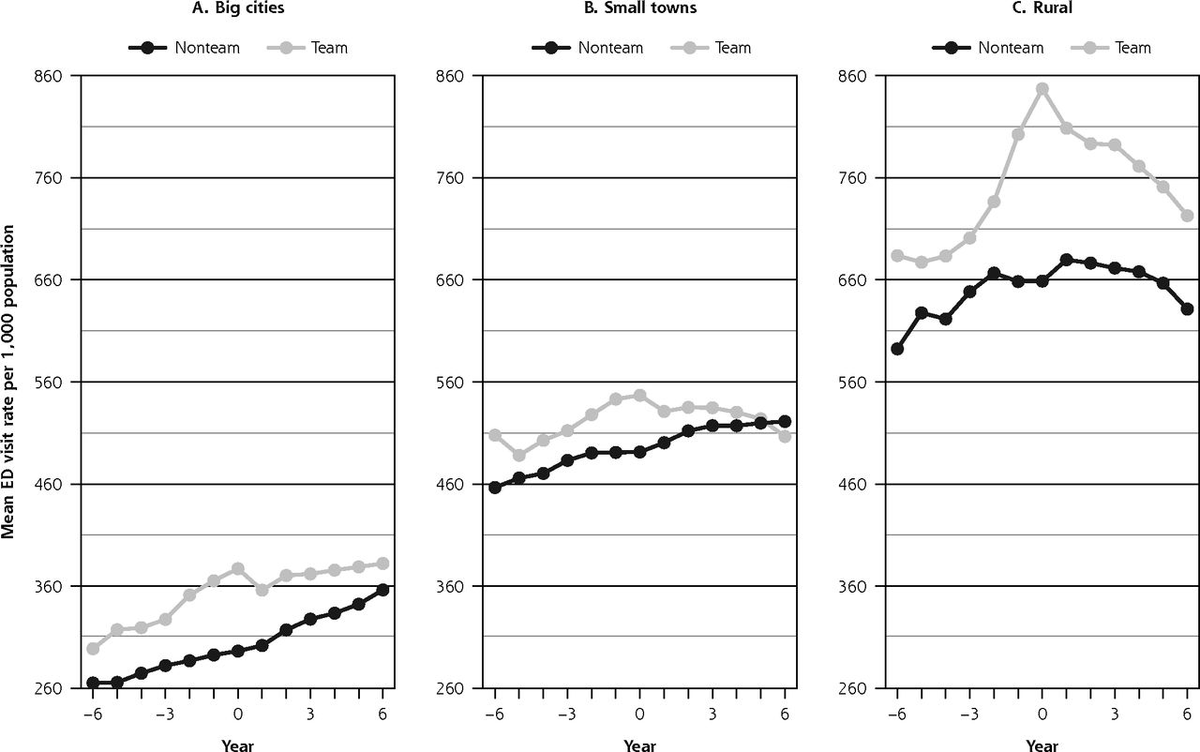
We looked to see how the ED visit rate changed for each group after transition to the new model. We looked separately at urban areas, small towns, and rural areas.

This graph shows the raw data with the year of transition set at zero. (FHT/team= grey, FHO/non-team = black)
We then adjusted the ED rate by age, sex, income quintile and other patient factors so that we could try and isolate the affect of the transition to FHT/FHO

Here is that same graph showing the adjusted data
The graphs show that, in both groups, ED visits increased over time.

Patients in FHTs had higher ED visit rates before transition. But this increase in ED visits seems to have been blunted when they transitioned to the FHT
Our statistical calculations showed that, in big cities, the ED visit rate increased by 2.4% (95% CI, 2.2% to 2.6%) per year for the team group and 5.2% (95% CI, 5.1% to 5.3%) per year for the non-team group in the years after transition (P <.001)
These findings held true even after we analyzed things using a different method (matching the FHO and FHT patients we were comparing based on their characteristics instead of adjusting for differences in characteristics using a regression model)
So what does this mean?

In short, we found that patients whose physicians joined a practice model combining capitation and team-based care had a slower increase in ED use compared with those whose physicians joined a capitation model without a team
Our research can't tell you why but we have some hypotheses.

For one, the relative decrease in ED visits may relate to better chronic condition management. For example, people with better managed diabetes are less likely to need to go to hospital
In fact, our previous work @CMAJ demonstrated that patients with diabetes who were part of Family Health Teams were more likely to see improvements in their diabetes care over time and more likely to get recommended testing

cmaj.ca/content/187/17…
Another reason may relate to timely access. In particular, previous work we've done @CMAJ_Open has shown that patients of FHTs are more aware of their clinics after-hours clinics

cmajopen.ca/content/8/2/E3…
It's an open question as to what team composition and roles are most likely to result in positive patient outcomes and decreased healthcare use

Tom Bodenheimer has written extensively on the topic including in this great @JAMAInternalMed pubmed.ncbi.nlm.nih.gov/30476958/
What our research—and the research of many others—makes clear is that team-based care adds value for patients and when done right, can reduce other types of health system use

But unfortunately the expansion of team-based care has stalled in Ontario
There have been no new Family Health Teams in Ontario since 2012

@kellygrant1 wrote about this 7 years ago!

