Diuretic management in decompensated heart failure has been stagnant for years but recently we have some new tools to help us out.

Let's review the Rise of the Proximal Tubule Inhibitors in preparation for the #nephjc discussion on ADVOR tonight.

#MedTwitter @MedTweetorials
First, it's important to recognize how crucial adequate decongestion is.

👇study: pubmed.ncbi.nlm.nih.gov/29544928/ which assessed pts in the PROTECT trial showed lack of decongestion was a predictor of mortality and HF re-hospitalization

Another one by Metra: pubmed.ncbi.nlm.nih.gov/22167320/
Only a minority of patients in the DOSE trial, which used high dose diuretics were free from congestion at 72 hours

nejm.org/doi/full/10.10…
To gauge success we need a target. Traditional parameters like weights and Is/Os may not be appropriate.

There was no correlation seen among these parameters and outcomes when looking at participants in DOSE, ESCAPE and Penn trials

👉pubmed.ncbi.nlm.nih.gov/25595470/
What has been shown is that net negative sodium balance matters, A LOT. An assessment of participants in ROSE with 24h urine collections, net negative Na balance was associated with improved 6 mo survival. Net fluid balance and weight loss were not.

👉pubmed.ncbi.nlm.nih.gov/31047017/
This prospective study of 110 pts showed if spot UNa didn't ⬆️ post furosemide = sig higher mortality as well as higher NGAL and KIM-1. Shows the importance of following spot UNa levels in response to diuretics - as well as "door to decongestion time"

onlinelibrary.wiley.com/doi/full/10.10…
A number of studies have now looked at spot UNa values to assess natriuresis and this has been part of our practice @UWNephrology for the past 2 years.

A clinical trial looking at the utility of UNa to guide decongestion is currently recruiting.

clinicaltrials.gov/ct2/show/NCT05…
Ok on to proximal tubule inhibitors. We know that diuretic resistance is common and a major proposed mech is distal nephron hypertrophy with ⬆️ NCC channels. Adding thiazide diuretics is common and makes physiologic sense but data is lacking outside of CARRESS.
💡majority of Na reab. in the prox tubule (up to 85%). Makes sense to🛑this, but efficacy limited by distal sites of reab.

Diamox = 1st non-mercurial diuretic but quickly forgotten after losing the war to loops (expected)

Nice thread by @ChristosArgyrop
Enter ADVOR, which is the largest diuretic RCT to date
🎆n=519 pts with ADHF + volume overload
🎆500mg IV diamox daily v placebo
🎆All pts received loop diuretics
🎆primary endpoint: successful decongestion @72 hours

Diamox=more natriuresis and 12% more pts dry after 72 hours
@ChristosArgyrop suggests some of the success may be due to diamox inhibiting pendrin (intercalated cells upregulated in HF)

Based on this paper: pubmed.ncbi.nlm.nih.gov/24260196/

Tho this paper suggests the mech may be thiazide sensitive: pubmed.ncbi.nlm.nih.gov/20389022/

What about the OTHER prox tubule inhibitors #flozins?

Esp. relevant in light of EMPULSE showing benefit in starting empa in-hospital pubmed.ncbi.nlm.nih.gov/35228754/

👇study showed ⬆️natriuresis and ⬇️blood volume without NH activation when flozins added to loops
pubmed.ncbi.nlm.nih.gov/32410463/
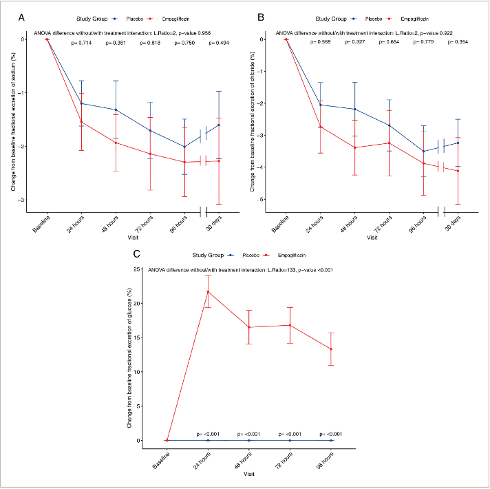
Earlier this year EMPAG-HF was published
🎆single center placebo controlled trial
🎆randomized pts with ADHF to empa 25 or placebo w/in 12 hours
🎆All pts got loops
🎆Endpoint: UOP over 5d
Result: 25% ⬆️UOP and ⬆️diuretic efficiency

