Pedro H. C. Sant'Anna Profile picture
Associate Professor @EmoryEconomics | Econometrics | Causal Inference | Difference-in-Differences. Dad 5x
Jul 14, 2025 5 tweets 2 min read
We have some updates on our DDD paper.

In our latest version, we have introduced three new applications and an open-source R package to facilitate the usage of all our DDD tools!

🚀R package: marcelortiz.com/triplediff/

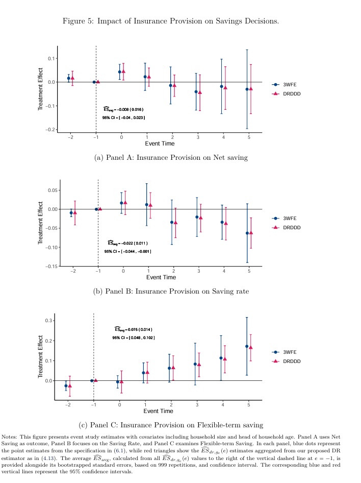
🔎Updated paper: arxiv.org/abs/2505.09942 Aligned wiht our results, our applications (and simulations) highlight that we can provide much more informative inference procedures (🥰 smaller confidence intervals 🥰 ---Figure 5) Image
Mar 18, 2025 4 tweets 2 min read
This paper has been in the making for so long that eight children across the co-author group were born between the time we started and now!

But it is finally out, and you can check it at arxiv.org/pdf/2503.13323Image We---Andrew Baker, Brant Callaway, @causalinf , @agoodmanbacon , and I--- are really happy with how it turned out.

We really hope this will help empirical researchers tackle many Difference-in-Differences problems using a constructive approach rooted in first principles.
Jan 4, 2024 17 tweets 6 min read
Are you using DiD to learn about something *continuous*? If so, then new DiD tools for binary designs don’t seem to help much.

But here is something that will help!

An update to “DiD with a Continuous Treatment” w/ @agoodmanbacon and Brant Callaway:

psantanna.com/files/CGBS.pdfImage 4 big lessons:

1. There are level effects (a given dose vs 0) *and* slope effects (a given dose vs a slightly smaller one)

2. Identifying slopes requires a practically stronger PT assumption

3. TWFE linear regs don’t summarize well TEs

4. Nonparametric methods do much better
Aug 8, 2022 18 tweets 5 min read
Do you use Difference-in-Differences methods? Have you ever wondered how selection into treatment relates to parallel trends? The role of unobservables?

@DaliaAGhanem, @wuthrich_k, and I are very excited to share our paper: arxiv.org/abs/2203.09001

1/n What do we do in the paper?

1 - Derive necessary and sufficient conditions for parallel trends (PT) that clarify the role of selection on unobservables in DiD

2 - Provide a menu of interpretable sufficient conditions for PT

3 - Illustrate the content of these conditions

2/n
Jun 1, 2022 5 tweets 2 min read
📈I am so excited to share with you my brand-new Difference-in-Differences course!

This time, we are doing everything on our own! No third parties! Kind of cool, right?!!!

Check our website: causal-solutions.com

1/n www.causal-solutions.com We will cover a great deal of material, from the very basic to the more advanced topics.

Not only will we cover tools but also how to use them in practice! This time, both in R and Stata!

2/n Image
Jul 16, 2021 26 tweets 8 min read
🦶🦶🚨New DiD Paper🚨🦶🦶

What if treatment is continuous not binary? What parameters can you estimate under what assumptions? What about two-way fixed effects regressions? What about staggered timing?

Brant Callaway, @agoodmanbacon and I dive in here:
arxiv.org/pdf/2107.02637… Difference-in-Differences with a Continuous Treatment, by Br We’ve noticed that, um, a few people have been asking about this:

2/n
Jul 7, 2021 13 tweets 6 min read
🚨Updated Working Paper Alert🚨

"Efficient Estimation for Staggered Rollout Designs", joint with @jondr44 (arxiv.org/abs/2102.01291).

This paper is all about how we can do better than DiD in setups with quasi-random treatment timing!

1/n Long-story-short: In setups where treatment timing is as-good-as-random, DiD procedures can leave "too much money on the table". We can get much more precise estimates!

For instance, in our empirical application, we substantially improve on Callaway and Sant'Anna!

