Jen Wright Profile picture
Mar 16 35 tweets 21 min read
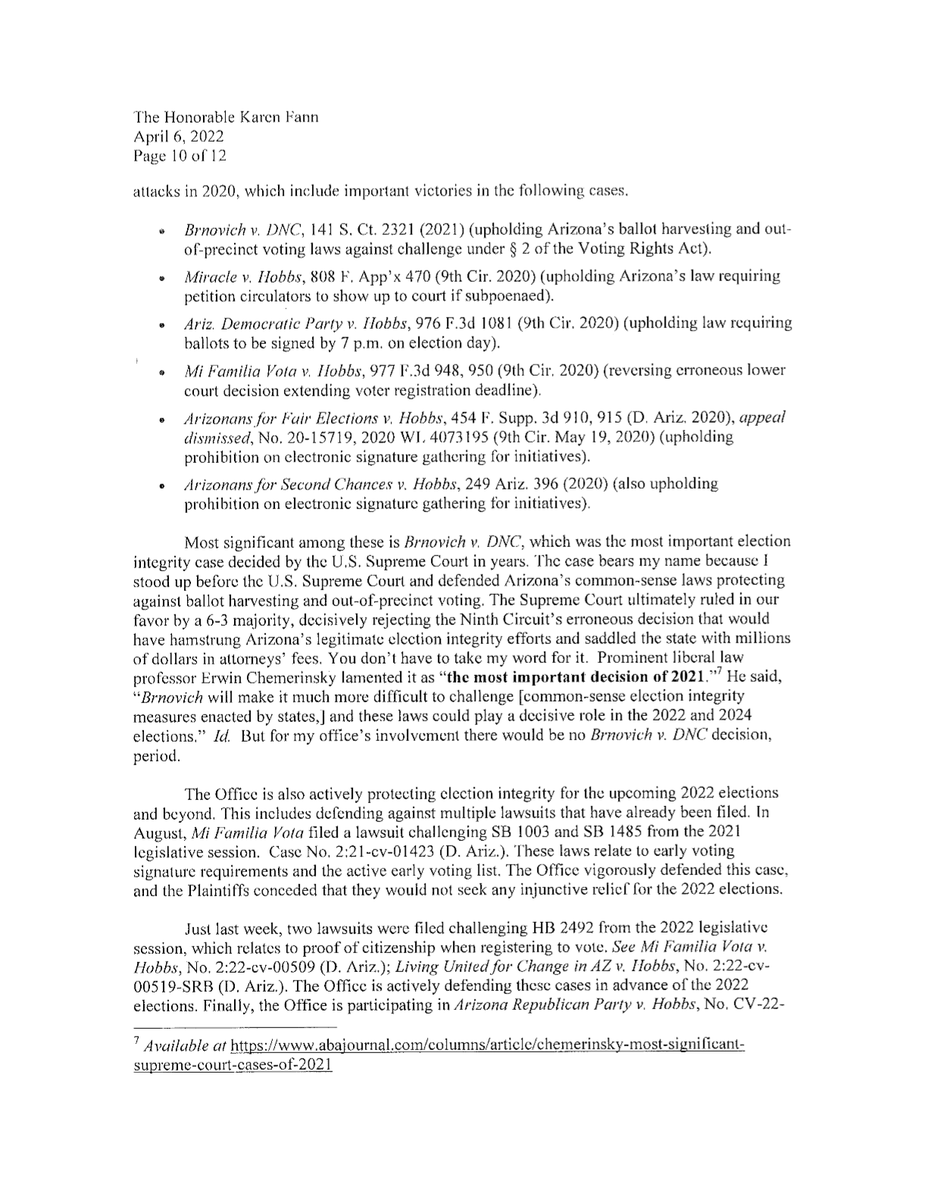
Earlier this week, I asked Justice Montgomery and the SCOAZ Ethics Task Force (azcourts.gov/cscommittees/E…) to address & consider potential ethical violations implicated by @krismayes releasing cherry-picked privileged materials from @GeneralBrnovich's administration. 👇 (a 🧵)
Although I wouldn't ordinarily "politicize" such a letter, upon reading that despite the questionable ethics of @krismayes releasing cultivated, privileged materials, she's decided not to "punish" @GeneralBrnovich, but instead defers to the Bar.🤨
2/
That's rich - "punish" Brno...

The letter to @FannKfann from @GeneralBrnovich reflected the both the civil & criminal investigations related to the Senate Audit.

However, @krismayes released a subset of cherry-picked communications from just the criminal division. 🤔
3/
Further, despite widespread claims that the letter issued by @GeneralBrnovich conflicted with the criminal division's findings, that's a complete and total misrepresentation of the released report.