pubmed.ncbi.nlm.nih.gov/35766022/
This may make physiologic sense since it appears Angiotensin II upregulates SGLT2 channels, which is very relevant in patients with heart failure

pubmed.ncbi.nlm.nih.gov/31375080/
Problem: Unclear if ⬆️UOP from natriuresis or osmotic diuresis. As opposed to the☝️ 2019 study, this showed empa = glycosuria w/out natriuresis
pubmed.ncbi.nlm.nih.gov/33251643/

Likely d/t distal Na reabsorption, whereas not poss. w/ glu. I wonder if this would be better with loops+thiaz
Conclusions:
🔥We are in the era of proximal tubule inhibitors
🔥I want to see diamox and flozins tested in diuretic resistance
🔥Would be nice to compare diamox v flozins
🔥I'm also interested in diamox + flozins given distinct mech

In the meantime tune in to #nephjc tonight!

• • •

Missing some Tweet in this thread? You can try to force a refresh
 

Keep Current with Nayan Arora, MD

Nayan Arora, MD Profile picture

Stay in touch and get notified when new unrolls are available from this author!

Read all threads

This Thread may be Removed Anytime!

PDF

Twitter may remove this content at anytime! Save it as PDF for later use!

Try unrolling a thread yourself!

how to unroll video
  1. Follow @ThreadReaderApp to mention us!

  2. From a Twitter thread mention us with a keyword "unroll"
@threadreaderapp unroll

Practice here first or read more on our help page!

More from @captainchloride

Jun 17
Great case of hypokalemia presented by chief fellow @Laurenaring yesterday.

60 y/o woman with a h/o nasopharyngeal cancer, nephrology consulted for hypokalemia.

Sk 2.5, bicarb 30, normal kidney function. No diuretic use, denies vomiting or diarrhea. #nephtwitter #medtwitter
She was on pembrolizumab, which is a/w tubulointerstitial disease and subsequent hypokalemia d/t an RTA, however this was just started 5 days ago and her urine was bland.

Next step? As Nephrologists we want to know urine composition. In this case I would want a Uk, UCr and UCl
Spot values are sufficient and hers were Uk 43, UCr 18 and UCl 50

If you live in the US then you have to deal with unit conversions: discussed here pbfluids.com/tag/potassium/

Her Uk/Ucr ratio was 27 (>2.5 is c/w renal K wasting)
Read 9 tweets
Apr 29
Should you give albumin with loop diuretics to augment diuresis?

I've been asked this three different times today so a quick🧵of my thoughts

#nephtwitter #MedTwitter @MedTweetorials
First, edema formation. Starting with Starling's forces that govern fluid exchange between the plasma and interstitial space

Net filtration=LpS x [(Pcap-Pif)-s(Picap-Piif)]

(Pcap/Picap = hydrostatic pressure plasma/interstitium and Pif/Piif = oncotic pressure)
It would make sense that⬇️plasma oncotic pressure (Picap) with hypoalbuminemia would = fluid from plasma➡️interstitium.

HOWEVER what really matters is the oncotic gradient between plasma and interstitium (Picap-Piif)

With nephrotic syndrome (NS) Piif⬇️parallel to a⬇️in Picap
Read 17 tweets
Nov 2, 2021
Why are thiazides effective in augmenting natriuresis when added to loops?