2/n
Dec 18, 2020 19 tweets 6 min read
🚨Hello #EconTwitter! I am very happy that my paper with Brantly Callaway, "Difference-in-Differences with multiple time periods", is now forthcoming at the Journal of Econometrics. sciencedirect.com/science/articl…

What are the main take aways? I will ask my daughter to help me out.

1/n Our main goal here is to explain how one can transparently use DiD procedures in setups with (a) multiple time periods, (b) variation in treatment timing (staggered adoption), and (c) when a parallel trends is plausible potentially only after conditioning on covariates.

2/n
Jul 9, 2020 13 tweets 4 min read
Time for another #Econometrics thread!

Today I want to talk about my paper with Jun Zhao (absolutely great PhD candidate from Vanderbilt ), "Doubly robust difference-in-differences estimators", which is now forthcoming at the Journal of Econometrics!

sciencedirect.com/science/articl…
1/n Before I go on, let me make it clear that everything that I say here or that we proposed in the paper can be easily implemented in #R via the package DRDID: pedrohcgs.github.io/DRDID/

I hope you find this easy to use!
2/n
May 29, 2020 22 tweets 6 min read
Here I go, on another #Econometrics related thread.

Today, I want to talk about the "debate" related to health policies, economic growth and the 1918 Spanish flu.

Everything I have to say is here (with codes): pedrohcgs.github.io/posts/Spanish_…

Let's get to it!

1/n
Recently, Correia, Luck and Verner (2020) (CLV) put forward a very interesting paper that, among other things, analyze whether non-pharmaceutical interventions helped mitigate the adverse economic effects of the 1918 Spanish Flu pandemic on economic growth.

2/n
May 21, 2020 10 tweets 5 min read
Today I want to give a shout-out to @TymonSloczynski paper, "Interpreting OLS Estimands When Treatment Effects Are Heterogeneous: Smaller Groups Get Larger Weights", that is currently available here:

people.brandeis.edu/~tslocz/Sloczy…

Paper is conditionally accepted at ReStat! This is a very interesting paper that highlights some potential pitfalls of not separating the identification and estimation/inference steps when doing causal inference.

In other words, OLS may be messing up your regression interpretations.

So good to see that I am not alone!
Feb 12, 2020 9 tweets 2 min read
Well, although I skipped last week, here I am with another interesting econometrics paper that I really enjoyed reading --- Chen and Santos (2018, ECMA), "Overidentification in Regular Models",

Link: onlinelibrary.wiley.com/doi/full/10.39…

1/n
The main idea of the paper is simple and very powerful.

In (unconditional) GMM models, we know that some estimators are more efficient than others when you've # moment restrictions > parameters of interest. In this case, we can also test the validity of the moments (J-test)

2/n
Jan 21, 2020 6 tweets 2 min read
Since it is Monday, it's time for the 'metrics paper of the week! #MetricsMonday

Today I want to highlight "Bounds on Distributional Treatment Effect Parameters using Panel Data with an Application on Job Displacement", by Brantly Callaway.

Link here: bcallaway11.github.io/files/DTE/dte1… Brant's paper provide a set of tools that allow us to better understand heterogeneous effects in a diff-in-diff setups.

Brant is particular interested in the distribution *of* the treatment effects for the treated units, and the quantile *of* treatment effect for the treated.
Jan 13, 2020 4 tweets 2 min read
For the next month or so, I plan to mention an Econometrics paper that I really enjoy reading. I will try to do this every Monday.

The first paper of this series is by @asheshrambachan and @jondr44, "An Honest Approach to Parallel Trends"

Link here: scholar.harvard.edu/files/jroth/fi… Their paper provides a guided way to think about what to do when you are worried about violations of a parallel trend assumption. The main idea is using information on pre-trends to bound potential violations of post-treatment parallel trends.
May 17, 2019 9 tweets 2 min read
Here is something I do not quite follow: Why do people almost always refer to two-way fixed effects (TWFE) models as synonymous to Difference-in-Differences (DID)??

TWFE is an *estimation method*, while DID is a *research design*. These are very different things! IMO, what defines a DID analysis is the parallel trends assumption (PTA). There are different parallel trends assumption out there, sure, but this is the crucial part of a DID analysis. In general, the PTA shows how we can nonparametrically identify the causal effect of interest.