The government's decision was ostensibly related to concerns about cost and return on investment

I hope our research helps counter this concern

theglobeandmail.com/life/health-an…
Evidence is one input into the decision but values are another

Right now, our system in inherently unfair with some patients having free access to social work and other services while others don't

And sadly this distribution of resources is not rational
In other research, @RickGlazier1 @ICESOntario has shown there is a 10-fold variation in availability of team-based care in regions across Ontario with no correspondence between availability and health care need
It's time to right this inequity and expand team-based care to all Ontarians—or at least ensure that resources are preferentially allocated to people with higher health-care need
As I've written about @HealthyDebate, I feel pretty lucky to practice in an amazing team healthydebate.ca/2015/10/about-…

Other doctors desperately want to practice in a team environment but there are no options open to them
I hope for a future where all Canadians have access to team-based care and all family doctors can choose to practice in a team model

There is a growing body of research that teams in primary care make sense for patients and physicians

It's also simply the fair way forward

• • •

Missing some Tweet in this thread? You can try to force a refresh
 

Keep Current with Tara Kiran

Tara Kiran Profile picture

Stay in touch and get notified when new unrolls are available from this author!

Read all threads

This Thread may be Removed Anytime!

PDF

Twitter may remove this content at anytime! Save it as PDF for later use!

Try unrolling a thread yourself!

how to unroll video
  1. Follow @ThreadReaderApp to mention us!

  2. From a Twitter thread mention us with a keyword "unroll"
@threadreaderapp unroll

Practice here first or read more on our help page!

More from @tara_kiran

Jan 22
Thanks to the 1000's of people who have powered our 3rd dose effort. We've made amazing progress in a short time—and still have further to go.

A thread on why 3+ doses continues to be important and where we need to focus 🧵 Image
We now have more real world data showing that 3 doses is better than 2 at preventing infection and serious illness with Omicron

These two slides were shared by Dr. Allison McGeer and summarize data on infection and hospitalization with 3 v 2 doses in the UK ImageImage
Older adults are most at risk of COVID complications and thankfully we've done a pretty good job at getting vaccines to those 70+

But some regions are lagging behind. What can we learn from regions where vaccination rates are higher? Image
Read 10 tweets
Jan 13
Are you confused about #COVID?

How do you know when you have it?
Who can get a test?
When to use a RAT?
When to call a doctor?

You're not alone.

We @UofTFamilyMed @OntarioCollege have pulled together answers to common COVID Q's
dfcm.utoronto.ca/confused-about…

Here's a rundown 🧵
1. How do you know you have COVID?

Bottom line: If you have symptoms, assume you have COVID

(Most people don't qualify for a PCR test)

dfcm.utoronto.ca/sites/default/…
2. When should I call my doctor?

i) if you have a pre-existing condition that needs attention
ii) if you might quality for treatment (e.g. very weak immune system, over 60, over 50 + certain medical conditions)
iii) you really are not feeling well!

dfcm.utoronto.ca/sites/default/…
Read 12 tweets
Jan 12
I've been thinking a lot about the patients in my practice who still say no to the COVID vaccine

They are not anti-vaxxers

Most have difficult lives—newcomers, BIPOC, histories of homelessness, trauma, poverty

They (reasonably) mistrust gov't & are victims of misinformation
We should certainly not be taxing these individuals or denying them healthcare

That goes against the principle of healthcare based on need as @picardonhealth @globeandmail so eloquently puts

theglobeandmail.com/canada/article…
I understand why there is anger directed at those who have still chosen not to be vaccinated

I suggest turning that anger constructively towards regulating the amplification of misinformation by social media platforms
Read 4 tweets
Nov 16, 2021
I know some parents are reasonably worried about the risk of myocarditis following COVID-19 vaccination for children 5 to 11

Here's what we know about the risk and why experts think it will be much LOWER in this age group than with teens/adults 🧵
First, it seems that kids have a lower predisposition for myocarditis and pericarditis.

Ontario data show the natural incidence of myocarditis and pericarditis (pre-COVID) was much lower for those <12

(data courtesy @DrJeffKwong via Dr. Upton Allen)
Second, experts believe the risk of myocarditis is dose-related. That's one of the explanations for why we saw higher rates for the Moderna vaccine compared to the Pfizer vaccine

The kids covid vaccine dose is 1/3 that of the teen/adult dose which hopefully means less risk
Read 8 tweets
Sep 30, 2021
Like many parents, I'm struggling to understand why the Ontario government is so strongly against using rapid testing to prevent the spread of #covid in schools.

THREAD 🧵
Is it because the tests are in low supply or too expensive to purchase?

No. My understanding is the feds are purchasing and distributing the rapid tests to provinces
Is it because we don't have the person-power to package/distribute the kits and interpret/action the results?

No. Even if PHUs are stretched, it seems like there are many eager community volunteers
Read 10 tweets
Sep 29, 2021
Let’s prevent a junior-edition of the vaccine “hunger games”

Instead, let take a schools-based approach so every child age 5-11 has a chance at getting the #covidvaccine once approved

New oped @TorontoStar from @SabiVM @NoahIvers and I

thestar.com/opinion/contri… via @torontostar
A schools-based approach would be most EFFECTIVE

Studies estimate that uptake of the HPV vaccine was almost 4 times higher in school-based programs compared to community-based ones

ncbi.nlm.nih.gov/pmc/articles/P…
A schools-based approach is EFFICIENT

No wasted time booking and travelling to appointments. We are bringing vaccines to where kids are already congregating
Read 8 tweets

Did Thread Reader help you today?

Support us! We are indie developers!


This site is made by just two indie developers on a laptop doing marketing, support and development! Read more about the story.

Become a Premium Member ($3/month or $30/year) and get exclusive features!

Become Premium

Too expensive? Make a small donation by buying us coffee ($5) or help with server cost ($10)

Donate via Paypal

Or Donate anonymously using crypto!

Ethereum

0xfe58350B80634f60Fa6Dc149a72b4DFbc17D341E copy

Bitcoin

3ATGMxNzCUFzxpMCHL5sWSt4DVtS8UqXpi copy

Thank you for your support!

Follow Us on Twitter!

:(