We all know that exposure to loops➡️increase in NCC channels in the distal tubule

BUT there's more

Did you know that there's a mechanism for thiazide sensitive NaCl reabsorption in the collecting duct? ImageImage
Electroneutral NaCl absorption can also occur in the collecting duct through the parallel action of pendrin and NDCBE (Na-dependent Cl/HCO3 exchanger) which is upregulated by Ang II and mineralocorticoids (when Ang II present)
2 cycles of pendrin = 2HCO3- to the lumen for 2Cl-. 1 Cl- is recycled to NDCBE resulting in net reabsorption of 1 NaCl and 2 HCO3- (Cl- through CLCK2 and Na and HCO3- through AE4 in the basolateral membrane)

The whole mechanism appears to be thiazide sensitive Image
Read 4 tweets
May 18, 2021
How does increasing dietary potassium improve blood pressure?

I’ve heard this, even recommended it. But how does this really work? Grab some prunes and follow along this Tuesday morning tweetorial.

#Nephtwitter #cardstwitter @MedTweetorials
Let’s establish that potassium does appear to have an inverse relationship with BP

In a meta-analysis of 22 RCTs ⬆️ K+ intake⬇️BP by an average of 5.3/3.1 mmHg

💥greatest benefit seen in hypertensive patients who ⬆️potassium intake to 90-120mEq/d

👉pubmed.ncbi.nlm.nih.gov/23558164/
This study showed a ⬇️need for antihypertensives if dietary K+ was ⬆️
💥RCT 47 pts w/ htn
💥⬆️ K+ vs usual K+ diet
💥45% ⬆️ in dietary K+ in ⬆️ K+ group
🔥Hypertensive therapy ⬇️by at least 50% in 81% of intervention group v 29% in control group at 1 yr

👉pubmed.ncbi.nlm.nih.gov/1929022/
Read 15 tweets
Feb 10, 2021
How much salt is not enough?

The most common dietary rec made by physicians is sodium restriction

But to what extent?

Is an overly sodium restricted diet harmful? Especially in HF?

🔥Grab a salted pretzel and read on
#medtweetorials #nephtwitter #cardiotwitter #MedTwitter
What degree of sodium restriction to you recommend to your heart failure patients?
🔥🧂 is important

💥🧂 conservation during human evolution from sea to land was vital

In the book From Fish to Philosopher, Homer Smith wrote “The tenacious conservation of salt is one of the most primitive - if not the most primitive - of functions in the vertebrate kidney"
Read 17 tweets
Aug 24, 2020
When was the last time you were paged about a serum Cl- level? Probably never.

Despite being the most abundant anion in the body, Cl- is under appreciated

🔥Here’s why it matters (esp in heart failure!)

#tweetorial #medtwitter #nephtwitter #cardiotwitter #NSMC
There is evidence supporting the use of hypertonic saline in patients with decompensated heart failure

See excellent blog post by @aldorodrig
👉 renalfellow.org/2019/04/03/the…

Mechanistically it never made sense to me, until I realized I may be focusing on the wrong ion 🤷🏾‍♂️
Chloride MAY be the 🔑 here. Something that will hopefully be more clear after the completion of ongoing trials

👉🏾 clinicaltrials.gov/ct2/show/NCT03…

In heart failure patients ⬇️ Cl- is associated with

1. Poor Prognosis
2. Neurohumoral activation
3. Diuretic Resistance
Read 10 tweets

Did Thread Reader help you today?

Support us! We are indie developers!


This site is made by just two indie developers on a laptop doing marketing, support and development! Read more about the story.

Become a Premium Member ($3/month or $30/year) and get exclusive features!

Become Premium

Don't want to be a Premium member but still want to support us?

Make a small donation by buying us coffee ($5) or help with server cost ($10)

Donate via Paypal

Or Donate anonymously using crypto!

Ethereum

0xfe58350B80634f60Fa6Dc149a72b4DFbc17D341E copy

Bitcoin

3ATGMxNzCUFzxpMCHL5sWSt4DVtS8UqXpi copy

Thank you for your support!

Follow Us on Twitter!

:(