Let's dig in.👇

4/
Part I of @GeneralBrnovich's FINAL letter to @FannKfann detailed with specificity Maricopa's obfuscation - from taking a litigious approach with the @AZSenateGOP to issues confronted by AGO & recommended legislation to give AGO CIVIL subpoena authority.
azag.gov/media/interest…
5/
Note, the widely circulated comments from an internal email that it was the "collective opinion [of criminal investigators]... that MCRO... was cooperative" were edits to an earlier version of the letter; one that did not detail CIVIL's experience.
azag.us5.list-manage.com/track/click?u=…
6/
As noted in the Fann letter, MC had just barely responded to the civil division's several requests for information:

MC 3/31/22 Resp
azag.gov/sites/default/…

AGO 9/27/21 1st Req (unpublished)

10/21/21 2nd Req azag.gov/sites/default/…

3/8/22 3rd Req
azag.gov/sites/default/…

7/
And, notwithstanding criminal's suggestion Maricopa was cooperative, criminal's report issued prior to the Fann letter had 7 allegations with a finding listed as "undetermined" "pending a date to review" county data & records. 🤨
azag.us5.list-manage.com/track/click?u=…
8/
Part II detailed @GeneralBrnovich's concerns regarding early ballot affidavit signature verification, informed by both the criminal & civil investigations; he concluded the legislature should make changes to Arizona law to clarify signature verification standards.
9/
This recommendation is consistent with criminal's report that signatures were on average reviewed in just 7.2 seconds per ballot, which is notably less than ~ 30 seconds Maricopa averred in Court in ~2018/<2018 that was necessary to conduct a sufficient review.
10/
But criminal made another finding that suggests HOW Maricopa reduced the review time by > 2/3.

According to criminal, Maricopa uses "OCR" to batch sigs into "Low or High Confidence groups" that provide verifiers visual queues, "white" for "high" "yellow" for "low".😳
11/
Until Mayes released the criminal report, I did not know CRM too had uncovered Maricopa's use of electronic sig verification systems, which was precisely the focus on my Fourth (unanswered) Request as well as a my 5/4/22 Letter to Richer (azag.gov/sites/default/…) 👇
12/
In fact, I detail my concerns over Maricopa's use of Runbeck's VerusPro unproven sig verification technology that demands Maricopa turn over not only voter registration files, but also copies of every voter's signature to a third-party vendor, here👇
13/
Part III raised concerns over Early Ballot Drop Boxes and violations of not only ballot transportation procedures, but also failure to maintain chain of custody, concluding that the Legislature should codify @EACgov COC standards.
(@KariLake - Part II might interest you)
14/
What's been ignored by all is that the criminal division report found that in 2020, Maricopa VIOLATED 5 provisions of the EPM.

According to A.R.S. 16-452(c), violating the EPM is a class 2 misdemeanor.😳🦗

Some might say the letter's legislative suggestions was going light.
15/
It's not for me to say what rises to the level of a prosecutable criminal offense (I'm a civil gal), but what infuriates me is the narrative that @GeneralBrnovich withheld evidence (he didn't) while he was objectively more than fair to Maricopa. 16/
In fact, I've made no secret that Maricopa failed to respond to my Fourth Request for Records or Information (due 5/23/22), yet MC continue to act like victims of some sort of malicious prosecution, when, if anything, it appears they may have been shielded from prosecution.
17/
Second half of the Fourth Request
18/
Part IV discusses 2020 "Zuckerbucks", which was made illegal in 2021. As the Auditor General's Report was released 3/30/22, it's not in the CRM report. There are no publicly released documents regarding @GeneralBrnovich's "serious concerns" regarding certain expenditures.
19/
Parts V, VI, VII, & VIII are generalized election integrity issues, including civil work; nothing in criminal's report discusses these issues (again, the letter to @FannKfann was @GeneralBrnovich's conclusions informed by both Criminal & Civil divisions of the EIU).
20/
Finally, the September internal memo was likely one of the dozens of transition memos drafted regarding the status of open investigations. While I did not draft one, I provided my supervisor with information to include in civil transition memos.
21/
azag.us5.list-manage.com/track/click?u=…
Notably, following that internal memo, @GeneralBrnovich went on Jon Stewart and 60 Minutes. @CBSNews reported it as "debunking" 2020 claims.
22/
cbsnews.com/video/arizona-…
The reality is, issues related to 2020 are nuanced. Some concerns may not rise to criminality, but instead reveal gaps in laws that the @AZHouseGOP and @AZSenateGOP should address through legislation (like signature verification standards & chain of custody).
23/
Once again, the EIU was bifurcated, with parallel but not cooperative investigations in both the civil & criminal divisions.

@krismayes cultivated & released cherry-picked, privileged materials to create a narrative to attack @GeneralBrnovich and his administration.
24/
As an attorney, @KrisMayes is an officer of the court, and is bound by the Professional Rules of Conduct. She should KNOW she cannot waive her predecessor's privilege.

