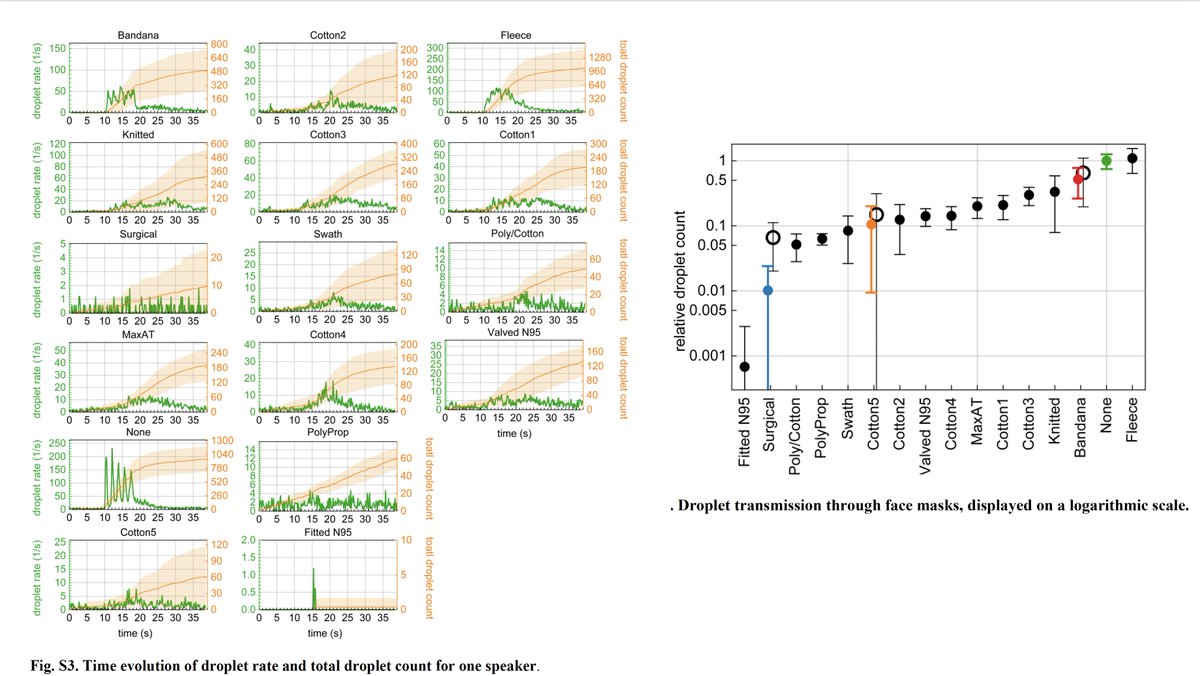
1. Evaluation of 14 different masks for filtering droplets during speech @ScienceAdvances advances.sciencemag.org/content/early/…
washingtonpost.com/lifestyle/well… neck gaiter worse than nothing!
@_allysonchiu



jamanetwork.com/journals/jamai…



jamanetwork.com/journals/jamai… by @CaitlinDugdale @RWalensky
eurekalert.org/pub_releases/2… paper not posted yet, but link provided and past due
(it's just one way and there are many different methods and tests/papers out there now). I don't know if masks have *ever* been so intensively studied.















