My Authors
Read all threads
Pooled spits!💦All sorts of models have been suggesting what labs should be doing to increase sample throughput. But knowing that things aren’t always as easy as they seem on paper, we thought it best to try this out for ourselves (with saliva, of course!) medrxiv.org/content/10.110…
We pooled together one positive saliva sample with negative samples to form total pool sizes of 5, 10 or 20. We extracted RNA & tested for SARS-CoV-2 in RT-qPCR to check out how Ct values changed. While pooling saliva decreased virus detection, we still detected most infections.
Based on the samples tested, we conservatively estimated that pool sizes of 5, 10, and 20 would lead to detection sensitivities of 93%, 89%, and 85% as compared to that of unpooled samples (though we do wonder how this would be viewed by the #FDA😉).
Using our lab data @EliFenichel modeled the best pooling strategy, depending on the expected prevalence of virus in the population being tested. We were excited about the resource-savings benefits of pool sizes ≥10, but above 3% prevalence, pooling by 5 actually proved better.
To put this in real world terms: at 0.5% prevalence, 10,000 people can be tested with just 1,318 tests-including the retesting of all samples from test-positive pools. If tests cost $30 each, this saves $260,453 vs. individual testing while still identifying 43-50 infections🤑
Also, pooled testing strategies do not have to be fixed! As the virus prevalence fluctuates, adaptive test strategies should be considered to maximize the costs-savings benefits. In turn, this will allow for continued surveillance against virus resurgence as communities reopen.
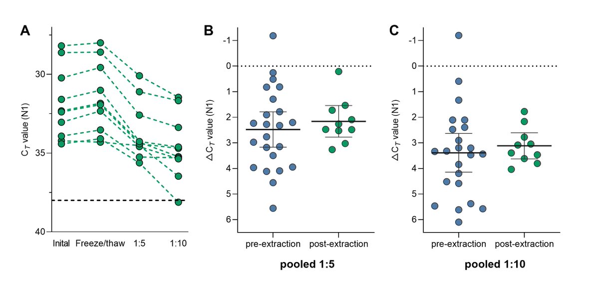
We did also explore (A) pooling of RNA extracted from saliva: results overall (B+C) were similar to when pooling samples before RNA extraction. While pooling pre-extraction did lead to more variable results, we still like this upfront approach due to its resource-savings benefits
Saliva & SARS-CoV-2💦:
- sensitive detection vs NP swabs✅
- stable detection after prolonged periods at elevated temperatures without fancy preservatives✅
- doesn’t need an expensive RNA extraction step✅
- can also be pooled✅
- incredible team effort still going strong✅✅✅
Missing some Tweet in this thread? You can try to force a refresh.

Keep Current with Anne Wyllie

Profile picture

Stay in touch and get notified when new unrolls are available from this author!

Read all threads

This Thread may be Removed Anytime!

Twitter may remove this content at anytime, convert it as a PDF, save and print for later use!

Try unrolling a thread yourself!

how to unroll video

1) Follow Thread Reader App on Twitter so you can easily mention us!

2) Go to a Twitter thread (series of Tweets by the same owner) and mention us with a keyword "unroll" @threadreaderapp unroll

You can practice here first or read more on our help page!

Follow Us on Twitter!

Did Thread Reader help you today?

Support us! We are indie developers!


This site is made by just two indie developers on a laptop doing marketing, support and development! Read more about the story.

Become a Premium Member ($3.00/month or $30.00/year) and get exclusive features!

Become Premium

Too expensive? Make a small donation by buying us coffee ($5) or help with server cost ($10)

Donate via Paypal Become our Patreon

Thank you for your support!