Further, she disingenuously released a tiny subset of materials to push a political narrative.
25/
.@krismayes unprecedented & dubious release of a subset of cherry-picked privileged materials sets a dangerous precedent that threatens all public officials’ attorney-client relationships.
26/
A public official should not abuse his or her office to unilaterally waive a predecessor’s privilege to wage a political attack or attempt to damage the professional reputation of a government lawyer.
27/
Public lawyers should have confidence that their legal advice and privileged materials provided to an elected official will not be used to fuel political attacks of future adversarial administrations.
28/
Unfortunately, the damage has already been done, as @krismayes actions have spurred bar complaints against @GeneralBrnovich.

This is not the first time the State Bar complaint system has been weaponized.👇
29/
usnews.com/news/best-stat…
That's why I I encouraged the Task Force to inquire as to what Rule of Professional Conduct @krismayes relied upon to justify waiving @GeneralBrnovich's attorney-client privilege and publicly releasing privileged materials.
30/
Further, I indicated it might be prudent for the State Bar to await the recommendations & findings by the Task Force's inquiry as to @GeneralBrnovich before prematurely evaluating the merits of any complaints that stem from @KrisMayes likely unethical conduct.
31/
A public official should not abuse his or her office to unilaterally waive a predecessor’s privilege to wage a political attack or attempt to damage the professional reputation of a government lawyer.
32/
Unfortunately, @KrisMayes came in abusing her position by fabricating a narrative that I was "fired" when I had resigned and long cleaned out my office before she arrived.
#AbuseOfPower
(one who lies about little, will lie about much)
33/
That's why I'm excited to help @AbrahamHamadeh litigate his election contest to prove he received the most votes in the Attorney General's race. We are confident @AbrahamHamadeh will receive a new trial, and we will #CountValidVotes proving he won.
fin

• • •

Missing some Tweet in this thread? You can try to force a refresh
 

Keep Current with Jen Wright

Jen Wright Profile picture

Stay in touch and get notified when new unrolls are available from this author!

Read all threads

This Thread may be Removed Anytime!

PDF

Twitter may remove this content at anytime! Save it as PDF for later use!

Try unrolling a thread yourself!

how to unroll video
  1. Follow @ThreadReaderApp to mention us!

  2. From a Twitter thread mention us with a keyword "unroll"
@threadreaderapp unroll

Practice here first or read more on our help page!

More from @JenWEsq

Feb 27
My statement about recent claims 👇
I think this article seems fairly accurate. I encourage people to be discerning. arizonadailyindependent.com/2023/02/26/tes…
If Mr. Thaler has the evidence he claims to have, he should immediately present it to several law enforcement agencies.
Read 10 tweets
Feb 26
Although my matter number was 20-2295, I’ve confirmed that the matter number referenced by @katiehobbs is the same matter, but the number assigned to @GeneralBrnovich. His specific terms may be different, but I’ve been told his matter is also fully dismissed.
@katiehobbs @GeneralBrnovich Here's the full story on the purportedly "withheld" evidence. 👇
Read 4 tweets
Feb 22
Stephen seems to forget that there were two investigations: a criminal and civil. But let’s break this down a bit.
The EIU was bifurcated; the civil & criminal divisions conducted separate investigations. When I left in Dec ‘22, I had not been sent a response to my May ‘22 letter. (Not very cooperative) 🤷🏻‍♀️👇🏼
And here’s the 2nd half of my 5 page letter of PRR deficiencies that, as of my departure, remain unanswered (note many items had been requested several months before this) 👇🏼
Read 6 tweets
Feb 20
Man the gaslighting is insane.

Yes, porno is in our schools.

This bookmark was distributed by a @GlendaleUnionAZ Vice Principal to ALL students a few months ago.

I understand all of the books are available at the school & the back of the bookmark had QR access codes. Image
Read 4 tweets
Feb 16
.@AZSenateGOP @kaiser4az & @AZSenatorShamp sponsored SB1165 requiring legislative vacancies to be filled by a vote of Precinct Committeemen instead of letting the the county board of supervisors appoint replacements.

Who do you think should fill legislative vacancies?
Read the bill 👇🏼 ImageImageImageImage
Why won’t @WendyRogersAZ hear SB1165?

Does she think the BOS is better equipped than PCs to fill vacancies?
Read 4 tweets
Feb 12
What is going on in East Palistine, Ohio?

Why are journalists covering the story being arrested?

Praying for the communities affected by the apparently toxic gases (dead chickens) and toxic runoff (dead fish).

#ohiotrainderailment
#norfolksoutherndisaster
Read 14 tweets

Did Thread Reader help you today?

Support us! We are indie developers!


This site is made by just two indie developers on a laptop doing marketing, support and development! Read more about the story.

Become a Premium Member ($3/month or $30/year) and get exclusive features!

Become Premium

Don't want to be a Premium member but still want to support us?

Make a small donation by buying us coffee ($5) or help with server cost ($10)

Donate via Paypal

Or Donate anonymously using crypto!

Ethereum

0xfe58350B80634f60Fa6Dc149a72b4DFbc17D341E copy

Bitcoin

3ATGMxNzCUFzxpMCHL5sWSt4DVtS8UqXpi copy

Thank you for your support!

Follow Us on Twitter!

:(